Статья 342.4 НК РФ. Порядок расчета базового значения единицы условного топлива (Еут), коэффициента, характеризующего степень сложности добычи газа горючего природного и (или) газового конденсата из залежи углеводородного сырья (Кс), показателя, характеризующего расходы на транспортировку газа горючего природного (ТГ), и показателя КГК
Статья 342.4. Порядок расчета базового значения единицы условного топлива (Еут), коэффициента, характеризующего степень сложности добычи газа горючего природного и (или) газового конденсата из залежи углеводородного сырья (Кс), показателя, характеризующего расходы на транспортировку газа горючего природного (ТГ), и показателя КГК
1. Базовое значение единицы условного топлива (Еут) рассчитывается налогоплательщиком самостоятельно при добыче газа горючего природного (за исключением попутного газа) и (или) газового конденсата для участка недр, содержащего залежь углеводородного сырья, по следующей формуле:
,
где Цг - цена газа горючего природного, определяемая в целях настоящей статьи в соответствии с пунктом 4 настоящей статьи;
Дг - коэффициент, характеризующий долю добытого газа горючего природного (за исключением попутного газа) в общем количестве газа горючего природного (за исключением попутного газа) и газового конденсата, добытых в истекшем налоговом периоде на участке недр, содержащем залежь углеводородного сырья, определяемый в соответствии с пунктом 3 настоящей статьи;
Цк - цена газового конденсата, определяемая в целях настоящей статьи в соответствии с пунктом 2 настоящей статьи;
Кгп - коэффициент, характеризующий экспортную доходность единицы условного топлива, определяемый в соответствии с пунктом 18 настоящей статьи.
Рассчитанное в порядке, определенном настоящим пунктом, базовое значение единицы условного топлива (ЕУТ) округляется до четвертого знака в соответствии с действующим порядком округления.
2. Цена газового конденсата (Цк) рассчитывается в целях настоящей статьи по следующей формуле:
Цк = (Ц x 8 - Пн) x Р,
где Ц - средняя за истекший налоговый период цена нефти сорта "Юралс" за баррель, выраженная в долларах США, определяемая в порядке, установленном пунктом 3 статьи 342 настоящего Кодекса;
Пн - условная ставка вывозной таможенной пошлины на газовый конденсат, определяемая в порядке, установленном пунктом 16 настоящей статьи;
Р - среднее за истекший налоговый период значение курса доллара США к рублю Российской Федерации, определяемое в порядке, установленном пунктом 3 статьи 342 настоящего Кодекса.
Рассчитанная в порядке, определенном настоящим пунктом, средняя за истекший налоговый период цена газового конденсата (Цк) округляется до 4-го знака в соответствии с действующим порядком округления.
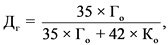
3. Коэффициент, характеризующий долю добытого газа горючего природного (за исключением попутного газа) в общем количестве газа горючего природного (за исключением попутного газа) и газового конденсата, добытых в истекшем налоговом периоде на участке недр, содержащем залежь углеводородного сырья (Дг), рассчитывается по следующей формуле:
![]()
где Го - количество добытого за истекший налоговый период на участке недр газа горючего природного (за исключением попутного газа), выраженное в тысячах кубических метров;
Ко - количество добытого за истекший налоговый период на участке недр газового конденсата, выраженное в тоннах.
Рассчитанный в порядке, определенном настоящим пунктом, коэффициент Дг округляется до 4-го знака в соответствии с действующим порядком округления.
