Постановление Правительства РФ от 14.07.2012 N 717 "О Государственной программе развития сельского хозяйства и регулирования рынков сельскохозяйственной продукции, сырья и продовольствия"
ПРАВИТЕЛЬСТВО РОССИЙСКОЙ ФЕДЕРАЦИИ
ПОСТАНОВЛЕНИЕ
от 14 июля 2012 г. N 717
О ГОСУДАРСТВЕННОЙ ПРОГРАММЕ
РАЗВИТИЯ СЕЛЬСКОГО ХОЗЯЙСТВА И РЕГУЛИРОВАНИЯ РЫНКОВ
СЕЛЬСКОХОЗЯЙСТВЕННОЙ ПРОДУКЦИИ,
СЫРЬЯ И ПРОДОВОЛЬСТВИЯ
В целях реализации Федерального закона "О развитии сельского хозяйства" Правительство Российской Федерации постановляет:
1. Утвердить прилагаемую Государственную программу развития сельского хозяйства и регулирования рынков сельскохозяйственной продукции, сырья и продовольствия (далее - Государственная программа).
2. Министерству сельского хозяйства Российской Федерации разработать и по согласованию с Министерством экономического развития Российской Федерации и Министерством финансов Российской Федерации до 1 октября 2012 г. внести в установленном порядке в Правительство Российской Федерации проекты концепций федеральных целевых программ "Устойчивое развитие сельских территорий на 2014 - 2017 годы и на период до 2020 года" и "Развитие мелиорации земель сельскохозяйственного назначения России на 2014 - 2020 годы".
3. Установить, что в ходе реализации Государственной программы Министерством финансов Российской Федерации по предложению Министерства сельского хозяйства Российской Федерации, согласованному при необходимости в установленном порядке с Министерством экономического развития Российской Федерации, в соответствии с бюджетным законодательством Российской Федерации осуществляется перераспределение объемов финансирования между мероприятиями Государственной программы без изменений общего объема ее финансирования.
4. Министерству сельского хозяйства Российской Федерации до 1 марта 2013 г. заключить в установленном порядке с органами, уполномоченными высшими исполнительными органами государственной власти субъектов Российской Федерации, участвующими в реализации Государственной программы, соглашения о реализации мероприятий Государственной программы.
5. Рекомендовать органам государственной власти субъектов Российской Федерации при принятии региональных программ, направленных на развитие сельского хозяйства и регулирование рынков сельскохозяйственной продукции, сырья и продовольствия, учитывать положения Государственной программы.
Председатель Правительства
Российской Федерации
Д.МЕДВЕДЕВ
Утверждена
постановлением Правительства
Российской Федерации
от 14 июля 2012 г. N 717
ГОСУДАРСТВЕННАЯ ПРОГРАММА
РАЗВИТИЯ СЕЛЬСКОГО ХОЗЯЙСТВА И РЕГУЛИРОВАНИЯ РЫНКОВ
СЕЛЬСКОХОЗЯЙСТВЕННОЙ ПРОДУКЦИИ, СЫРЬЯ И ПРОДОВОЛЬСТВИЯ
СТРАТЕГИЧЕСКИЕ ПРИОРИТЕТЫ
в сфере реализации Государственной программы развития
сельского хозяйства и регулирования рынков
сельскохозяйственной продукции, сырья и продовольствия
Оценка текущего состояния агропромышленного комплекса
Российской Федерации
Государственная программа развития сельского хозяйства и регулирования рынков сельскохозяйственной продукции, сырья и продовольствия (далее - Государственная программа) определяет цели, задачи и основные направления развития и регулирования агропромышленного комплекса, финансовое обеспечение и механизмы реализации мероприятий и показателей их результативности. Государственная программа предусматривает комплексное развитие всех отраслей и подотраслей, а также сфер деятельности агропромышленного комплекса с учетом членства Российской Федерации во Всемирной торговой организации, а также участия в Евразийском экономическом союзе и других региональных объединениях на экономическом пространстве Содружества Независимых Государств.
Индекс производства продукции сельского хозяйства (в сопоставимых ценах) в хозяйствах всех категорий в 2020 году составил 101,3 процента по отношению к уровню 2019 года, по отношению к уровню 2017 года - 105,4 процента (в 2019 году - 104,1 процента по отношению к уровню 2017 года).
По данным Министерства сельского хозяйства Российской Федерации и Федеральной службы государственной статистики, в 2020 году достигнуты или превышены плановые значения уровня самообеспечения, предусмотренные Государственной программой, по зерну, сахару, маслу растительному, мясу и мясопродуктам, фруктам и ягодам. При этом уровень самообеспечения ниже плановых значений Государственной программы остается по картофелю, овощам и бахчевым культурам, молоку и молокопродуктам. Министерство сельского хозяйства Российской Федерации в среднесрочной перспективе ожидает достижения плановых значений показателей Государственной программы.
По результатам деятельности сельскохозяйственных организаций за 2020 год, подготовленным на основании отчетов о финансово-экономическом состоянии товаропроизводителей агропромышленного комплекса, получивших государственную поддержку, представленных субъектами Российской Федерации, рентабельность сельскохозяйственных организаций с учетом субсидий (усредненное значение) составила 21 процент.
Среднемесячная начисленная заработная плата по сельскохозяйственным организациям всех категорий составила 31192 рубля, что выше показателя 2019 года на 9,4 процента. При этом среднемесячная начисленная заработная плата в сельском хозяйстве (по сельскохозяйственным организациям, не относящимся к субъектам малого предпринимательства) за январь - декабрь 2020 г. составила 35059,3 рубля, что на 9,6 процента выше аналогичного показателя 2019 года.
Индекс производства продукции растениеводства в хозяйствах всех категорий в 2020 году составил 100,7 процента по отношению к уровню 2019 года, по отношению к уровню 2017 года - 105,7 процента (план на 2020 год - 102,4 процента по отношению к уровню 2017 года). Индекс производства продукции животноводства в 2020 году составил 101,9 процента по отношению к уровню 2019 года, по отношению к уровню 2017 года - 105 процентов (плановое значение на 2020 год - 105,5 процента по отношению к уровню 2017 года).
В отраслях пищевой и перерабатывающей промышленности сохраняется положительная динамика производства. По данным Федеральной службы государственной статистики, индекс производства пищевых продуктов в 2020 году по сравнению с соответствующим периодом 2019 года составил 103,1 процента, индекс производства напитков - 101,5 процента.
Основными проблемами в сфере реализации Государственной программы на текущем этапе являются:
недостаточность перерабатывающих мощностей, товарных направлений и групп;
технологическая зависимость российского агропромышленного комплекса и зависимость от импортного семенного материала в растениеводстве, племенной продукции (материала) в животноводстве, ветеринарии, кормопроизводстве, хранении и переработке сельскохозяйственной продукции;
торговые (тарифные и нетарифные) барьеры;
невысокие темпы развития российской экономики;
отсутствие необходимых прорывных решений и технологий в агропромышленном комплексе;
недостаток высококвалифицированных кадров в сельском хозяйстве и пищевой промышленности.
К концу II этапа реализации Государственной программы (2030 год) Министерством сельского хозяйства Российской Федерации прогнозируется достижение следующих целей Государственной программы:
цель 1 "достижение значения индекса производства продукции сельского хозяйства (в сопоставимых ценах) в 2030 году в объеме 122,6 процента по отношению к уровню 2021 года";
цель 2 "достижение значения индекса производства пищевых продуктов (в сопоставимых ценах) в 2030 году в объеме 124,2 процента по отношению к уровню 2021 года";
цель 3 "достижение уровня среднемесячной начисленной заработной платы работников сельского хозяйства (без субъектов малого предпринимательства) в 2030 году в размере 81355 рублей";
цель 4 "достижение объема экспорта продукции агропромышленного комплекса (в номинальных ценах) в размере 55,2 млрд. долларов США к концу 2030 года".
Приоритеты и цели государственной политики в сфере
реализации Государственной программы
Стратегией развития агропромышленного и рыбохозяйственного комплексов Российской Федерации на период до 2030 года, утвержденной распоряжением Правительства Российской Федерации от 8 сентября 2022 г. N 2567-р, установлены основные приоритеты государственной политики в сфере развития агропромышленного комплекса, которые также являются приоритетами реализации Государственной программы.
Ключевые ориентиры развития в рамках Государственной программы:
обеспечение продовольственной безопасности Российской Федерации в соответствии с Доктриной продовольственной безопасности Российской Федерации, утвержденной Указом Президента Российской Федерации от 21 января 2020 г. N 20 "Об утверждении Доктрины продовольственной безопасности Российской Федерации";
развитие экспорта продукции агропромышленного комплекса;
развитие растениеводства и животноводства, в том числе с внедрением инновационных технологий;
развитие пищевой и перерабатывающей промышленности, включая виноградарство и виноделие, в том числе с внедрением инноваций;
развитие субъектов малого предпринимательства в агропромышленном комплексе;
цифровизация отраслей и подотраслей агропромышленного комплекса, в том числе внедрение технологий искусственного интеллекта в агропромышленный комплекс;
селекция и генетика;
внедрение новых видов сервисов, услуг и решений, позволяющих оптимизировать производственные и логистические процессы.
Государственная политика в агропромышленном комплексе к 2030 году трансформируется, так как единая цифровая платформа учета предоставления данных, услуг и сервисов в комплексе позволит прогнозировать развитие и риски в агропромышленном комплексе, в том числе экономические, социальные и климатические.
Реализация Государственной программы оказывает влияние на достижение национальной цели развития Российской Федерации "Устойчивая и динамичная экономика", определенной Указом Президента Российской Федерации от 7 мая 2024 г. N 309 "О национальных целях развития Российской Федерации на период до 2030 года и на перспективу до 2036 года", в том числе на следующие целевые показатели, характеризующие достижение национальных целей:
обеспечение темпа роста валового внутреннего продукта страны выше среднемирового и выход не позднее 2030 года на 4-е место в мире по объему валового внутреннего продукта, рассчитанного по паритету покупательной способности, в том числе за счет роста производительности труда, при сохранении макроэкономической стабильности, низкого уровня безработицы и снижении уровня структурной безработицы, а также увеличение к 2030 году объема производства продукции агропромышленного комплекса не менее чем на 25 процентов по сравнению с уровнем 2021 года. Достижение указанных целевых показателей в основном обеспечивается в рамках федеральных проектов "Развитие отраслей и техническая модернизация агропромышленного комплекса", "Стимулирование развития виноградарства и виноделия", "Стимулирование инвестиционной деятельности в агропромышленном комплексе", "Развитие отраслей овощеводства и картофелеводства" и "Развитие сельского туризма";
увеличение к 2030 году объема инвестиций в основной капитал не менее чем на 60 процентов по сравнению с уровнем 2020 года за счет постоянного улучшения инвестиционного климата. Достижение указанного целевого показателя в основном будет обеспечиваться в рамках федерального проекта "Стимулирование инвестиционной деятельности в агропромышленном комплексе";
увеличение к 2030 году экспорта продукции агропромышленного комплекса не менее чем в полтора раза по сравнению с уровнем 2021 года. Достижение указанного целевого показателя будет в основном обеспечиваться в рамках федерального проекта "Экспорт продукции агропромышленного комплекса";
абзац утратил силу. - Постановление Правительства РФ от 04.04.2025 N 434;
обеспечение темпа устойчивого роста доходов населения и уровня пенсионного обеспечения не ниже уровня инфляции. Достижение указанного целевого показателя будет обеспечено в основном в рамках мероприятия по созданию системы поддержки фермеров и развитию сельской кооперации федерального проекта "Развитие отраслей и техническая модернизация агропромышленного комплекса", федерального проекта "Развитие отраслей овощеводства и картофелеводства" и комплекса процессных мероприятий "Обеспечение деятельности Министерства сельского хозяйства Российской Федерации и подведомственных организаций".
