Статья 288 НК РФ. Особенности исчисления и уплаты налога налогоплательщиком, имеющим обособленные подразделения

Добавить в избранное В избранное
Поделиться

Статья 288. Особенности исчисления и уплаты налога налогоплательщиком, имеющим обособленные подразделения

1. Налогоплательщики - российские организации, имеющие обособленные подразделения, исчисление и уплату в федеральный бюджет сумм авансовых платежей, а также сумм налога, исчисленного по итогам налогового периода, производят по месту своего нахождения без распределения указанных сумм по обособленным подразделениям.

2. Уплата авансовых платежей, а также сумм налога, подлежащих зачислению в доходную часть бюджетов субъектов Российской Федерации, производится налогоплательщиками - российскими организациями по месту нахождения организации, а также по месту нахождения каждого из ее обособленных подразделений исходя из доли прибыли, приходящейся на эти обособленные подразделения, определяемой как средняя арифметическая величина удельного веса среднесписочной численности работников (расходов на оплату труда) и удельного веса остаточной стоимости амортизируемого имущества этого обособленного подразделения соответственно в среднесписочной численности работников (расходах на оплату труда) и остаточной стоимости амортизируемого имущества, определенной в соответствии с пунктом 1 статьи 257 настоящего Кодекса, в целом по налогоплательщику. Если налогоплательщик ведет раздельный учет доходов и расходов для определения налоговой базы, к которой применяются отличные от установленных абзацами первым - третьим пункта 1 статьи 284 настоящего Кодекса налоговые ставки, или налоговой базы от осуществления деятельности, связанной с реализацией инвестиционного проекта, являющегося предметом каждого соглашения о защите и поощрении капиталовложений, то определение указанной доли прибыли осуществляется применительно к каждой такой налоговой базе.

Если налогоплательщик имеет несколько обособленных подразделений на территории одного субъекта Российской Федерации, то распределение прибыли по каждому из этих подразделений может не производиться. Сумма налога, подлежащая уплате в бюджет этого субъекта Российской Федерации, в таком случае определяется исходя из доли прибыли, исчисленной из совокупности показателей обособленных подразделений, находящихся на территории субъекта Российской Федерации. При этом налогоплательщик самостоятельно выбирает то обособленное подразделение, через которое осуществляется уплата налога в бюджет этого субъекта Российской Федерации, уведомив о принятом решении до 31 декабря года, предшествующего налоговому периоду, налоговые органы, в которых налогоплательщик состоит на налоговом учете по месту нахождения своих обособленных подразделений. Уведомления представляются в налоговый орган в случае, если налогоплательщик изменил порядок уплаты налога, изменилось количество структурных подразделений на территории субъекта Российской Федерации или произошли другие изменения, влияющие на порядок уплаты налога.

Указанные в настоящем пункте удельный вес среднесписочной численности работников и удельный вес остаточной стоимости амортизируемого имущества определяются исходя из фактических показателей среднесписочной численности работников (расходов на оплату труда) и остаточной стоимости основных средств указанных организаций и их обособленных подразделений за отчетный (налоговый) период.

При этом налогоплательщики самостоятельно определяют, какой из показателей должен применяться - среднесписочная численность работников или сумма расходов на оплату труда. Выбранный налогоплательщиком показатель должен быть неизменным в течение налогового периода.

Абзац исключен. - Федеральный закон от 29.05.2002 N 57-ФЗ.

Вместо показателя среднесписочной численности работников налогоплательщик с сезонным циклом работы либо иными особенностями деятельности, предусматривающими сезонность привлечения работников, по согласованию с налоговым органом по месту своего нахождения может применять показатель удельного веса расходов на оплату труда, определяемых в соответствии со статьей 255 настоящего Кодекса. При этом определяется удельный вес расходов на оплату труда каждого обособленного подразделения, в общих расходах налогоплательщика, на оплату труда.

Суммы авансовых платежей, а также суммы налога, подлежащие зачислению в доходную часть бюджетов субъектов Российской Федерации, исчисляются по ставкам налога, действующим на территориях, где расположены организация и ее обособленные подразделения.

В случае создания новых или ликвидации обособленных подразделений в течение текущего налогового периода налогоплательщик в течение 10 дней после окончания отчетного периода обязан уведомить налоговые органы на территории того субъекта Российской Федерации, в котором созданы новые или ликвидированы обособленные подразделения, о выборе того обособленного подразделения, через которое будет осуществляться уплата налога в бюджет этого субъекта Российской Федерации.

Уплата налога осуществляется в сроки, установленные настоящим Кодексом, начиная с отчетного (налогового) периода, следующего за отчетным (налоговым) периодом, в котором такое обособленное подразделение было создано или ликвидировано.

Для целей настоящей статьи организации, перешедшие на начисление амортизации нелинейным методом в составе амортизационных групп, вправе определять остаточную стоимость амортизируемого имущества по данным бухгалтерского учета.

3. Исчисление сумм авансовых платежей по налогу, а также сумм налога, подлежащих внесению в бюджеты субъектов Российской Федерации по месту нахождения обособленных подразделений, осуществляется налогоплательщиком самостоятельно.

Абзац исключен. - Федеральный закон от 29.05.2002 N 57-ФЗ.

Сведения о суммах авансовых платежей по налогу, а также суммах налога, исчисленных по итогам налогового периода, налогоплательщик сообщает своим обособленным подразделениям, а также налоговым органам по месту нахождения обособленных подразделений не позднее срока, установленного настоящей статьей для подачи налоговых деклараций за соответствующий отчетный или налоговый период.