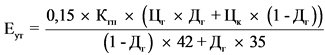
4. Цена газа горючего природного (Цг) рассчитывается в целях настоящей статьи по следующей формуле:
Цг = Цв x Ов + Цэ x (1 - Ов),
где ЦВ - до 31 декабря 2023 года включительно - средняя по Единой системе газоснабжения расчетная цена на газ, поставляемый потребителям Российской Федерации (кроме населения), рассчитываемая федеральным органом исполнительной власти в области регулирования тарифов в порядке, установленном Правительством Российской Федерации. Указанная расчетная цена подлежит применению с 1-го числа первого месяца периода, на который регулируемые оптовые цены на газ утверждаются в установленном порядке. Средняя по Единой системе газоснабжения расчетная цена на газ, поставляемый потребителям Российской Федерации (кроме населения), не позднее чем за пять дней до 1-го числа первого месяца указанного периода размещается на официальном сайте федерального органа исполнительной власти в области регулирования тарифов в информационно-телекоммуникационной сети "Интернет". При отсутствии указанной информации на официальном сайте указанного органа в информационно-телекоммуникационной сети "Интернет" средняя по Единой системе газоснабжения расчетная цена на газ, поставляемый потребителям Российской Федерации (кроме населения), определяется налогоплательщиком самостоятельно в порядке, установленном Правительством Российской Федерации. Значение показателя ЦВ рассчитывается при каждом изменении регулируемых оптовых цен на газ в Российской Федерации, полученное значение применяется для целей налогообложения до следующего изменения регулируемых оптовых цен на газ в Российской Федерации. С 1 января 2024 года - средняя по Единой системе газоснабжения расчетная цена на газ, определенная в соответствии с настоящим абзацем для налогового периода, дата начала которого приходится на период с 1 по 30 ноября 2023 года включительно. Указанная расчетная цена подлежит индексации начиная с 1 июля 2024 года на коэффициент индексации, определяемый федеральным органом исполнительной власти в области регулирования тарифов и размещаемый на его официальном сайте в информационно-телекоммуникационной сети "Интернет" в порядке, установленном Правительством Российской Федерации;
Ов - коэффициент, характеризующий долю реализации газа потребителям Российской Федерации в общем объеме реализованного организацией газа, определяемый в порядке, установленном пунктом 5 настоящей статьи;
Цэ - расчетная цена газа горючего природного при поставках за пределы территорий государств - участников Содружества Независимых Государств, рассчитываемая по следующей формуле:
![]()
где Цдз - расчетная цена реализации газа за пределы территорий государств - участников Содружества Независимых Государств. Указанная расчетная цена ежемесячно рассчитывается федеральным органом исполнительной власти в области регулирования тарифов в порядке, установленном Правительством Российской Федерации, размещается на официальном сайте указанного органа в информационно-телекоммуникационной сети "Интернет" не позднее 15-го числа налогового периода и подлежит применению в налоговом периоде ее размещения. При отсутствии указанной информации на официальном сайте указанного органа в информационно-телекоммуникационной сети "Интернет" расчетная цена реализации газа за пределы территорий государств - участников Содружества Независимых Государств определяется налогоплательщиком самостоятельно в порядке, установленном Правительством Российской Федерации;
Стп - ставка вывозной таможенной пошлины на газ горючий природный, выраженная в процентах, которая была установлена для истекшего налогового периода;
Рдз - расходы на транспортировку и хранение газа за пределами территорий государств - членов Таможенного союза при его реализации за пределы территорий государств - участников Содружества Независимых Государств, выраженные в рублях за 1 000 кубических метров газа. Величина Рдз рассчитывается федеральным органом исполнительной власти в области регулирования тарифов в порядке, установленном Правительством Российской Федерации, размещается на официальном сайте указанного органа в информационно-телекоммуникационной сети "Интернет" не позднее 1 марта календарного года и подлежит применению в течение двенадцати следующих подряд налоговых периодов начиная с 1 марта указанного календарного года. При отсутствии указанной информации на официальном сайте указанного органа в информационно-телекоммуникационной сети "Интернет" величина Рдз определяется налогоплательщиком самостоятельно в порядке, установленном Правительством Российской Федерации.
Рассчитанная в порядке, определенном настоящим пунктом, цена газа горючего природного (Цг) округляется до 4-го знака в соответствии с действующим порядком округления.
Рассчитанная в порядке, определенном настоящим пунктом, расчетная цена газа горючего природного при поставках за пределы территорий государств - участников Содружества Независимых Государств (ЦЭ) округляется до четвертого знака в соответствии с действующим порядком округления.