Участие субъектов Российской Федерации в реализации мероприятий Государственной программы обеспечивается посредством реализации правил предоставления субсидий бюджетам субъектов Российской Федерации по различным направлениям государственной поддержки, включенных в Государственную программу (далее - правила), и заключения соглашений между Министерством сельского хозяйства Российской Федерации и высшими исполнительными органами субъектов Российской Федерации о предоставлении субсидий бюджетам субъектов Российской Федерации из федерального бюджета (далее соответственно - соглашение, субсидия).
Общие требования к формированию, предоставлению и распределению субсидий бюджетам субъектов Российской Федерации из федерального бюджета, а также порядок определения и установления предельного уровня софинансирования (в процентах) объема расходного обязательства субъекта Российской Федерации установлены Правилами формирования, предоставления и распределения субсидий из федерального бюджета бюджетам субъектов Российской Федерации, утвержденными постановлением Правительства Российской Федерации от 30 сентября 2014 г. N 999 "О формировании, предоставлении и распределении субсидий из федерального бюджета бюджетам субъектов Российской Федерации".
Вместе с тем общими требованиями к политике субъектов Российской Федерации в сфере реализации Государственной программы являются:
включение мероприятий и результатов субсидий, предусмотренных правилами и соглашениями, в состав региональных программ развития агропромышленного комплекса;
формирование региональных программ развития агропромышленного комплекса с учетом параметров Государственной программы до даты заключения соглашений на очередной финансовый год и плановый период;
достижение результатов субсидий и соответствующих показателей региональных программ развития агропромышленного комплекса;
выполнение субъектами Российской Федерации обязательств, предусмотренных соглашениями.
Участие субъектов Российской Федерации предусмотрено в рамках реализации федеральных проектов "Экспорт продукции агропромышленного комплекса", "Производство критически важных ферментных препаратов, пищевых и кормовых добавок, технологических вспомогательных средств", "Кадры в агропромышленном комплексе", "Развитие отраслей и техническая модернизация агропромышленного комплекса", "Развитие отраслей овощеводства и картофелеводства", "Стимулирование развития виноградарства и виноделия" и "Развитие сельского туризма".
Задачи государственного управления и обеспечения
национальной безопасности Российской Федерации, способы
их эффективного решения в сфере реализации
Государственной программы
Основные задачи государственного управления в сфере реализации Государственной программы и способы их эффективного решения определены Стратегией развития агропромышленного и рыбохозяйственного комплексов Российской Федерации на период до 2030 года, утвержденной распоряжением Правительства Российской Федерации от 8 сентября 2022 г. N 2567-р.
Основные задачи Государственной программы.
Задачи по достижению цели 1 "достижение значения индекса производства продукции сельского хозяйства (в сопоставимых ценах) в 2030 году в объеме 122,6 процента по отношению к уровню 2021 года" и цели 2 "достижение значения индекса производства пищевых продуктов (в сопоставимых ценах) в 2030 году в объеме 124,2 процента по отношению к уровню 2021 года".
В последние годы агропромышленный комплекс демонстрирует уверенный рост, в том числе за счет поддержки государства, являясь одним из основных развивающихся направлений отечественной экономики, и оказывает непосредственное влияние на продовольственную безопасность и устойчивое социально-экономическое развитие Российской Федерации. Обеспечение устойчивого социально-экономического развития Российской Федерации в долгосрочной перспективе является первостепенной задачей.
В свете глобальных экономических тенденций возникает необходимость внедрения новой модели экономического развития, способной обеспечить динамичный и устойчивый рост российской экономики, основанный на внутренних факторах конкурентоспособности государства, прежде всего на повышении экономической эффективности производства.
В настоящее время требуется, чтобы национальная экономика развивалась ускоренными темпами (выше среднемировых), опираясь на основные цели экономического роста, которыми являются социальное благополучие и высокие стандарты жизни граждан Российской Федерации, качественное инфраструктурное развитие, продовольственная безопасность страны.
Ежегодно мировая экономика существенно трансформируется и появляется необходимость формирования прорывных решений и технологий по внедрению платформы по долгосрочному перспективному развитию агропромышленного комплекса для устойчивого социально-экономического развития, повышения конкурентоспособности отечественной продукции агропромышленного комплекса, усиления продовольственной и биологической безопасности, развития науки и инноваций в агропромышленном комплексе (генетика и селекция), цифровой трансформации.
Наиболее важными задачами в сфере реализации Государственной программы, решение которых в первую очередь позволит обеспечить достижение ее целей, являются развитие отраслей агропромышленного комплекса с учетом технической и технологической модернизации, а также стимулирование инвестиционной активности в агропромышленном комплексе.
Немаловажную роль в развитии агропромышленного комплекса также играет создание современной высококачественной образовательной среды для подготовки высококвалифицированных кадров для сельского хозяйства и пищевой промышленности.
В целях обеспечения стабильного роста производства сельскохозяйственной продукции, научно-технологического обеспечения развития сельского хозяйства и снижения технологических рисков в продовольственной сфере создана и реализуется Федеральная научно-техническая программа развития сельского хозяйства на 2017 - 2030 годы, утвержденная постановлением Правительства Российской Федерации от 25 августа 2017 г. N 996 "Об утверждении Федеральной научно-технической программы развития сельского хозяйства на 2017 - 2030 годы". Реализация указанной Федеральной научно-технической программы развития сельского хозяйства на 2017 - 2030 годы и достижение ее целей в ближайшей перспективе позволит не только снять технологическую зависимость и зависимость от импортного семенного материала в растениеводстве, племенной продукции (материала) в животноводстве, ветеринарии, кормопроизводстве, хранении и переработке сельхозпродукции, но и обеспечить наличие на российском рынке высококачественной и конкурентоспособной сельскохозяйственной продукции отечественного производства, а также сделать систему аграрного образования драйвером развития агропромышленного комплекса.
Абзацы одиннадцатый - пятнадцатый утратили силу. - Постановление Правительства РФ от 04.04.2025 N 434.
Необходимо также обеспечить эффективную реализацию государственной политики по всем направлениям развития агропромышленного комплекса, в том числе:
в области производства социально значимых продовольственных товаров первой необходимости, в том числе хлебобулочных изделий;
в области виноградарства и виноделия с учетом целей, принципов и направлений государственной политики, а также мер по ее реализации, установленных федеральным законодательством в области виноградарства и виноделия.
Задачи по достижению цели 3 "достижение уровня среднемесячной начисленной заработной платы работников сельского хозяйства (без субъектов малого предпринимательства) в 2030 году в размере 81355 рублей".
Одной из немаловажных задач государственного управления в сфере реализации Государственной программы является развитие малого агробизнеса и сельскохозяйственной кооперации, а также необходимость совершенствования учета продукции, производимой хозяйствами населения, в целях обеспечения внутреннего потребления сельскохозяйственной продукции. Одной из задач социально-экономического развития агропромышленного комплекса также является необходимость обеспечения условий для создания новых субъектов микро- и малого предпринимательства в агропромышленном комплексе и осуществления ими дополнительных видов деятельности в целях увеличения их доходности, в том числе в сфере сельского туризма.
Задачи по достижению цели 4 "достижение объема экспорта продукции агропромышленного комплекса (в номинальных ценах) в размере 55,2 млрд. долларов США к концу 2030 года". В рамках Государственной программы также решаются задачи, связанные с созданием новой экспортно ориентированной продукции агропромышленного комплекса, сохранением присутствия российской продукции агропромышленного комплекса с высокой добавленной стоимостью на традиционных рынках и диверсификацией экспорта на новые рынки за счет обеспечения бесперебойности поставок, устранения торговых барьеров (тарифных и нетарифных) для российской сельскохозяйственной продукции в зарубежных странах, создания системы продвижения продукции агропромышленного комплекса на внешние рынки.
Основными инструментами для решения задач по обеспечению роста экспорта продукции агропромышленного комплекса в рамках федерального проекта "Экспорт продукции агропромышленного комплекса" являются стимулирование развития и повышения конкурентоспособности экспортно ориентированных отраслей, развитие товаропроводящей инфраструктуры, облегчение доступа отечественной сельскохозяйственной продукции на зарубежные рынки и развитие сети атташе по агропромышленному комплексу.
В ближайшие годы необходимо значительно увеличить перерабатывающие мощности, создать новые товарные направления и группы, реализовать мероприятия по обеспечению поддержки продвижения экспорта сырья и продукции агропромышленного комплекса.
Задачи Государственной программы, определенные
в соответствии с национальными целями развития
Российской Федерации
Основными задачами Государственной программы и ее структурных элементов, определенными в соответствии с национальными целями развития Российской Федерации, определенными Указом Президента Российской Федерации от 7 мая 2024 г. N 309 "О национальных целях развития Российской Федерации на период до 2030 года и на перспективу до 2036 года", являются:
увеличение объемов производства продукции по растениеводству, животноводству и по пищевым продуктам;
создание условий для привлечения кредитных ресурсов в агропромышленном комплексе;
обеспечение обновления тракторов, зерноуборочных комбайнов, кормоуборочных комбайнов в сельскохозяйственных организациях;
создание сквозной системы финансовой и нефинансовой поддержки на всех этапах жизненного цикла проекта по экспорту продукции агропромышленного комплекса;
увеличение численности работников в субъектах малого и среднего предпринимательства, получивших грант "Агростартап".
Задачи по обеспечению достижения показателей
социально-экономического развития субъектов
Российской Федерации, входящих в состав приоритетных
территорий, уровень которых должен быть на уровне
выше среднероссийского
В настоящее время Правительством Российской Федерации в сфере реализации Государственной программы установлена задача по обеспечению достижения показателей социально-экономического развития субъектов Российской Федерации, входящих в состав Дальневосточного федерального округа. Необходимо предусмотреть для каждого субъекта Российской Федерации, входящего в состав Дальневосточного федерального округа, плановые значения важнейших показателей, необходимых для развития субъектов Российской Федерации, входящих в состав Дальневосточного федерального округа, на уровне выше среднероссийского и обеспечивать их достижение в рамках средств федерального бюджета, предусмотренных на реализацию проектов и программ.
В связи с этим в рамках правил применяются повышающие коэффициенты для субъектов Российской Федерации, входящих в состав Дальневосточного федерального округа, с целью доведения значений показателей результатов использования субсидий до среднероссийского уровня. Кроме того, в рамках правил для субъектов Российской Федерации, расположенных на территориях Арктической зоны Российской Федерации, Калининградской области, Республики Крым и г. Севастополя также применяются повышающие коэффициенты при расчете объемов бюджетных ассигнований, предусмотренных в федеральном бюджете на предоставление субсидий на соответствующий год.
Мероприятия федеральных проектов "Развитие отраслей и техническая модернизация отраслей агропромышленного комплекса", "Стимулирование развития виноградарства и виноделия", Развитие отраслей овощеводства и картофелеводства", "Развитие сельского туризма", "Экспорт продукции агропромышленного комплекса" и "Кадры в агропромышленном комплексе" в том числе направлены на развитие агропромышленного комплекса приоритетных территорий, а именно Дальневосточного федерального округа (развитие овощеводства), Северо-Кавказского федерального округа (развитие овцеводства и козоводства, виноградарства и виноделия), Республики Крым и г. Севастополя (развитие овощеводства, производства плодов и ягод), Калининградской области (развитие растениеводства и животноводства), Арктической зоны Российской Федерации (развитие северного оленеводства, молочного скотоводства).
Необходимо отметить, что распределение общих объемов субсидий между субъектами Российской Федерации в рамках Государственной программы осуществляется с учетом заявленной субъектами потребности в средствах федерального бюджета на общих принципах.
В связи с этим получение субъектами Российской Федерации из федерального бюджета субсидий на софинансирование мероприятий региональных программ развития агропромышленного комплекса, оказывающих влияние на достижение в субъектах Российской Федерации значений целевых показателей Государственной программы на уровне не ниже среднероссийского, зависит прежде всего от активности исполнительных органов субъектов Российской Федерации в проводимых на федеральном уровне заявочных кампаниях.