4. Налогоплательщик уплачивает суммы авансовых платежей и суммы налога, исчисленного по итогам налогового периода, в бюджеты субъектов Российской Федерации по месту нахождения обособленных подразделений не позднее сроков, установленных пунктом 1 статьи 287 настоящего Кодекса для их уплаты.

5. Если налогоплательщик имеет обособленное подразделение за пределами Российской Федерации, налог подлежит уплате в бюджет с учетом особенностей, установленных статьей 311 настоящего Кодекса.

6. Положения настоящей статьи применяются при уплате налога (авансовых платежей) ответственным участником консолидированной группы налогоплательщиков по этой группе с учетом особенностей, установленных настоящим пунктом, а при уплате налога (авансовых платежей) ответственным участником консолидированной группы налогоплательщиков, в состав которой входят организации, являющиеся собственниками объектов Единой системы газоснабжения, - также с учетом особенностей, установленных пунктом 7 настоящей статьи.

Доля прибыли каждого участника консолидированной группы налогоплательщиков и каждого из их обособленных подразделений в совокупной прибыли этой группы определяется ответственным участником консолидированной группы налогоплательщиков как средняя арифметическая величина удельного веса среднесписочной численности работников (расходов на оплату труда) и удельного веса остаточной стоимости амортизируемого имущества этого участника или обособленного подразделения соответственно в среднесписочной численности работников (расходах на оплату труда) и остаточной стоимости амортизируемого имущества, определенной в соответствии с пунктом 1 статьи 257 настоящего Кодекса, в целом по консолидированной группе налогоплательщиков.

Ответственный участник консолидированной группы налогоплательщиков определяет величину прибыли, приходящейся на каждого из участников консолидированной группы налогоплательщиков и на каждое из их обособленных подразделений, путем умножения определенной в соответствии с абзацем вторым настоящего пункта доли прибыли каждого из участников или каждого обособленного подразделения участника консолидированной группы налогоплательщиков на совокупную прибыль этой группы.

Ответственный участник консолидированной группы налогоплательщиков исчисление и уплату в федеральный бюджет сумм авансовых платежей, а также сумм налога, исчисленного по итогам налогового периода, производит по месту своего нахождения без распределения указанных сумм по участникам этой группы и их обособленным подразделениям.

Суммы налога (авансовых платежей), подлежащие зачислению в бюджеты субъектов Российской Федерации, приходящиеся на каждого из участников консолидированной группы налогоплательщиков и на каждое из их обособленных подразделений, исчисляются по налоговым ставкам, действующим на территориях, где расположены соответствующие участники консолидированной группы налогоплательщиков и (или) их обособленные подразделения.

7. Ответственный участник консолидированной группы налогоплательщиков, в состав которой входят организации, являющиеся собственниками объектов Единой системы газоснабжения, при уплате налога (авансовых платежей) по этой группе определяет:

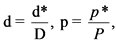
1) показатели d и p для каждого субъекта Российской Федерации, рассчитываемые по следующим формулам:

, ,

где d* - определенная в соответствии с пунктом 6 настоящей статьи величина прибыли, приходящейся на каждого из участников консолидированной группы налогоплательщиков и на каждое из их обособленных подразделений;

D - величина совокупной прибыли консолидированной группы налогоплательщиков;

p* - сумма налога, исчисленная по каждой из организаций, вступивших в консолидированную группу налогоплательщиков, и по каждому из их обособленных подразделений за 2011 год, подлежащая зачислению в бюджет соответствующего субъекта Российской Федерации и заявленная в налоговой декларации, представленной в налоговые органы в срок не позднее 28 марта 2012 года (без учета изменений, внесенных в налоговую декларацию после указанной даты);

Р - совокупная сумма налога всех участников консолидированной группы налогоплательщиков, исчисленная за 2011 год по ставкам, установленным в соответствии с абзацами третьим и четвертым пункта 1 статьи 284 настоящего Кодекса, и определяемая на основании сведений, указанных в налоговых декларациях, представленных организациями, вступившими в консолидированную группу налогоплательщиков, в налоговые органы в срок не позднее 28 марта 2012 года (без учета изменений, внесенных в налоговые декларации после указанной даты);

2) долю прибыли каждого из участников консолидированной группы налогоплательщиков и каждого из их обособленных подразделений в совокупной прибыли этой группы как показатель g, рассчитываемый по следующим формулам:

в 2012 году: g = 0,2 x d + 0,8 x p;

в 2013 году: g = 0,4 x d + 0,6 x p;

в 2014 году: g = 0,6 x d + 0,4 x p;

в 2015 году: g = 0,8 x d + 0,2 x p;

3) величину прибыли, приходящейся на каждого из участников консолидированной группы налогоплательщиков и на каждое из их обособленных подразделений, путем умножения рассчитанного в соответствии с подпунктом 2 настоящего пункта показателя g на совокупную прибыль группы;

4) сумму налога (авансовых платежей), приходящуюся на каждого из участников консолидированной группы налогоплательщиков и на каждое из их обособленных подразделений, по которым налог (авансовые платежи) уплачивается в бюджет соответствующего субъекта Российской Федерации, исчисляемую исходя из величины прибыли, рассчитанной в соответствии с подпунктом 3 настоящего пункта, и ставки налога, действующей на территории, где расположены участник консолидированной группы налогоплательщиков или его обособленное подразделение.

8. Положения настоящей статьи не применяются в отношении доходов и расходов налогоплательщика, имеющего статус международной холдинговой компании, от деятельности его обособленных подразделений, расположенных за пределами территории Российской Федерации, в случае, если такие доходы и расходы не учитываются при определении налоговой базы в соответствии с пунктом 4 статьи 251 и пунктом 48.28 статьи 270 настоящего Кодекса, и не применяются в отношении этих обособленных подразделений.

Статья 287
Статья 288.1