5. Коэффициент, характеризующий долю реализации газа потребителям Российской Федерации в общем объеме реализованного организацией газа (Ов), устанавливается равным:
1) 0,64 - для налогоплательщиков, являющихся в течение всего налогового периода организациями - собственниками объектов Единой системы газоснабжения и (или) организациями, в которых непосредственно и (или) косвенно участвуют собственники объектов Единой системы газоснабжения и суммарная доля такого участия составляет более 50 процентов, за исключением следующих налогоплательщиков:
налогоплательщиков - организаций, в которых одним из участников с долей не менее 50 процентов является российская организация, в которой непосредственно и (или) косвенно участвуют собственники объектов Единой системы газоснабжения и суммарная доля такого участия составляет менее 15 процентов;
налогоплательщиков, для которых рассчитываемый по итогам налогового периода коэффициент, характеризующий долю добытого газа горючего природного (за исключением попутного газа) в суммарном объеме добытого углеводородного сырья (Кгпн), составляет менее 0,35. Значение коэффициента Кгпн определяется в соответствии с пунктом 6 настоящей статьи;
2) 1 - для налогоплательщиков, не указанных в подпункте 1 настоящего пункта.
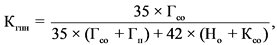
6. Значение коэффициента Кгпн, указанного в пункте 5 настоящей статьи, определяется налогоплательщиком самостоятельно по следующей формуле:
![]()
где Гсо - количество добытого газа горючего природного (за исключением попутного газа), выраженное в тысячах кубических метров;
Гп - количество добытого попутного газа, выраженное в тысячах кубических метров;
Но - количество добытой нефти обезвоженной, обессоленной и стабилизированной, выраженное в тоннах;
Ксо - количество добытого газового конденсата, выраженное в тоннах.
Показатели Гсо, Гп, Но, Ксо определяются за истекший налоговый период применительно к добыче на всех участках недр, находящихся в пользовании налогоплательщика.
7. Коэффициент, характеризующий степень сложности добычи газа горючего природного и (или) газового конденсата из залежи углеводородного сырья (Кс), принимается равным минимальному значению из значений коэффициентов Квг, Кр, Кгз, Кас, Корз, рассчитываемых для указанной залежи углеводородного сырья в порядке, установленном пунктами 8 - 12 настоящей статьи.
Рассчитанный в порядке, определенном настоящим пунктом, коэффициент Кс округляется до 4-го знака в соответствии с действующим порядком округления.
8. Коэффициент, характеризующий степень выработанности запасов газа конкретного участка недр, содержащего залежь углеводородного сырья (Квг), определяется налогоплательщиком в порядке, установленном настоящим пунктом.
В случае, если степень выработанности запасов газа горючего природного конкретного участка недр (Свг) больше 0,7 и меньше или равна 0,9, коэффициент Квг рассчитывается по следующей формуле:
Квг = 2,75 - 2,5 x Свг.
В случае, если степень выработанности запасов газа горючего природного конкретного участка недр (Свг) больше 0,9, коэффициент Квг принимается равным 0,5.
В случае, если степень выработанности запасов газа горючего природного конкретного участка недр (Свг) меньше или равна 0,7, коэффициент Квг принимается равным 1.
9. Коэффициент, характеризующий географическое расположение участка недр, содержащего залежь углеводородного сырья (Кр), определяется налогоплательщиком в следующем порядке:
1) в случае, если участок недр, содержащий залежь углеводородного сырья, расположен полностью или частично на полуострове Ямал и (или) Гыданском полуострове в Ямало-Ненецком автономном округе, на период с 1 января 2014 года и до истечения ста сорока четырех налоговых периодов, начинающихся с 1 января года, в котором степень выработанности запасов газа горючего природного конкретного участка недр (Свг) впервые превысила 1 процент (но не ранее 1 января 2014 года), коэффициент Кр рассчитывается по следующей формуле:
Кр = 0,066 x n + 0,144,
где n - порядковый номер календарного года, определяемый в целях настоящего подпункта как разность между годом налогового периода и годом, в котором степень выработанности запасов газа горючего природного конкретного участка недр (Свг) впервые превысила 1 процент (но не ранее 1 января 2014 года), увеличенная на 1.
В случае, если в налоговом периоде степень выработанности запасов газа горючего природного конкретного участка недр (Свг) составляет менее 1 процента, порядковый номер года (n) принимается равным 1.