Субъектам Российской Федерации с фактическими значениями показателей ниже среднероссийского уровня рекомендуется обеспечивать высокое качество представления заявочной документации, а также применение проектных принципов организации работы в целях привлечения достаточных объемов межбюджетных трансфертов из федерального бюджета, необходимых для ускоренной ликвидации диспропорций в развитии.
Вместе с тем достижение показателей социально-экономического развития субъектов Российской Федерации, входящих в состав приоритетных территорий, уровень которых должен быть на уровне выше среднероссийского, требует совместных усилий органов законодательной и исполнительной власти всех уровней в части увеличения объемов финансирования государственных программ Российской Федерации, государственных программ субъектов Российской Федерации и муниципальных программ за счет средств бюджетов всех уровней, а также в части привлечения внебюджетного финансирования и использования механизмов государственно-частного партнерства.
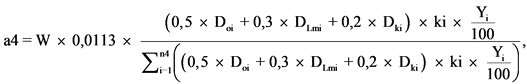
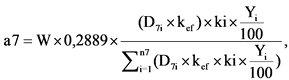
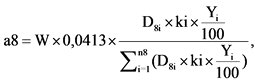
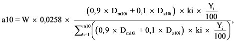
Правила предоставления и распределения субсидий из федерального бюджета бюджетам субъектов Российской Федерации на создание системы поддержки фермеров и развитие сельской кооперации приведены в приложении N 6.
Абзац утратил силу с 1 января 2024 года. - Постановление Правительства РФ от 02.12.2023 N 2065.
Правила предоставления и распределения субсидий из федерального бюджета бюджетам субъектов Российской Федерации на поддержку приоритетных направлений агропромышленного комплекса и развитие малых форм хозяйствования приведены в приложении N 8.
Положение о возмещении части затрат на уплату процентов по кредитам, полученным в российских кредитных организациях, и займам, полученным в сельскохозяйственных кредитных потребительских кооперативах приведено в приложении N 9.
Правила предоставления субсидий из федерального бюджета бюджету Республики Марий Эл на софинансирование расходных обязательств, направленных на реализацию мероприятий индивидуальной программы социально-экономического развития Республики Марий Эл на 2020 - 2024 годы, приведены в приложении N 11.
Правила предоставления и распределения субсидий из федерального бюджета бюджетам субъектов Российской Федерации на стимулирование увеличения производства масличных культур приведены в приложении N 11(1).
Правила предоставления и распределения субсидий из федерального бюджета бюджетам субъектов Российской Федерации на развитие сельского туризма приведены в приложении N 12.
Правила предоставления и распределения субсидий из федерального бюджета бюджетам субъектов Российской Федерации на стимулирование увеличения производства картофеля и овощей приведены в приложении N 12(1).
Правила предоставления и распределения субсидий из федерального бюджета бюджетам субъектов Российской Федерации на возмещение части затрат на уплату процентов по инвестиционным кредитам (займам) в агропромышленном комплексе приведены в приложении N 13.
Правила предоставления и распределения субсидий из федерального бюджета бюджетам субъектов Российской Федерации в целях софинансирования расходных обязательств субъектов Российской Федерации по финансовому обеспечению (возмещению) производителям зерновых культур части затрат на производство и реализацию зерновых культур приведены в приложении N 14.
Правила предоставления и распределения субсидий из федерального бюджета бюджетам субъектов Российской Федерации в целях софинансирования расходных обязательств субъектов Российской Федерации по возмещению части прямых понесенных затрат на создание и (или) модернизацию объектов по переработке сельскохозяйственной продукции приведены в приложении N 15.
Правила предоставления и распределения субсидий из федерального бюджета бюджетам субъектов Российской Федерации в целях софинансирования расходных обязательств субъектов Российской Федерации по финансовому обеспечению создания условий для получения ветеринарными лабораториями субъектов Российской Федерации аккредитации в национальной системе аккредитации и (или) расширения их области аккредитации приведены в приложении N 16.
Правила предоставления и распределения субсидий из федерального бюджета бюджетам субъектов Российской Федерации в целях софинансирования расходных обязательств субъектов Российской Федерации по возмещению части прямых понесенных затрат на создание и (или) модернизацию объектов агропромышленного комплекса, а также на приобретение и ввод в промышленную эксплуатацию маркировочного оборудования для внедрения обязательной маркировки отдельных видов молочной продукции приведены в приложении N 17.
Правила предоставления и распределения субсидий из федерального бюджета бюджетам субъектов Российской Федерации, входящих в состав Дальневосточного федерального округа, в целях софинансирования расходных обязательств указанных субъектов Российской Федерации по возмещению части прямых понесенных затрат на создание и (или) модернизацию тепличных комплексов для производства овощей в защищенном грунте и селекционно-семеноводческих центров в растениеводстве в Дальневосточном федеральном округе приведены в приложении N 17(1).
Правила предоставления и распределения субсидий из федерального бюджета бюджетам субъектов Российской Федерации на стимулирование развития виноградарства и виноделия приведены в приложении N 18.
Правила предоставления и распределения субсидий из федерального бюджета бюджетам Донецкой Народной Республики, Луганской Народной Республики, Запорожской области и Херсонской области на поддержку сельскохозяйственного производства по отдельным подотраслям растениеводства, животноводства и перерабатывающей промышленности приведены в приложении N 19.
Правила предоставления и распределения субсидий из федерального бюджета бюджетам субъектов Российской Федерации в целях софинансирования расходных обязательств субъектов Российской Федерации по возмещению части затрат организаций на проведение научно-исследовательских и опытно-конструкторских работ и (или) опытно-конструкторских работ в рамках реализации такими организациями инновационно-технологических проектов приведены в приложении N 20.
Правила предоставления и распределения субсидий из федерального бюджета бюджетам субъектов Российской Федерации на оказание государственной поддержки ветеранам и участникам специальной военной операции, связанной с началом осуществления ими предпринимательской деятельности в агропромышленном комплексе, приведены в приложении N 21.
Правила предоставления и распределения субсидий из федерального бюджета бюджетам субъектов Российской Федерации на реализацию мероприятий по содействию повышению кадровой обеспеченности предприятий агропромышленного комплекса приведены в приложении N 22.
Правила предоставления и распределения субсидий из федерального бюджета бюджетам субъектов Российской Федерации в целях софинансирования расходных обязательств субъектов Российской Федерации по возмещению части затрат, возникающих при реализации мероприятий по развитию геномной селекции в области племенного животноводства, приведены в приложении N 22(1).
Приложение N 1
к Государственной программе развития
сельского хозяйства и регулирования
рынков сельскохозяйственной продукции,
сырья и продовольствия
СТРУКТУРА
ГОСУДАРСТВЕННОЙ ПРОГРАММЫ РАЗВИТИЯ СЕЛЬСКОГО ХОЗЯЙСТВА
И РЕГУЛИРОВАНИЯ РЫНКОВ СЕЛЬСКОХОЗЯЙСТВЕННОЙ ПРОДУКЦИИ,
СЫРЬЯ И ПРОДОВОЛЬСТВИЯ
Утратила силу с 1 января 2022 года. - Постановление Правительства РФ от 02.09.2021 N 1474.
Приложение N 2
к Государственной программе развития
сельского хозяйства и регулирования
рынков сельскохозяйственной продукции,
сырья и продовольствия
ПЕРЕЧЕНЬ
СОИСПОЛНИТЕЛЕЙ И УЧАСТНИКОВ ГОСУДАРСТВЕННОЙ ПРОГРАММЫ
РАЗВИТИЯ СЕЛЬСКОГО ХОЗЯЙСТВА И РЕГУЛИРОВАНИЯ РЫНКОВ
СЕЛЬСКОХОЗЯЙСТВЕННОЙ ПРОДУКЦИИ, СЫРЬЯ И ПРОДОВОЛЬСТВИЯ
Утратил силу с 1 января 2022 года. - Постановление Правительства РФ от 02.09.2021 N 1474.
Приложение N 3
к Государственной программе развития
сельского хозяйства и регулирования
рынков сельскохозяйственной продукции,
сырья и продовольствия
ПЕРЕЧЕНЬ
ОБЪЕКТОВ КАПИТАЛЬНОГО СТРОИТЕЛЬСТВА, МЕРОПРИЯТИЙ
(УКРУПНЕННЫХ ИНВЕСТИЦИОННЫХ ПРОЕКТОВ), ОБЪЕКТОВ НЕДВИЖИМОГО
ИМУЩЕСТВА ФЕДЕРАЛЬНОЙ АДРЕСНОЙ ИНВЕСТИЦИОННОЙ ПРОГРАММЫ,
ФИНАНСОВОЕ ОБЕСПЕЧЕНИЕ КОТОРЫХ ОСУЩЕСТВЛЯЛОСЬ В РАМКАХ
ИНТЕГРИРОВАННЫХ ФЕДЕРАЛЬНЫХ ЦЕЛЕВЫХ ПРОГРАММ
Утратил силу с 1 января 2022 года. - Постановление Правительства РФ от 02.09.2021 N 1474.
Приложение N 4
к Государственной программе развития
сельского хозяйства и регулирования
рынков сельскохозяйственной продукции,
сырья и продовольствия
ПЕРЕЧЕНЬ
ПРИКЛАДНЫХ НАУЧНЫХ ИССЛЕДОВАНИЙ И ЭКСПЕРИМЕНТАЛЬНЫХ
РАЗРАБОТОК, ВЫПОЛНЯЕМЫХ ПО ДОГОВОРАМ НА ПРОВЕДЕНИЕ
НАУЧНО-ИССЛЕДОВАТЕЛЬСКИХ, ОПЫТНО-КОНСТРУКТОРСКИХ
И ТЕХНОЛОГИЧЕСКИХ РАБОТ, ФИНАНСОВОЕ ОБЕСПЕЧЕНИЕ КОТОРЫХ
ОСУЩЕСТВЛЯЛОСЬ В РАМКАХ ИНТЕГРИРОВАННЫХ ФЕДЕРАЛЬНЫХ
ЦЕЛЕВЫХ ПРОГРАММ
Утратил силу с 1 января 2022 года. - Постановление Правительства РФ от 02.09.2021 N 1474.
Приложение N 5
к Государственной программе развития
сельского хозяйства и регулирования
рынков сельскохозяйственной продукции,
сырья и продовольствия
СВОДНАЯ ИНФОРМАЦИЯ
ПО ОПЕРЕЖАЮЩЕМУ РАЗВИТИЮ ПРИОРИТЕТНЫХ ТЕРРИТОРИЙ В РАМКАХ
ГОСУДАРСТВЕННОЙ ПРОГРАММЫ РАЗВИТИЯ СЕЛЬСКОГО ХОЗЯЙСТВА
И РЕГУЛИРОВАНИЯ РЫНКОВ СЕЛЬСКОХОЗЯЙСТВЕННОЙ ПРОДУКЦИИ,
СЫРЬЯ И ПРОДОВОЛЬСТВИЯ
Утратила силу с 1 января 2022 года. - Постановление Правительства РФ от 02.09.2021 N 1474.
Приложение N 6
к Государственной программе развития
сельского хозяйства и регулирования
рынков сельскохозяйственной продукции,
сырья и продовольствия
ПРАВИЛА
ПРЕДОСТАВЛЕНИЯ И РАСПРЕДЕЛЕНИЯ СУБСИДИЙ ИЗ ФЕДЕРАЛЬНОГО
БЮДЖЕТА БЮДЖЕТАМ СУБЪЕКТОВ РОССИЙСКОЙ ФЕДЕРАЦИИ НА СОЗДАНИЕ
СИСТЕМЫ ПОДДЕРЖКИ ФЕРМЕРОВ И РАЗВИТИЕ СЕЛЬСКОЙ КООПЕРАЦИИ
1. Настоящие Правила устанавливают цели, условия и порядок предоставления и распределения субсидий из федерального бюджета бюджетам субъектов Российской Федерации на создание системы поддержки фермеров и развитие сельской кооперации в целях софинансирования расходных обязательств субъектов Российской Федерации, возникающих при реализации мероприятий, направленных на создание новых субъектов малого предпринимательства в агропромышленном комплексе, развитие сельскохозяйственной кооперации и обеспечение деятельности центров компетенций в сфере сельскохозяйственной кооперации и поддержки фермеров путем предоставления средств из бюджетов субъектов Российской Федерации (далее - субсидии).