По истечении ста сорока четырех налоговых периодов, начинающихся с 1 января года, в котором степень выработанности запасов газа горючего природного конкретного участка недр (Свг) впервые превысила 1 процент (но не ранее 1 января 2014 года), коэффициент Кр принимается равным 1;
2) в случае, если участок недр, содержащий залежь углеводородного сырья, расположен полностью или частично на территории Астраханской области, коэффициент Кр принимается равным 0,73;
3) если иное не установлено подпунктом 4 настоящего пункта, в случае, если участок недр, содержащий залежь углеводородного сырья, расположен полностью или частично на территории Иркутской области, Красноярского края или Дальневосточного федерального округа либо в Охотском море, на период с 1 июля 2014 года по 31 декабря 2033 года коэффициент Кр принимается равным 0,1, начиная с 1 января 2034 года для указанных участков недр коэффициент Кр принимается равным 1;
4) для налогоплательщиков, указанных в подпункте 1 пункта 5 настоящей статьи, в случае, если участок недр, содержащий залежь углеводородного сырья, расположен полностью или частично в границах Иркутской области и (или) Республики Саха (Якутия) и дата начала промышленной добычи газа горючего природного на таком участке недр приходится на период начиная с 1 января 2018 года, коэффициент Кр:
принимается равным 0 начиная с налогового периода, следующего за налоговым периодом, в котором впервые выдана лицензия на пользование участком недр, и до истечения пятнадцати календарных лет, отсчитываемых последовательно с 1 января года, на который приходится дата начала промышленной добычи газа горючего природного на этом участке недр;
начиная с шестнадцатого календарного года, отсчитываемого последовательно с 1 января года, на который приходится дата начала промышленной добычи газа горючего природного на участке недр, рассчитывается по следующей формуле:
Кр = 0,1 x (n - 15),
где n в целях настоящего подпункта определяется как порядковый номер календарного года с шестнадцатого по двадцать четвертый годы, отсчитываемые последовательно с 1 января года, на который приходится дата начала промышленной добычи газа горючего природного на участке недр;
принимается равным 1 начиная с первого налогового периода двадцать пятого календарного года, отсчитываемого последовательно с 1 января года, на который приходится дата начала промышленной добычи газа горючего природного на участке недр.
Для целей настоящего подпункта датой начала промышленной добычи газа горючего природного на участке недр признается дата, на которую составлен государственный баланс запасов полезных ископаемых, согласно которому степень выработанности запасов газа горючего природного участка недр впервые превысила 1 процент;
5) при добыче газа горючего природного на участке недр, содержащем залежь углеводородного сырья, расположенном на территориях, не указанных в подпунктах 1 - 4 настоящего пункта, коэффициент Кр принимается равным 1.
10. Коэффициент, характеризующий глубину залегания залежи углеводородного сырья (Кгз), принимается равным одному из следующих значений:
в случае, если минимальная глубина залегания залежи углеводородного сырья меньше или равна 1 700 метрам, коэффициент Кгз принимается равным 1;
в случае, если минимальная глубина залегания залежи углеводородного сырья больше 1 700 метров и меньше или равна 3 300 метрам, коэффициент Кгз принимается равным 0,64;
в случае, если минимальная глубина залегания залежи углеводородного сырья больше 3 300 метров, коэффициент Кгз принимается равным 0,5 при добыче газового конденсата и равным результату деления числа 0,5 на значение коэффициента Кгп, определяемого в соответствии с пунктом 18 настоящей статьи, при добыче газа горючего природного.
Минимальная глубина залегания залежи углеводородного сырья определяется налогоплательщиком самостоятельно по данным государственного баланса запасов полезных ископаемых по состоянию на 1 января года, предшествующего году налогового периода.
При этом для залежей углеводородного сырья участков недр, расположенных на территориях, перечисленных в абзацах втором - восьмом пункта 9 настоящей статьи, коэффициент, характеризующий глубину залегания залежи углеводородного сырья (Кгз), принимается равным 1.
11. Коэффициент, характеризующий принадлежность участка недр, содержащего залежь углеводородного сырья, к региональной системе газоснабжения (Кас), определяется налогоплательщиком в порядке, установленном настоящим пунктом.
В случае, если участок недр, содержащий залежь углеводородного сырья, является ресурсной базой исключительно для региональной системы газоснабжения, коэффициент Кас принимается равным 0,1.
В случаях, не указанных в абзаце втором настоящего пункта, коэффициент Кас принимается равным 1.
12. Коэффициент, характеризующий особенности разработки отдельных залежей участка недр (Корз), определяется налогоплательщиком в порядке, установленном настоящим пунктом.
В случае, если добыча газа горючего природного осуществляется из залежи углеводородного сырья, отнесенной к туронским продуктивным отложениям или продуктивным отложениям березовской свиты по данным государственного баланса запасов полезных ископаемых, на период с 1 января 2014 года и до истечения ста восьмидесяти налоговых периодов, начинающихся с 1 января года, в котором степень выработанности запасов газа горючего природного залежи углеводородного сырья впервые превысила 1 процент, коэффициент Корз рассчитывается по следующей формуле:
Корз = 0,053 x n + 0,157,
где n - порядковый номер года, определяемый в целях настоящего пункта как разность между годом налогового периода и годом, в котором степень выработанности запасов газа горючего природного залежи углеводородного сырья впервые превысила 1 процент, увеличенная на 1.
В случае, если в налоговом периоде степень выработанности запасов газа горючего природного залежи углеводородного сырья составляет менее 1 процента, порядковый номер года (n) принимается равным 1.
По истечении ста восьмидесяти налоговых периодов, начинающихся с 1 января года, в котором степень выработанности запасов газа горючего природного залежи углеводородного сырья впервые превысила 1 процент, коэффициент Корз принимается равным 1.
Для целей настоящего пункта степень выработанности запасов газа горючего природного залежи углеводородного сырья рассчитывается налогоплательщиком самостоятельно по данным государственного баланса запасов полезных ископаемых по состоянию на 1 января года, предшествующего году налогового периода, как частное от деления суммы накопленной добычи газа горючего природного (за исключением попутного газа) из залежи углеводородного сырья (включая потери при добыче) на начальные запасы газа горючего природного (за исключением попутного газа), определяемые как сумма начальных запасов газа горючего природного (за исключением попутного газа) всех категорий и накопленной добычи с начала разработки залежи углеводородного сырья.
13. Для целей настоящей статьи степень выработанности запасов газа горючего природного конкретного участка недр (Свг) рассчитывается налогоплательщиком самостоятельно по данным государственного баланса запасов полезных ископаемых по состоянию на 1 января года, предшествующего году налогового периода, как частное от деления суммы накопленной добычи газа горючего природного (за исключением попутного газа) на данном участке недр (включая потери при добыче) на начальные запасы газа горючего природного (за исключением попутного газа), определяемые как сумма запасов всех категорий и накопленной добычи с начала разработки участка недр.
14. Показатель, характеризующий расходы на транспортировку газа горючего природного (Тг), определяется налогоплательщиком ежегодно начиная с 1 января 2015 года и действует в течение двенадцати налоговых периодов, начинающихся с 1 января соответствующего года. На период до 1 января 2015 года показатель Тг принимается равным 0.
Показатель Тг рассчитывается по следующей формуле:

где Тр - разница между средним фактическим значением тарифа на услуги по транспортировке газа горючего природного по магистральным газопроводам, являющимся частью Единой системы газоснабжения, в пределах территории Российской Федерации в году, предшествующем году налогового периода, определяемым как среднее арифметическое фактических значений тарифов на услуги по транспортировке газа горючего природного по магистральным газопроводам, являющимся частью Единой системы газоснабжения, в пределах территории Российской Федерации, действовавших в каждом месяце года, предшествующего году налогового периода, и расчетным значением тарифа на услуги по транспортировке газа горючего природного для года, предшествующего году налогового периода, определяемым как произведение среднего фактического значения тарифа на услуги по транспортировке газа горючего природного по магистральным газопроводам, являющимся частью Единой системы газоснабжения, в пределах территории Российской Федерации в 2013 году и коэффициента, учитывающего изменение потребительских цен на товары (работы, услуги) в Российской Федерации начиная с 2013 года.