2. Используемые в настоящих Правилах понятия означают следующее:
"агроконтракт" - договор (соглашение), заключаемый между переработчиком и гражданином, ведущим личное подсобное хозяйство, предусматривающий передачу переработчиком семенного материала овощей, картофеля, посадочного материала ягодных культур, многолетних насаждений (кроме виноградников), а также сельскохозяйственной птицы, молодняка крупного рогатого скота, овец и коз в пользу указанного гражданина за поставляемые овощи открытого грунта, картофель, ягоды, молоко, мясо, а также крупного рогатого скота, овец и коз на убой в соответствии с условиями, установленными данным договором (соглашением);
"гражданин, ведущий личное подсобное хозяйство" - гражданин, осуществляющий ведение личного подсобного хозяйства в соответствии с Федеральным законом "О личном подсобном хозяйстве", применяющий специальный налоговый режим "Налог на профессиональный доход";
"грант "Агростартап" - средства, перечисляемые из бюджета субъекта Российской Федерации грантополучателю для финансового обеспечения его затрат, не возмещаемых в рамках иных направлений государственной поддержки, связанных с реализацией проекта создания и (или) развития хозяйства, представляемого заявителем в региональную комиссию по отбору проектов;
"грантополучатель" - заявитель, отобранный региональной комиссией по отбору проектов для предоставления гранта "Агростартап", зарегистрированный в качестве крестьянского (фермерского) хозяйства или индивидуального предпринимателя в соответствии с Федеральным законом "О государственной регистрации юридических лиц и индивидуальных предпринимателей";
"затраты сельскохозяйственного потребительского кооператива" - средства, уплаченные сельскохозяйственным потребительским кооперативом своим членам за произведенную ими сельскохозяйственную продукцию или собранные пищевые лесные ресурсы (дикорастущие плоды, ягоды, орехи, грибы, семена и подобные лесные ресурсы) (далее - дикорастущие пищевые ресурсы) в целях их дальнейшей реализации или переработки с последующей реализацией;
"заявитель" - крестьянское (фермерское) хозяйство или индивидуальный предприниматель, являющийся главой крестьянского (фермерского) хозяйства, основными видами деятельности которых являются производство и (или) переработка сельскохозяйственной продукции, зарегистрированные на сельской территории или на территории сельской агломерации субъекта Российской Федерации в текущем финансовом году, которые обязуются осуществлять деятельность на сельской территории или на территории сельской агломерации в течение не менее 5 лет со дня получения средств и достигнуть показателей деятельности, предусмотренных проектом создания и (или) развития хозяйства, и не являются или ранее не являлись получателями средств финансовой поддержки (за исключением социальных выплат и выплат на организацию начального этапа предпринимательской деятельности, субсидий, предоставляемых гражданам, ведущим личные подсобные хозяйства, в соответствии с приложением N 8 к Государственной программе развития сельского хозяйства и регулирования рынков сельскохозяйственной продукции, сырья и продовольствия, утвержденной постановлением Правительства Российской Федерации от 14 июля 2012 г. N 717 "О Государственной программе развития сельского хозяйства и регулирования рынков сельскохозяйственной продукции, сырья и продовольствия" (далее - Государственная программа), субсидий или грантов, а также гранта на поддержку начинающего фермера в рамках Государственной программы. Заявители, осуществляющие деятельность в субъектах Российской Федерации, относящихся к районам Крайнего Севера и местностям, приравненным к районам Крайнего Севера, предусмотренным постановлением Правительства Российской Федерации от 16 ноября 2021 г. N 1946 "Об утверждении перечня районов Крайнего Севера и местностей, приравненных к районам Крайнего Севера, в целях предоставления государственных гарантий и компенсаций для лиц, работающих и проживающих в этих районах и местностях, признании утратившими силу некоторых актов Правительства Российской Федерации и признании не действующими на территории Российской Федерации некоторых актов Совета Министров СССР", в субъектах Российской Федерации, входящих в состав Дальневосточного федерального округа, могут быть зарегистрированы на территориях городов и поселков городского типа с численностью населения не более 100 тыс. человек.
К понятию "заявитель" также относится гражданин Российской Федерации, обязующийся в срок, не превышающий 30 календарных дней с даты принятия решения региональной комиссии по отбору проектов о предоставлении ему гранта "Агростартап", осуществить государственную регистрацию крестьянского (фермерского) хозяйства или зарегистрироваться в качестве индивидуального предпринимателя, которые отвечают условиям, предусмотренным абзацем пятым настоящего пункта, в органах Федеральной налоговой службы;
"переработчик" - сельскохозяйственный товаропроизводитель (за исключением граждан, ведущих личное подсобное хозяйство, и сельскохозяйственного кредитного потребительского кооператива), осуществляющий хранение, первичную и (или) последующую (промышленную) переработку сельскохозяйственной продукции в соответствии с перечнями, утверждаемыми Правительством Российской Федерации в соответствии с частью 1 статьи 3 и (или) частью 1 статьи 7 Федерального закона "О развитии сельского хозяйства" (в том числе на арендованных основных средствах);
"плановые показатели деятельности" - производственные и экономические показатели, предусмотренные проектом создания и (или) развития хозяйства. В состав плановых показателей деятельности включаются в том числе количество принятых новых постоянных работников, сведения о которых подтверждаются справкой налогового органа, и объем производства и реализации сельскохозяйственной продукции, выраженный в натуральных и денежных показателях;
"получатели средств" - грантополучатели, сельскохозяйственные потребительские кооперативы, переработчики и центры компетенций в сфере сельскохозяйственной кооперации и поддержки фермеров;
"проект создания и (или) развития хозяйства" - документ (бизнес-план), составленный по форме, определяемой исполнительным органом субъекта Российской Федерации, уполномоченным высшим исполнительным органом субъекта Российской Федерации (далее - уполномоченный орган), в который включаются в том числе направления расходования гранта "Агростартап", обязательство по принятию в срок, определяемый высшим исполнительным органом субъекта Российской Федерации или уполномоченным органом, но не позднее срока использования гранта "Агростартап", не менее 2 новых постоянных работников, если сумма гранта "Агростартап" составляет 2 млн. рублей или более, и не менее одного нового постоянного работника, если сумма гранта составляет менее 2 млн. рублей (при этом глава крестьянского (фермерского) хозяйства и (или) индивидуальный предприниматель учитываются в качестве новых постоянных работников), а также обязательство по сохранению созданных новых постоянных рабочих мест в течение 5 лет с даты получения гранта "Агростартап" и по достижению плановых показателей деятельности, предусмотренных соглашением о предоставлении средств, заключаемым между грантополучателем и уполномоченным органом;
"региональная комиссия по отбору проектов" - комиссия, создаваемая высшим исполнительным органом субъекта Российской Федерации или уполномоченным органом, не менее 50 процентов членов которой составляют члены, не являющиеся государственными или муниципальными служащими, осуществляющая отбор заявителей для предоставления им гранта "Агростартап", в том числе в форме очного собеседования и (или) видео-конференц-связи;
"сельские агломерации" - примыкающие друг к другу сельские территории и (или) граничащие с сельскими территориями поселки городского типа и (или) малые города. Численность населения, постоянно проживающего на территории каждого населенного пункта, входящего в состав сельской агломерации, не может превышать 30 тыс. человек. Под примыкающими друг к другу сельскими территориями понимаются сельские территории, имеющие смежные границы муниципальных образований. Перечень сельских агломераций на территории субъекта Российской Федерации определяется высшим исполнительным органом субъекта Российской Федерации или уполномоченным органом. В указанное понятие не входят внутригородские муниципальные образования гг. Москвы и Санкт-Петербурга;
"сельские территории" - сельские поселения или сельские поселения и межселенные территории, объединенные общей территорией в границах муниципального района, сельские населенные пункты, входящие в состав городских поселений, муниципальных округов, городских округов (за исключением городских округов, на территории которых находятся административные центры субъектов Российской Федерации), сельские населенные пункты, входящие в состав внутригородских муниципальных образований г. Севастополя, рабочие поселки, наделенные статусом городских поселений, рабочие поселки, входящие в состав городских поселений, муниципальных округов, городских округов (за исключением городских округов, на территории которых находятся административные центры субъектов Российской Федерации). Перечень таких сельских населенных пунктов и рабочих поселков на территории субъекта Российской Федерации определяется высшим исполнительным органом субъекта Российской Федерации или уполномоченным органом. В указанное понятие не входят внутригородские муниципальные образования гг. Москвы и Санкт-Петербурга;
"сельскохозяйственный потребительский кооператив" - юридическое лицо, являющееся субъектом малого и среднего предпринимательства в соответствии с Федеральным законом "О развитии малого и среднего предпринимательства в Российской Федерации", созданное в соответствии с Федеральным законом "О сельскохозяйственной кооперации" в форме сельскохозяйственного потребительского кооператива (за исключением сельскохозяйственного кредитного потребительского кооператива), зарегистрированное на сельской территории или на территории сельской агломерации, осуществляющее деятельность по заготовке, хранению, подработке, переработке, сортировке, убою, первичной переработке, охлаждению, подготовке к реализации, транспортировке и реализации сельскохозяйственной продукции, дикорастущих пищевых ресурсов, а также продуктов переработки указанной продукции, объединяющее не менее 5 граждан Российской Федерации и (или) 3 сельскохозяйственных товаропроизводителей (кроме ассоциированных членов). Члены сельскохозяйственного потребительского кооператива из числа сельскохозяйственных товаропроизводителей должны относиться к микропредприятиям или малым предприятиям в соответствии с условиями, установленными Федеральным законом "О развитии малого и среднего предпринимательства в Российской Федерации". Неделимый фонд сельскохозяйственного потребительского кооператива может быть сформирован в том числе за счет части гранта "Агростартап", предоставленного грантополучателю, который является членом этого сельскохозяйственного потребительского кооператива.
К понятию "сельскохозяйственный потребительский кооператив" также относится потребительское общество, созданное в соответствии с Законом Российской Федерации "О потребительской кооперации (потребительских обществах, их союзах) в Российской Федерации", не менее 70 процентов выручки которого формируется за счет осуществления видов деятельности по заготовке, хранению, переработке и сбыту сельскохозяйственной продукции, дикорастущих пищевых ресурсов, а также продуктов переработки указанной продукции;
"центр компетенций в сфере сельскохозяйственной кооперации и поддержки фермеров" - юридическое лицо, зарегистрированное на территории Российской Федерации, учредителем (участником и (или) членом) или одним из учредителей (участников и (или) членов) которого является субъект Российской Федерации или исполнительный орган субъекта Российской Федерации, осуществляющее деятельность с учетом методических рекомендаций по осуществлению деятельности центров компетенций в сфере сельскохозяйственной кооперации и поддержки фермеров, утверждаемых Министерством сельского хозяйства Российской Федерации, и оказывающее информационно-консультационные услуги, направленные на развитие сельских территорий, обеспечение создания и (или) развития сельскохозяйственных кооперативов, субъектов малого и среднего предпринимательства в области сельского хозяйства в субъекте Российской Федерации. Центром компетенций в сфере сельскохозяйственной кооперации и поддержки фермеров может являться структурное подразделение указанного юридического лица. Центр компетенций в сфере сельскохозяйственной кооперации и поддержки фермеров определяется нормативным правовым актом высшего исполнительного органа субъекта Российской Федерации или уполномоченного органа.
3. Субсидии предоставляются в пределах лимитов бюджетных обязательств, доведенных до Министерства сельского хозяйства Российской Федерации как получателя средств федерального бюджета на предоставление субсидий на цели, указанные в пункте 1 настоящих Правил.
4. Для получателей средств, использующих право на освобождение от исполнения обязанностей налогоплательщика, связанных с исчислением и уплатой налога на добавленную стоимость, финансовое обеспечение (возмещение) части их затрат осуществляется исходя из суммы расходов на приобретение товаров (работ, услуг), включая сумму налога на добавленную стоимость.