Коэффициент, учитывающий изменение потребительских цен на товары (работы, услуги) в Российской Федерации начиная с 2013 года, определяется как отношение коэффициента-дефлятора, установленного для года, предшествующего году налогового периода, к коэффициенту-дефлятору, установленному для 2013 года.
Показатель Тр доводится через официальные источники информации уполномоченным федеральным органом исполнительной власти в области регулирования тарифов.
При отсутствии указанной информации в официальных источниках показатель Тр рассчитывается налогоплательщиком самостоятельно.
Если значение показателя Тр, определенное в соответствии с настоящим пунктом, составляет менее 0, то показатель Тр принимается равным 0;
Рг - среднее расстояние транспортировки газа горючего природного по магистральным газопроводам, являющимся частью Единой системы газоснабжения, выраженное в километрах, в пределах территории Российской Федерации организациями, не являющимися собственниками объектов Единой системы газоснабжения и (или) организациями, в которых непосредственно и (или) косвенно участвуют собственники объектов Единой системы газоснабжения и суммарная доля такого участия составляет более 50 процентов за 12 месяцев, предшествующих 1 октября года, предшествующего году налогового периода.
Показатель Рг рассчитывается федеральным органом исполнительной власти в области регулирования тарифов и размещается на его официальном сайте в информационно-телекоммуникационной сети "Интернет" в случае, если показатель Тр не равен нулю.
При отсутствии указанной информации на официальном сайте указанного органа в информационно-телекоммуникационной сети "Интернет" и величине показателя Тр, не равной нулю, показатель Рг принимается равным 2000;
Ог - коэффициент, определяемый как отношение количества газа горючего природного (за исключением попутного газа), добытого организациями, являющимися собственниками объектов Единой системы газоснабжения, и (или) организациями, в которых непосредственно и (или) косвенно участвуют собственники объектов Единой системы газоснабжения и суммарная доля такого участия составляет более 50 процентов (за исключением организаций, в которых одним из участников с долей не менее 50 процентов является российская организация, в которой непосредственно и (или) косвенно участвуют собственники объектов Единой системы газоснабжения и суммарная доля такого участия составляет менее 15 процентов), за 12 месяцев, предшествующих 1 октября года, предшествующего году налогового периода, к количеству газа горючего природного (за исключением попутного газа), добытого иными налогоплательщиками за 12 месяцев, предшествующих 1 октября года, предшествующего году налогового периода.
Коэффициент Ог определяется и доводится через официальные источники информации в порядке, устанавливаемом федеральным органом исполнительной власти, осуществляющим функции по выработке и реализации государственной политики и нормативно-правовому регулированию в сфере топливно-энергетического комплекса.
При отсутствии указанной информации в официальных источниках коэффициент Ог принимается равным 4.
Для налогоплательщиков, не являющихся в течение всего налогового периода организациями - собственниками объектов Единой системы газоснабжения и (или) организациями, в которых непосредственно и (или) косвенно участвуют собственники объектов Единой системы газоснабжения и суммарная доля такого участия составляет более 50 процентов (за исключением организаций, в которых одним из участников с долей не менее 50 процентов является российская организация, в которой непосредственно и (или) косвенно участвуют собственники объектов Единой системы газоснабжения и суммарная доля такого участия составляет менее 15 процентов), коэффициент Ог принимается равным минус 1.
Для участков недр, являющихся ресурсной базой исключительно для региональных систем газоснабжения, а также для участков недр, указанных в подпункте 4 пункта 9 настоящей статьи, для которых значение коэффициента Кр равно 0, показатель, характеризующий расходы на транспортировку газа горючего природного (Тг), принимается равным 0.
15. Корректирующий коэффициент Ккм устанавливается равным результату деления числа 6,5 на значение коэффициента Кгп, определяемого в соответствии с пунктом 18 настоящей статьи.