5. Грант "Агростартап" предоставляется грантополучателю на реализацию проекта создания и (или) развития хозяйства:
а) по разведению крупного рогатого скота мясного или молочного направлений продуктивности - в размере, не превышающем 7 млн. рублей, но не более 90 процентов затрат;
б) по разведению крупного рогатого скота мясного или молочного направлений продуктивности, в случае если предусмотрено использование части гранта "Агростартап" на цели формирования неделимого фонда сельскохозяйственного потребительского кооператива, членом которого является грантополучатель, - в размере, не превышающем 8 млн. рублей, но не более 90 процентов затрат;
в) по иным направлениям проекта создания и (или) развития хозяйства - в размере, не превышающем 5 млн. рублей, но не более 90 процентов затрат;
г) по иным направлениям проекта создания и (или) развития хозяйства, в случае если предусмотрено использование части гранта "Агростартап" на цели формирования неделимого фонда сельскохозяйственного потребительского кооператива, членом которого является грантополучатель, - в размере, не превышающем 6 млн. рублей, но не более 90 процентов затрат.
6. Грант "Агростартап" предоставляется грантополучателю с учетом следующих условий:
а) грант "Агростартап" предоставляется однократно на основании решения региональной комиссии по отбору проектов по результатам конкурсного отбора заявителей;
б) максимальный размер гранта "Агростартап" утверждается уполномоченным органом. В случае если уполномоченный орган утверждает максимальный размер гранта "Агростартап" в размере, превышающем размер, указанный в пункте 5 настоящих Правил, расходные обязательства субъекта Российской Федерации по выплате такого гранта в сумме, превышающей указанный размер, из федерального бюджета не софинансируются;
в) размер гранта "Агростартап", предоставляемого конкретному грантополучателю, определяется решением региональной комиссии по отбору проектов с учетом размера собственных средств грантополучателя, направляемых на реализацию проекта создания и (или) развития хозяйства. Уполномоченный орган принимает решение о предоставлении гранта на основании решения региональной комиссии по отбору проектов;
г) перечень затрат, финансовое обеспечение которых допускается осуществлять за счет гранта "Агростартап", а также перечень имущества, приобретаемого сельскохозяйственным потребительским кооперативом с использованием части гранта "Агростартап", внесенной грантополучателем в неделимый фонд сельскохозяйственного потребительского кооператива, определяются Министерством сельского хозяйства Российской Федерации;
д) финансовое обеспечение затрат грантополучателя, предусмотренных пунктом 5 настоящих Правил, за счет иных направлений государственной поддержки не допускается;
е) часть гранта "Агростартап", направляемая на формирование неделимого фонда сельскохозяйственного потребительского кооператива, не может быть менее 25 процентов и более 50 процентов общего размера гранта "Агростартап". Срок использования средств указанным сельскохозяйственным потребительским кооперативом составляет не более 18 месяцев с даты получения средств от грантополучателя при условии осуществления им деятельности в течение 5 лет с даты получения части гранта "Агростартап" и ежегодного представления в уполномоченный орган отчетности о результатах своей деятельности по форме и в срок, которые устанавливаются уполномоченным органом. В субъектах Российской Федерации, пострадавших в результате обстрелов со стороны вооруженных формирований Украины и (или) террористических актов, срок использования средств сельскохозяйственным потребительским кооперативом составляет не более 30 месяцев со дня получения средств от грантополучателя;
ж) реализация, передача в аренду, залог и (или) отчуждение имущества, приобретенного с использованием гранта "Агростартап", допускаются только при согласовании с уполномоченным органом, а также при условии неухудшения плановых показателей деятельности, предусмотренных проектом создания и (или) развития хозяйства и соглашением о предоставлении средств, заключаемым между грантополучателем и уполномоченным органом;
з) приобретение имущества, ранее приобретенного с использованием средств государственной поддержки, за счет гранта "Агростартап" не допускается;
и) срок использования гранта "Агростартап" составляет не более 18 месяцев со дня его получения. В случае наступления обстоятельств непреодолимой силы, препятствующих использованию гранта "Агростартап" в установленный срок, продление срока использования гранта "Агростартап" осуществляется по решению уполномоченного органа, но не более чем на 6 месяцев, в установленном уполномоченным органом порядке. Основанием для принятия уполномоченным органом решения о продлении срока использования гранта "Агростартап" является документальное подтверждение грантополучателем наступления обстоятельств непреодолимой силы, препятствующих использованию гранта в установленный срок. В субъектах Российской Федерации, пострадавших в результате обстрелов со стороны вооруженных формирований Украины и (или) террористических актов, срок использования гранта "Агростартап" составляет не более 30 месяцев со дня его получения;
к) получение гранта "Агростартап" крестьянским (фермерским) хозяйством или индивидуальным предпринимателем, являющимся главой крестьянского (фермерского) хозяйства, ранее являвшимися получателями грантов в рамках Государственной программы, не допускается;
л) на дату, определяемую уполномоченным органом, у заявителя должны отсутствовать неисполненные обязанности по уплате налогов, сборов, страховых взносов, пеней, штрафов и процентов, подлежащих уплате в соответствии с законодательством Российской Федерации о налогах и сборах, в сумме, превышающей 10 тыс. рублей;
м) случаи, в которых допускается внесение изменений в проект создания и (или) развития хозяйства, методика оценки достижения грантополучателем плановых показателей деятельности, а также меры ответственности за недостижение плановых показателей деятельности определяются уполномоченным органом. В случае недостижения плановых показателей деятельности грантополучатель обязуется представить до 1 апреля года, следующего за годом, в котором показатель деятельности не был исполнен, письменное обоснование недостижения плановых показателей деятельности. В случае принятия уполномоченным органом решения о необходимости внесения изменений в проект создания и (или) развития хозяйства и соглашение о предоставлении средств, заключенное между грантополучателем и уполномоченным органом, глава крестьянского (фермерского) хозяйства или индивидуальный предприниматель представляет актуализированный проект создания и (или) развития хозяйства в уполномоченный орган в срок, не превышающий 45 календарных дней со дня получения соответствующего решения;
н) размер гранта "Агростартап" не может быть менее 1,5 млн. рублей. В случае если заявителем на рассмотрение региональной комиссии по отбору проектов представлен проект создания и (или) развития хозяйства, где в стоимость проекта включена сумма гранта менее 1,5 млн. рублей, такой проект создания и (или) развития хозяйства региональной комиссией по отбору проектов не рассматривается;
о) грант "Агростартап" предоставляется за счет средств бюджета того субъекта Российской Федерации, на сельской территории или территории сельской агломерации которого зарегистрирован и осуществляет деятельность грантополучатель;
п) получатели гранта "Агростартап" обеспечивают ежегодный прирост объема производства сельскохозяйственной продукции в размере не менее чем 10 процентов в течение не менее чем 5 лет с даты получения гранта (в случае реализации проектов по развитию ягодоводства - начиная со 2-го года с даты получения гранта, садоводства - начиная с 3-го года с даты получения гранта).
7. В случае призыва грантополучателя на военную службу в Вооруженные Силы Российской Федерации или введения в субъекте Российской Федерации среднего уровня реагирования в соответствии с Указом Президента Российской Федерации от 19 октября 2022 г. N 757 "О мерах, осуществляемых в субъектах Российской Федерации в связи с Указом Президента Российской Федерации от 19 октября 2022 г. N 756" (далее соответственно - призыв на военную службу, средний уровень реагирования) уполномоченный орган принимает одно из следующих решений:
признание проекта создания и (или) развития хозяйства завершенным, в случае если средства гранта "Агростартап" использованы в полном объеме, а в отношении грантополучателя в связи с призывом на военную службу осуществлена государственная регистрация прекращения деятельности в качестве индивидуального предпринимателя или государственная регистрация прекращения крестьянского (фермерского) хозяйства. При этом грантополучатель освобождается от ответственности за недостижение плановых показателей деятельности;
обеспечение возврата средств гранта "Агростартап" в бюджет субъекта Российской Федерации, из которого были перечислены средства гранта "Агростартап", в объеме неиспользованных средств гранта "Агростартап", в случае если средства гранта "Агростартап" не использованы или использованы не в полном объеме, а в отношении грантополучателя в связи с призывом на военную службу осуществлена государственная регистрация прекращения деятельности в качестве индивидуального предпринимателя или государственная регистрация прекращения крестьянского (фермерского) хозяйства. При этом проект создания и (или) развития хозяйства признается завершенным, а грантополучатель освобождается от ответственности за недостижение плановых показателей деятельности.
Указанные в абзацах втором и третьем настоящего пункта решения принимаются уполномоченным органом по заявлению грантополучателя при представлении им документа, подтверждающего призыв на военную службу, или по заявлению грантополучателя при введении в субъекте Российской Федерации среднего уровня реагирования в порядке, установленном уполномоченным органом.
Получатели гранта "Агростартап", пострадавшие в результате обстрелов со стороны вооруженных формирований Украины и (или) террористических актов, освобождаются от ответственности за недостижение плановых показателей деятельности в порядке, определяемом уполномоченным органом, при условии документального подтверждения факта причинения ущерба имуществу, которое используется для производства, первичной и (или) последующей (промышленной) переработки сельскохозяйственной продукции, в результате обстрелов со стороны вооруженных формирований Украины и (или) террористических актов.
8. В процессе реализации проекта создания и (или) развития хозяйства допускается смена главы крестьянского (фермерского) хозяйства, являющегося грантополучателем, по решению членов данного крестьянского (фермерского) хозяйства в соответствии с пунктом 1 статьи 18 Федерального закона "О крестьянском (фермерском) хозяйстве", что не влечет изменения (прекращения) статуса крестьянского (фермерского) хозяйства в качестве грантополучателя. При этом уполномоченный орган осуществляет замену главы такого крестьянского (фермерского) хозяйства в соглашении о предоставлении средств, заключенном между уполномоченным органом и грантополучателем, а новый глава крестьянского (фермерского) хозяйства осуществляет дальнейшую реализацию проекта создания и (или) развития хозяйства в соответствии с указанным соглашением.
9. Средства предоставляются сельскохозяйственным потребительским кооперативам на возмещение части понесенных в текущем финансовом году затрат:
а) связанных с приобретением имущества в целях последующей передачи (реализации) приобретенного имущества в собственность членов (кроме ассоциированных членов) сельскохозяйственного потребительского кооператива, - в размере, не превышающем 50 процентов затрат, но не более 3 млн. рублей из расчета на один сельскохозяйственный потребительский кооператив. Перечень такого имущества определяется Министерством сельского хозяйства Российской Федерации. Стоимость такого имущества, передаваемого (реализуемого) в собственность одного члена сельскохозяйственного потребительского кооператива, не может превышать 30 процентов общей стоимости этого имущества;
б) связанных с приобретением крупного рогатого скота, мелкого рогатого скота в целях замены указанных сельскохозяйственных животных, больных или инфицированных лейкозом, бруцеллезом, оспой овец, принадлежащих членам (кроме ассоциированных членов) указанного сельскохозяйственного потребительского кооператива на праве собственности, - в размере, не превышающем 50 процентов затрат, но не более 10 млн. рублей из расчета на один сельскохозяйственный потребительский кооператив. Стоимость крупного рогатого скота, передаваемого (реализуемого) в собственность одного члена сельскохозяйственного потребительского кооператива, не может превышать 30 процентов общей стоимости приобретаемого поголовья. Возраст приобретаемого крупного рогатого скота не должен превышать 2 лет. Порядок замены крупного рогатого скота, мелкого рогатого скота, больного или инфицированного лейкозом, бруцеллезом, оспой овец, принадлежащего членам (кроме ассоциированных членов) сельскохозяйственного потребительского кооператива, устанавливается уполномоченным органом;
в) связанных с приобретением и последующим внесением в неделимый фонд сельскохозяйственной техники, специализированного автотранспорта, оборудования для организации хранения, переработки, упаковки, маркировки, транспортировки и реализации сельскохозяйственной продукции и мобильных торговых объектов для оказания услуг членам сельскохозяйственного потребительского кооператива, - в размере, не превышающем 50 процентов затрат, но не более 10 млн. рублей (для субъектов Российской Федерации, входящих в состав Сибирского федерального округа, - в размере, не превышающем 60 процентов затрат, но не более 10 млн. рублей) из расчета на один сельскохозяйственный потребительский кооператив. Перечень такой техники, транспорта, оборудования и объектов определяется нормативным правовым актом высшего исполнительного органа субъекта Российской Федерации или уполномоченного органа. Срок эксплуатации таких техники, транспорта, оборудования и объектов в году получения средств не должен превышать 3 лет с года их производства. При этом источником возмещения затрат сельскохозяйственного потребительского кооператива, предусмотренных настоящим пунктом, не может быть грант "Агростартап", полученный грантополучателем.
В случае если источником затрат сельскохозяйственного потребительского кооператива, предусмотренных настоящим подпунктом, являются кредитные средства российских кредитных организаций, допускается внесение в неделимый фонд приобретенного имущества после полного погашения обязательств, предусмотренных кредитным договором, связанных с приобретением указанных в абзаце первом настоящего подпункта техники, транспорта, оборудования и объектов;
г) связанных с закупкой сельскохозяйственной продукции (кроме мяса свиней и свиней на убой) и (или) дикорастущих пищевых ресурсов у членов сельскохозяйственного потребительского кооператива (кроме ассоциированных членов) и (или) у граждан, ведущих личные подсобные хозяйства, не являющихся членами этого сельскохозяйственного потребительского кооператива, - в размере, не превышающем:
10 процентов затрат, если выручка от реализации продукции и (или) дикорастущих пищевых ресурсов, закупленных у членов сельскохозяйственного потребительского кооператива и (или) у граждан, ведущих личные подсобные хозяйства, не являющихся членами этого сельскохозяйственного потребительского кооператива, по итогам отчетного бухгалтерского периода (квартала) текущего финансового года, за который предоставляется возмещение части затрат, составляет от 100 тыс. рублей до 5000 тыс. рублей включительно;
12 процентов затрат, если выручка от реализации продукции и (или) дикорастущих пищевых ресурсов, закупленных у членов сельскохозяйственного потребительского кооператива и (или) у граждан, ведущих личные подсобные хозяйства, не являющихся членами этого сельскохозяйственного потребительского кооператива, по итогам отчетного бухгалтерского периода (квартала) текущего финансового года, за который предоставляется возмещение части затрат, составляет от 5001 тыс. рублей до 25000 тыс. рублей включительно;
15 процентов затрат, но не более 20 млн. рублей из расчета на один сельскохозяйственный потребительский кооператив, если выручка от реализации продукции и (или) дикорастущих пищевых ресурсов, закупленных у членов сельскохозяйственного потребительского кооператива и (или) у граждан, ведущих личные подсобные хозяйства, не являющихся членами этого сельскохозяйственного потребительского кооператива, по итогам отчетного бухгалтерского периода (квартала) текущего финансового года, за который предоставляется возмещение части затрат, составляет более 25000 тыс. рублей.
Выручка от реализации продукции и (или) дикорастущих пищевых ресурсов, закупленных у членов сельскохозяйственного потребительского кооператива и (или) у граждан, ведущих личные подсобные хозяйства, не являющихся членами этого сельскохозяйственного потребительского кооператива, в целях предоставления средств, предусмотренных настоящим подпунктом, рассчитывается по тому виду продукции или виду дикорастущих пищевых ресурсов, которые закуплены данным сельскохозяйственным потребительским кооперативом у своих членов и (или) у граждан, ведущих личные подсобные хозяйства, не являющихся членами этого сельскохозяйственного потребительского кооператива;
д) связанных с уплатой лизинговых платежей за приобретенные в лизинг объекты для организации хранения, переработки, упаковки, маркировки и реализации сельскохозяйственной продукции, а также оборудования для их комплектации, - в размере, не превышающем 20 процентов затрат, но не более 5 млн. рублей из расчета на один сельскохозяйственный потребительский кооператив. Перечень таких объектов и оборудования определяется нормативным правовым актом высшего исполнительного органа субъекта Российской Федерации или уполномоченного органа.
Возмещение затрат сельскохозяйственных потребительских кооперативов, указанных в подпунктах "а" - "в" настоящего пункта, за IV квартал отчетного финансового года может быть осуществлено в первом полугодии года, следующего за отчетным годом, в случае если эти затраты не возмещались ранее.
10. Средства предоставляются сельскохозяйственным потребительским кооперативам на возмещение части затрат, указанных в пункте 9 настоящих Правил, с учетом следующих условий:
а) в соответствии с подпунктом "г" пункта 9 настоящих Правил объем продукции и (или) дикорастущих пищевых ресурсов, закупленных у одного члена сельскохозяйственного потребительского кооператива и (или) гражданина, ведущего личное подсобное хозяйство, не являющегося членом этого сельскохозяйственного потребительского кооператива, не должен превышать 15 процентов всего объема продукции в стоимостном выражении, закупленной указанным сельскохозяйственным потребительским кооперативом у членов сельскохозяйственного потребительского кооператива и (или) у граждан, ведущих личные подсобные хозяйства, не являющихся членами этого сельскохозяйственного потребительского кооператива, по итогам отчетного бухгалтерского периода (квартала) текущего финансового года, за который предоставляется возмещение части затрат. В случае если объем продукции и (или) дикорастущих пищевых ресурсов, закупленных у одного члена сельскохозяйственного потребительского кооператива или у гражданина, ведущего личное подсобное хозяйство, не являющегося членом этого сельскохозяйственного потребительского кооператива, превышает 15 процентов всего объема продукции в стоимостном выражении, закупленной указанным сельскохозяйственным потребительским кооперативом у членов сельскохозяйственного потребительского кооператива и (или) у граждан, ведущих личные подсобные хозяйства, не являющихся членами этого сельскохозяйственного потребительского кооператива, по итогам отчетного бухгалтерского периода (квартала) текущего финансового года, возмещение части затрат, связанных с закупкой сельскохозяйственной продукции, осуществляется на основании расчета указанного максимального объема продукции. Возмещение части затрат сельскохозяйственных потребительских кооперативов на закупку сельскохозяйственной продукции и (или) дикорастущих пищевых ресурсов у членов сельскохозяйственного потребительского кооператива и (или) у граждан, ведущих личные подсобные хозяйства, не являющихся членами этого сельскохозяйственного потребительского кооператива, за IV квартал отчетного финансового года может быть осуществлено в первом полугодии года, следующего за отчетным годом, в случае если эти затраты не возмещались ранее. Возмещение части затрат сельскохозяйственных потребительских кооперативов на закупку сельскохозяйственной продукции и (или) дикорастущих пищевых ресурсов у членов сельскохозяйственного потребительского кооператива и (или) у граждан, ведущих личные подсобные хозяйства, не являющихся членами этого сельскохозяйственного потребительского кооператива, может осуществляться за несколько кварталов текущего финансового года, если эти затраты не возмещались ранее в текущем отчетном году;
б) приобретение имущества, транспорта, оборудования, техники и объектов, указанных в подпунктах "а" - "в" пункта 9 настоящих Правил, сельскохозяйственным потребительским кооперативом у своих членов (включая ассоциированных), в том числе бывших членов сельскохозяйственного потребительского кооператива, не допускается;
в) возмещение затрат сельскохозяйственных потребительских кооперативов, предусмотренных пунктом 9 настоящих Правил, за счет иных направлений государственной поддержки не допускается;
г) возмещение затрат, предусмотренных подпунктом "д" пункта 9 настоящих Правил, осуществляется за фактически внесенные платежи в течение срока действия договора финансовой аренды (договора лизинга);
д) размер средств, предоставляемых сельскохозяйственному потребительскому кооперативу, определяется уполномоченным органом. В случае если уполномоченный орган утверждает размер средств, предоставляемых сельскохозяйственному потребительскому кооперативу, превышающий размер, установленный в пункте 9 настоящих Правил, расходные обязательства субъекта Российской Федерации по выплате таких средств в сумме, превышающей указанный размер, из федерального бюджета не софинансируются.
11. Для целей, предусмотренных подпунктом "г" пункта 9 настоящих Правил, к сельскохозяйственной продукции относится продукция, указанная в перечне сельскохозяйственной продукции, производство, первичную и последующую (промышленную) переработку которой осуществляют сельскохозяйственные товаропроизводители, а также научные организации, профессиональные образовательные организации, образовательные организации высшего образования в процессе своей научной, научно-технической и (или) образовательной деятельности, утвержденном распоряжением Правительства Российской Федерации от 25 января 2017 г. N 79-р.
12. Получение средств сельскохозяйственными потребительскими кооперативами последующих уровней в соответствии с подпунктами "а" и "б" пункта 9 настоящих Правил не допускается. Получение средств сельскохозяйственными потребительскими кооперативами последующих уровней в соответствии с подпунктом "г" пункта 9 настоящих Правил допускается при условии, что члены таких сельскохозяйственных потребительских кооперативов последующих уровней не являются получателями средств в соответствии с подпунктом "г" пункта 9 настоящих Правил.
13. Средства предоставляются центру компетенций в сфере сельскохозяйственной кооперации и поддержки фермеров на финансовое обеспечение (возмещение) затрат, связанных с осуществлением его деятельности, в размере 5 млн. рублей (далее - минимальный объем субсидии).
Перечень затрат центра компетенций в сфере сельскохозяйственной кооперации и поддержки фермеров определяется Министерством сельского хозяйства Российской Федерации. В соглашение о предоставлении средств, заключаемое между уполномоченным органом и центром компетенций в сфере сельскохозяйственной кооперации и поддержки фермеров, включаются показатели деятельности центра компетенций в сфере сельскохозяйственной кооперации и поддержки фермеров, устанавливаемые Министерством сельского хозяйства Российской Федерации, а также указанный перечень затрат. Уполномоченным органом могут устанавливаться дополнительные показатели деятельности центра компетенций в сфере сельскохозяйственной кооперации и поддержки фермеров, включаемые в соглашение о предоставлении средств, заключаемое между уполномоченным органом и центром компетенций в сфере сельскохозяйственной кооперации и поддержки фермеров. Процедура и порядок применения мер ответственности к центру компетенций в сфере сельскохозяйственной кооперации и поддержки фермеров за недостижение всех показателей деятельности определяются уполномоченным органом.
Предоставление средств центру компетенций в сфере сельскохозяйственной кооперации и поддержки фермеров осуществляется при условии наличия утвержденной программы деятельности центра компетенций в сфере сельскохозяйственной кооперации и поддержки фермеров, включающей плановые показатели деятельности указанного центра, согласованной уполномоченным органом.
14. Средства предоставляются переработчикам на возмещение части понесенных в текущем финансовом году затрат:
а) связанных с приобретением семенного материала овощей, картофеля, посадочного материала ягодных культур, многолетних насаждений (кроме виноградников), а также сельскохозяйственной птицы, молодняка крупного рогатого скота, овец и коз в целях последующего использования в соответствии с агроконтрактом, - в размере, не превышающем 50 процентов затрат, но не более 5 млн. рублей из расчета на одного переработчика;
б) связанных с закупкой овощей открытого грунта, плодов, ягод, картофеля, молока, мяса (кроме мяса свиней), яиц, а также сельскохозяйственной птицы, крупного рогатого скота, овец и коз на убой у граждан, ведущих личные подсобные хозяйства, - в размере, не превышающем:
10 процентов затрат, - если стоимость продукции, закупленной у граждан, ведущих личные подсобные хозяйства, по итогам отчетного квартала текущего финансового года, за который предоставляется возмещение части затрат, составляет от 100 тыс. рублей до 3000 тыс. рублей включительно;
12 процентов затрат, - если стоимость продукции, закупленной у граждан, ведущих личные подсобные хозяйства, по итогам отчетного квартала текущего финансового года, за который предоставляется возмещение части затрат, составляет от 3001 тыс. рублей до 5000 тыс. рублей включительно;
15 процентов затрат, но не более 5 млн. рублей на одного переработчика, - если стоимость продукции, закупленной у граждан, ведущих личные подсобные хозяйства, по итогам отчетного квартала текущего финансового года, за который предоставляется возмещение части затрат, составляет более 5000 тыс. рублей.