16. В целях настоящей статьи условная ставка вывозной таможенной пошлины на газовый конденсат (Пн) рассчитывается налогоплательщиком для каждого налогового периода в следующем порядке:
при сложившейся за период мониторинга средней цене на нефть сырую марки "Юралс" на мировых рынках нефтяного сырья (средиземноморском и роттердамском) до 109,5 доллара США за 1 тонну (включительно) - в размере 0 процентов;
при превышении сложившейся за период мониторинга средней цены на нефть сырую марки "Юралс" на мировых рынках нефтяного сырья (средиземноморском и роттердамском) уровня 109,5 доллара США за 1 тонну, но не более 146 долларов США за 1 тонну (включительно) - в размере, не превышающем 35 процентов разницы между сложившейся за период мониторинга средней ценой указанной нефти в долларах США за 1 тонну и 109,5 доллара США;
при превышении сложившейся за период мониторинга средней цены на нефть сырую марки "Юралс" на мировых рынках нефтяного сырья (средиземноморском и роттердамском) уровня 146 долларов США за 1 тонну, но не более 182,5 доллара США за 1 тонну (включительно) - в размере, не превышающем суммы 12,78 доллара США за 1 тонну и 45 процентов разницы между сложившейся за период мониторинга средней ценой указанной нефти в долларах США за 1 тонну и 146 долларами США;
при превышении сложившейся за период мониторинга средней цены на нефть сырую марки "Юралс" на мировых рынках нефтяного сырья (средиземноморском и роттердамском) уровня 182,5 доллара США за 1 тонну - в размере, не превышающем суммы 29,2 доллара США за 1 тонну и 59 процентов разницы между сложившейся за период мониторинга средней ценой указанной нефти в долларах США за 1 тонну и 182,5 доллара США.
При этом средняя цена на нефть сырую марки "Юралс" на мировых рынках нефтяного сырья (средиземноморском и роттердамском) за период мониторинга определяется в порядке, установленном пунктом 3 статьи 3.1 Закона Российской Федерации "О таможенном тарифе".
Рассчитанная в порядке, определенном настоящим пунктом, условная ставка вывозной таможенной пошлины на газовый конденсат (ПН) округляется до четвертого знака в соответствии с действующим порядком округления.
17. Утратил силу с 1 января 2020 года. - Федеральный закон от 29.09.2019 N 325-ФЗ.
18. Коэффициент Кгп устанавливается равным:
1) 1,4441 - с 1 января 2019 года - для налогоплательщиков, являющихся в течение всего налогового периода организациями - собственниками объектов Единой системы газоснабжения и (или) организациями, в которых непосредственно и (или) косвенно участвуют собственники объектов Единой системы газоснабжения и суммарная доля такого участия составляет более 50 процентов, за исключением следующих налогоплательщиков:
налогоплательщиков - организаций, в которых одним из участников с долей не менее 50 процентов является российская организация, в которой непосредственно и (или) косвенно участвуют собственники объектов Единой системы газоснабжения и суммарная доля такого участия составляет менее 15 процентов;
налогоплательщиков, для которых рассчитываемый по итогам налогового периода коэффициент, характеризующий долю добытого газа горючего природного (за исключением попутного газа) в суммарном объеме добытого углеводородного сырья (Кгпн), составляет менее 0,35. Значение коэффициента Кгпн определяется в соответствии с пунктом 6 настоящей статьи;
2) 1 - для налогоплательщиков, не указанных в подпункте 1 настоящего пункта.
19. Если иное не предусмотрено настоящим пунктом, показатель КГК рассчитывается налогоплательщиками, являющимися в течение всего налогового периода организациями - собственниками объектов Единой системы газоснабжения и (или) организациями, в которых непосредственно и (или) косвенно участвуют собственники объектов Единой системы газоснабжения и суммарная доля такого участия составляет более 50 процентов, как произведение коэффициента КАБДТ, определяемого для налогового периода в соответствии с пунктом 11 статьи 342.5 настоящего Кодекса, и величины, равной 1,5.
Значение показателя КГК принимается равным нулю:
для налогоплательщиков, не указанных в абзаце первом настоящего пункта;
для налогоплательщиков, в отношении которых рассчитываемый по итогам налогового периода в соответствии с пунктом 6 настоящей статьи коэффициент, характеризующий долю добытого газа горючего природного (за исключением попутного газа) в суммарном объеме добытого углеводородного сырья (Кгпн), составляет менее 0,35.