Стоимость продукции, закупленной у граждан, ведущих личные подсобные хозяйства, в целях предоставления средств, предусмотренных настоящим подпунктом, рассчитывается по тому виду продукции, которая закуплена переработчиком у граждан, ведущих личные подсобные хозяйства.
15. Средства предоставляются переработчикам на возмещение части затрат, указанных в пункте 14 настоящих Правил, с учетом следующих условий:
а) возмещение части затрат переработчиков на закупку сельскохозяйственной продукции у граждан, ведущих личные подсобные хозяйства, за IV квартал отчетного финансового года может быть осуществлено в первом полугодии года, следующего за отчетным годом, в случае если эти затраты не возмещались ранее. Возмещение части затрат переработчиков на закупку сельскохозяйственной продукции у граждан, ведущих личные подсобные хозяйства, может осуществляться за несколько кварталов текущего финансового года, если эти затраты не возмещались ранее в текущем отчетном году;
б) возмещение затрат переработчиков, предусмотренных пунктом 14 настоящих Правил, за счет иных направлений государственной поддержки не допускается;
в) размер средств, предоставляемых переработчику, определяется уполномоченным органом. В случае если уполномоченный орган утверждает размер средств, предоставляемых переработчику, превышающий размер, установленный пунктом 14 настоящих Правил, расходные обязательства субъекта Российской Федерации по выплате таких средств в сумме, превышающей указанный размер, из федерального бюджета не софинансируются.
16. Заявления о предоставлении средств по направлениям, предусмотренным пунктом 5 настоящих Правил, могут быть направлены в уполномоченный орган в электронном виде в порядке, установленном Министерством сельского хозяйства Российской Федерации.
17. Субсидия предоставляется при соблюдении субъектом Российской Федерации условий, предусмотренных абзацами первым - четвертым пункта 8 Правил формирования, предоставления и распределения субсидий из федерального бюджета бюджетам субъектов Российской Федерации, утвержденных постановлением Правительства Российской Федерации от 30 сентября 2014 г. N 999 "О формировании, предоставлении и распределении субсидий из федерального бюджета бюджетам субъектов Российской Федерации" (далее - Правила формирования субсидий).
18. Критерием отбора субъектов Российской Федерации (за исключением Донецкой Народной Республики, Луганской Народной Республики, Запорожской области и Херсонской области) для предоставления субсидий является наличие правового акта высшего исполнительного органа субъекта Российской Федерации или уполномоченного органа, определяющего юридическое лицо или структурное подразделение юридического лица, зарегистрированное на территории Российской Федерации, в качестве центра компетенций в сфере сельскохозяйственной кооперации и поддержки фермеров. Сведения о наличии соответствующего правового акта представляются уполномоченным органом в Министерство сельского хозяйства Российской Федерации до 1 декабря года, предшествующего году предоставления субсидии.
19. Субсидия предоставляется на основании соглашения о предоставлении субсидии, заключаемого между Министерством сельского хозяйства Российской Федерации и высшим исполнительным органом субъекта Российской Федерации (далее - соглашение о предоставлении субсидии), подготавливаемого (формируемого) с использованием государственной интегрированной информационной системы управления общественными финансами "Электронный бюджет" в соответствии с типовой формой, утвержденной Министерством финансов Российской Федерации.
20. Размер субсидии, предоставляемой бюджету i-го субъекта Российской Федерации (Wi), определяется по формуле:
,
где:
d - коэффициент, применяемый для субъектов Российской Федерации (за исключением Донецкой Народной Республики, Луганской Народной Республики, Запорожской области и Херсонской области) в отношении количества крестьянских (фермерских) хозяйств и индивидуальных предпринимателей, а также сельскохозяйственных потребительских кооперативов в 2023 году (по сравнению с 2022 годом). Если в субъекте Российской Федерации количество крестьянских (фермерских) хозяйств и индивидуальных предпринимателей, а также сельскохозяйственных потребительских кооперативов по результатам 2023 года на основании данных Федеральной службы государственной статистики больше количества крестьянских (фермерских) хозяйств и индивидуальных предпринимателей, а также сельскохозяйственных потребительских кооперативов, зафиксированного по результатам 2022 года на основании данных Федеральной службы государственной статистики, коэффициент d равен 1,2. Если в субъекте Российской Федерации количество крестьянских (фермерских) хозяйств и индивидуальных предпринимателей, а также сельскохозяйственных потребительских кооперативов по результатам 2023 года на основании данных Федеральной службы государственной статистики меньше количества крестьянских (фермерских) хозяйств и индивидуальных предпринимателей, а также сельскохозяйственных потребительских кооперативов, зафиксированного по результатам 2022 года на основании данных Федеральной службы государственной статистики, коэффициент d равен 0,8;
Wmin - минимальный объем субсидии, предоставляемой бюджету i-го субъекта Российской Федерации в случае наличия в субъекте Российской Федерации центра компетенций в сфере сельскохозяйственной кооперации и поддержки фермеров, составляющий 5 млн. рублей;
W - общий объем бюджетных ассигнований федерального бюджета на предоставление субсидии на соответствующий финансовый год;
n - количество субъектов Российской Федерации, отвечающих условиям, указанным в пунктах 12 и 13 настоящих Правил;
Ki - доля i-го субъекта Российской Федерации в общем планируемом количестве вновь созданных крестьянских (фермерских) хозяйств и индивидуальных предпринимателей, основными видами деятельности которых являются производство и переработка сельскохозяйственной продукции, в Российской Федерации;
Zi - доля i-го субъекта Российской Федерации в общем количестве крестьянских (фермерских) хозяйств и индивидуальных предпринимателей, основными видами деятельности которых являются производство и переработка сельскохозяйственной продукции, зарегистрированных в Российской Федерации, определяемая на основании данных Федеральной службы государственной статистики по состоянию на 1 января текущего финансового года (для Донецкой Народной Республики, Луганской Народной Республики, Запорожской области и Херсонской области за количество крестьянских (фермерских) хозяйств и индивидуальных предпринимателей принимается количество индивидуальных предпринимателей, основные виды деятельности которых соответствуют кодам классов 01 "Растениеводство и животноводство, охота и предоставление соответствующих услуг в этих областях", 03 "Рыболовство и рыбоводство" Общероссийского классификатора видов экономической деятельности ОК 029-2014 (КДЕС Ред. 2), а также крестьянских (фермерских) хозяйств, осуществляющих деятельность в форме юридических лиц, на основании данных единого реестра субъектов малого и среднего предпринимательства на 10 января текущего финансового года);
Ci - доля i-го субъекта Российской Федерации в общем планируемом количестве вновь созданных сельскохозяйственных потребительских кооперативов в Российской Федерации;
Vi - доля i-го субъекта Российской Федерации в общем планируемом количестве новых членов сельскохозяйственных потребительских кооперативов, в том числе из числа личных подсобных хозяйств, в Российской Федерации;
Hi - доля i-го субъекта Российской Федерации в общем количестве сельскохозяйственных потребительских кооперативов, зарегистрированных в Российской Федерации, определяемая на основании данных Федеральной службы государственной статистики по состоянию на 1 января текущего финансового года (для Донецкой Народной Республики, Луганской Народной Республики, Запорожской области и Херсонской области за количество сельскохозяйственных потребительских кооперативов принимается количество сельскохозяйственных потребительских кооперативов на основании данных единого реестра субъектов малого и среднего предпринимательства на 10 января текущего финансового года).
21. Доля i-го субъекта Российской Федерации в общем планируемом количестве вновь созданных крестьянских (фермерских) хозяйств и индивидуальных предпринимателей, основными видами деятельности которых являются производство и переработка сельскохозяйственной продукции, в Российской Федерации (Ki) определяется по формуле:

где:
Li - количество крестьянских (фермерских) хозяйств и индивидуальных предпринимателей, основными видами деятельности которых являются производство и переработка сельскохозяйственной продукции, которое запланировано создать в i-м субъекте Российской Федерации в течение года предоставления субсидии, определяемое на основании данных уполномоченного органа;
Yi - предельный уровень софинансирования расходного обязательства i-го субъекта Российской Федерации из федерального бюджета на очередной финансовый год (в процентах), определяемый в соответствии с пунктом 13 Правил формирования субсидий;
k - коэффициент увеличения показателя i-го субъекта Российской Федерации. Для Республики Крым, г. Севастополя, субъектов Российской Федерации, входящих в состав Дальневосточного федерального округа, Донецкой Народной Республики, Луганской Народной Республики, Запорожской области и Херсонской области значение коэффициента равно 1,2, для других субъектов Российской Федерации - 1.
22. Доля i-го субъекта Российской Федерации в общем количестве крестьянских (фермерских) хозяйств и индивидуальных предпринимателей, основными видами деятельности которых являются производство и переработка сельскохозяйственной продукции, зарегистрированных в Российской Федерации (Zi), определяется на основании данных Федеральной службы государственной статистики по состоянию на 1 января текущего финансового года по формуле:

где Di - количество крестьянских (фермерских) хозяйств и индивидуальных предпринимателей, основными видами деятельности которых являются производство и переработка сельскохозяйственной продукции, зарегистрированных в i-м субъекте Российской Федерации, определяемое на основании данных Федеральной службы государственной статистики по состоянию на 1 января текущего финансового года (для Донецкой Народной Республики, Луганской Народной Республики, Запорожской области и Херсонской области за количество крестьянских (фермерских) хозяйств и индивидуальных предпринимателей принимается количество индивидуальных предпринимателей, основные виды деятельности которых соответствуют кодам классов 01 "Растениеводство и животноводство, охота и предоставление соответствующих услуг в этих областях", 03 "Рыболовство и рыбоводство" Общероссийского классификатора видов экономической деятельности ОК 029-2014 (КДЕС Ред. 2), а также крестьянских (фермерских) хозяйств, осуществляющих деятельность в форме юридических лиц, на основании данных единого реестра субъектов малого и среднего предпринимательства на 10 января текущего финансового года).
23. Доля i-го субъекта Российской Федерации в общем планируемом количестве вновь созданных сельскохозяйственных потребительских кооперативов в Российской Федерации (Ci) определяется по формуле:

где Si - количество сельскохозяйственных потребительских кооперативов, которое запланировано создать в i-м субъекте Российской Федерации в течение года предоставления субсидии, определяемое на основании данных уполномоченного органа.
24. Доля i-го субъекта Российской Федерации в общем планируемом количестве новых членов сельскохозяйственных потребительских кооперативов, в том числе из числа личных подсобных хозяйств, в Российской Федерации (Vi) определяется по формуле:

где Fi - количество новых членов сельскохозяйственных потребительских кооперативов, в том числе из числа личных подсобных хозяйств, которое запланировано вовлечь в сельскохозяйственные потребительские кооперативы в i-м субъекте Российской Федерации в течение года предоставления субсидии, на основании данных уполномоченного органа.
25. Доля i-го субъекта Российской Федерации в общем количестве сельскохозяйственных потребительских кооперативов, зарегистрированных в Российской Федерации (Hi), определяется на основании данных Федеральной службы государственной статистики по состоянию на 1 января текущего финансового года по формуле:

где Xi - количество сельскохозяйственных потребительских кооперативов, зарегистрированных в i-м субъекте Российской Федерации, определяемое на основании данных Федеральной службы государственной статистики по состоянию на 1 января текущего финансового года (для Донецкой Народной Республики, Луганской Народной Республики, Запорожской области и Херсонской области за количество сельскохозяйственных потребительских кооперативов принимается количество сельскохозяйственных потребительских кооперативов на основании данных единого реестра субъектов малого и среднего предпринимательства на 10 января текущего финансового года).
26. Расчетный размер субсидии, направляемой на предоставление грантов "Агростартап" в соответствующем финансовом году, равен 60 процентам размера субсидии, рассчитанного бюджету i-го субъекта Российской Федерации в соответствии с пунктом 20 настоящих Правил, за вычетом минимального объема субсидии.
Минимальный размер субсидии, предоставляемой бюджету i-го субъекта Российской Федерации на предоставление грантов "Агростартап", должен соответствовать минимальному размеру гранта "Агростартап", указанному в подпункте "н" пункта 6 настоящих Правил.
27. Перераспределение бюджетных ассигнований бюджета субъекта Российской Федерации на исполнение расходных обязательств, в целях софинансирования которых предоставляется субсидия, между направлениями, предусмотренными пунктом 5 настоящих Правил, и затратами, указанными в пункте 9 настоящих Правил, допускается при условии достижения результатов использования субсидии, предусмотренных пунктом 34 настоящих Правил, при согласовании такого перераспределения Министерством сельского хозяйства Российской Федерации. При этом объем бюджетных ассигнований бюджета субъекта Российской Федерации, перераспределяемый субъектом Российской Федерации между направлениями, предусмотренными пунктом 5 настоящих Правил, и затратами, указанными в пункте 9 настоящих Правил, не может превышать 20 процентов размера субсидии, рассчитанного в соответствии с пунктом 20 настоящих Правил, за вычетом минимального объема субсидии, а также в соответствии с пунктом 26 настоящих Правил.
Минимальный объем субсидии может быть полностью направлен субъектом Российской Федерации на увеличение финансирования направлений, предусмотренных пунктом 5 настоящих Правил, и (или) на возмещение части затрат, указанных в пункте 9 настоящих Правил.
Соответствующее предложение о перераспределении направляется уполномоченным органом в Министерство сельского хозяйства Российской Федерации не позднее 1 октября года предоставления субсидии.
Решение о перераспределении принимается Министерством сельского хозяйства Российской Федерации по предложению, направляемому уполномоченным органом.
Перераспределение бюджетных ассигнований бюджета субъекта Российской Федерации на финансовое обеспечение (возмещение) затрат, предусмотренных пунктом 13 настоящих Правил, возможно в сумме, не превышающей 10 процентов размера субсидии, рассчитанного в соответствии с пунктом 20 настоящих Правил, за вычетом минимального объема субсидии, а также в соответствии с пунктом 26 настоящих Правил.
28. В случае если по состоянию на 1 июля текущего финансового года отношение объема средств, предоставленных в текущем финансовом году из бюджета субъекта Российской Федерации получателям средств, к общему размеру субсидии, предоставленной указанному субъекту Российской Федерации, составляет 50 процентов и менее, при расчете субсидии на очередной финансовый год к размеру субсидии субъекта Российской Федерации, рассчитанному в соответствии с пунктом 20 настоящих Правил, Министерство сельского хозяйства Российской Федерации применяет коэффициент q, равный 0,8.
Высвобождающиеся средства в результате применения коэффициента q подлежат распределению в соответствии с настоящими Правилами на предоставление грантов "Агростартап".
29. В случае выделения дополнительных бюджетных ассигнований федерального бюджета в текущем финансовом году на предоставление субсидии на цели, указанные в пункте 1 настоящих Правил, их распределение осуществляется между бюджетами субъектов Российской Федерации, имеющих дополнительную потребность в субсидии, пропорционально удельному весу дополнительной потребности субъекта Российской Федерации в субсидии на указанные цели в общем объеме дополнительной потребности субъектов Российской Федерации в субсидиях на указанные цели.
Информация о дополнительной потребности в субсидии формируется на основании письменных обращений уполномоченных органов в Министерство сельского хозяйства Российской Федерации.
Размер предоставляемой в соответствии с абзацем первым настоящего пункта бюджету субъекта Российской Федерации субсидии не может быть более заявленной субъектом Российской Федерации дополнительной потребности в такой субсидии.
30. В случае отсутствия у субъекта Российской Федерации в текущем финансовом году потребности в субсидии невостребованные бюджетные ассигнования на предоставление субсидии перераспределяются пропорционально между субъектами Российской Федерации, имеющими право на получение субсидий в соответствии с настоящими Правилами, на основании письменных обращений уполномоченных органов, представленных в Министерство сельского хозяйства Российской Федерации до 1 сентября текущего финансового года, в случаях и порядке, которые предусмотрены бюджетным законодательством Российской Федерации.
31. Перечисление субсидий осуществляется в установленном порядке на единые счета бюджетов, открытые финансовым органам субъектов Российской Федерации в территориальных органах Федерального казначейства.
32. Уполномоченный орган представляет в Министерство сельского хозяйства Российской Федерации следующие документы:
а) выписка из закона субъекта Российской Федерации о бюджете субъекта Российской Федерации (сводной бюджетной росписи бюджета субъекта Российской Федерации), подтверждающая наличие в бюджете субъекта Российской Федерации утвержденных бюджетных ассигнований на финансовое обеспечение указанных в пункте 1 настоящих Правил расходных обязательств субъекта Российской Федерации, - в срок, устанавливаемый Министерством сельского хозяйства Российской Федерации;
б) документ, содержащий информацию об использовании средств бюджетов субъектов Российской Федерации, которым предоставляется субсидия, с приложением перечня получателей средств - по форме и в срок, которые устанавливаются Министерством сельского хозяйства Российской Федерации;
в) отчет о финансово-экономическом состоянии получателей средств - по форме и в срок, которые устанавливаются Министерством сельского хозяйства Российской Федерации.
33. Уполномоченные органы размещают в сроки, установленные соглашением о предоставлении субсидии, в государственной интегрированной информационной системе управления общественными финансами "Электронный бюджет" отчетность об осуществлении расходов бюджета субъекта Российской Федерации, в целях софинансирования которых предоставляется субсидия, а также о достижении значений результатов использования субсидии.
34. Для оценки эффективности использования субсидии применяются следующие результаты использования субсидии:
а) крестьянскими (фермерскими) хозяйствами реализованы проекты за счет средств гранта "Агростартап", обеспечившие не менее чем в течение 5 лет с даты его получения прирост объема производства сельскохозяйственной продукции (единиц);
б) обеспечено развитие сельскохозяйственных потребительских кооперативов и переработчиков с целью прироста объема реализации сельскохозяйственной продукции (единиц);
в) субъектам малого и среднего предпринимательства в агропромышленном комплексе, гражданам, ведущим личные подсобные хозяйства, оказаны информационно-консультационные услуги центрами компетенций в сфере сельскохозяйственной кооперации и поддержки фермеров (единиц).
35. Оценка эффективности использования субсидии по результатам использования субсидии, предусмотренным пунктом 34 настоящих Правил, осуществляется на основании отчета об эффективности использования субсидии по форме и в срок, которые устанавливаются Министерством сельского хозяйства Российской Федерации.
36. Эффективность использования субсидии оценивается ежегодно Министерством сельского хозяйства Российской Федерации на основании интегральной оценки достижения значений результатов использования субсидии, предусмотренных соглашением о предоставлении субсидии, в соответствии с методикой, утверждаемой Министерством.
37. В случае если при формировании проекта федерального закона о федеральном бюджете на очередной финансовый год и плановый период субъектом Российской Федерации до 10 августа текущего финансового года представлено в Министерство сельского хозяйства Российской Федерации обращение, содержащее информацию об отсутствии частичной или полной потребности в субсидии, невостребованная субсидия распределяется между бюджетами других субъектов Российской Федерации, имеющих право на получение субсидии в соответствии с настоящими Правилами, в случаях и порядке, которые предусмотрены бюджетным законодательством Российской Федерации.
38. В случае нарушения целей, установленных при предоставлении субсидии, применяются бюджетные меры принуждения в соответствии с бюджетным законодательством Российской Федерации.
Основания и порядок применения мер финансовой ответственности к субъекту Российской Федерации в случае невыполнения им условий, предусмотренных соглашением о предоставлении субсидии, в том числе обязательств, касающихся достижения значений результатов использования субсидии, а также основания для освобождения субъекта Российской Федерации от применения мер финансовой ответственности установлены пунктами 16 - 18 и 20 Правил формирования субсидий.
39. Ответственность за достоверность представляемых в Министерство сельского хозяйства Российской Федерации сведений и соблюдение условий, предусмотренных настоящими Правилами и соглашением о предоставлении субсидии, возлагается на уполномоченный орган.
40. Контроль за соблюдением субъектами Российской Федерации условий предоставления субсидий осуществляется Министерством сельского хозяйства Российской Федерации и уполномоченными органами государственного финансового контроля.
Приложение N 7
к Государственной программе развития
сельского хозяйства и регулирования
рынков сельскохозяйственной продукции,
сырья и продовольствия
ПРАВИЛА
ПРЕДОСТАВЛЕНИЯ И РАСПРЕДЕЛЕНИЯ СУБСИДИЙ
ИЗ ФЕДЕРАЛЬНОГО БЮДЖЕТА БЮДЖЕТАМ СУБЪЕКТОВ РОССИЙСКОЙ
ФЕДЕРАЦИИ НА ПОДДЕРЖКУ СЕЛЬСКОХОЗЯЙСТВЕННОГО ПРОИЗВОДСТВА
ПО ОТДЕЛЬНЫМ ПОДОТРАСЛЯМ РАСТЕНИЕВОДСТВА И ЖИВОТНОВОДСТВА
Утратили силу с 1 января 2024 года. - Постановление Правительства РФ от 02.12.2023 N 2065.
Приложение N 8
к Государственной программе развития
сельского хозяйства и регулирования
рынков сельскохозяйственной продукции,
сырья и продовольствия
ПРАВИЛА
ПРЕДОСТАВЛЕНИЯ И РАСПРЕДЕЛЕНИЯ СУБСИДИЙ ИЗ ФЕДЕРАЛЬНОГО
БЮДЖЕТА БЮДЖЕТАМ СУБЪЕКТОВ РОССИЙСКОЙ ФЕДЕРАЦИИ НА ПОДДЕРЖКУ
ПРИОРИТЕТНЫХ НАПРАВЛЕНИЙ АГРОПРОМЫШЛЕННОГО КОМПЛЕКСА
И РАЗВИТИЕ МАЛЫХ ФОРМ ХОЗЯЙСТВОВАНИЯ
1. Настоящие Правила устанавливают цели, условия и порядок предоставления и распределения субсидий из федерального бюджета бюджетам субъектов Российской Федерации в целях софинансирования расходных обязательств, направленных на поддержку приоритетных направлений агропромышленного комплекса и развитие малых форм хозяйствования (далее - субсидии).
2. Используемые в настоящих Правилах понятия означают следующее:
а) "агротехнологические работы" - комплекс мероприятий по обработке почв, внесению удобрений, подготовке семян и посадочного материала, посеву и посадке (включая стоимость семян и посадочного материала), уходу за посевами, а также по уборке урожая;
б) "грант "Агропрогресс" - средства, предоставляемые из бюджета субъекта Российской Федерации и (или) местного бюджета в соответствии с решением региональной комиссии по отбору проектов сельскохозяйственным товаропроизводителям (за исключением крестьянских (фермерских) хозяйств, граждан, ведущих личное подсобное хозяйство, индивидуальных предпринимателей, являющихся главами крестьянских (фермерских) хозяйств, и сельскохозяйственных потребительских кооперативов), отвечающим критериям субъекта микропредприятия или малого предприятия и включенным в единый реестр субъектов малого и среднего предпринимательства в соответствии с Федеральным законом "О развитии малого и среднего предпринимательства в Российской Федерации", осуществляющим деятельность на сельской территории или на территории сельской агломерации субъекта Российской Федерации, осуществляющим деятельность более 24 месяцев с даты регистрации (далее - получатели гранта "Агропрогресс"), для финансового обеспечения затрат, не возмещаемых в рамках иных направлений государственной поддержки, предусмотренных Государственной программой развития сельского хозяйства и регулирования рынков сельскохозяйственной продукции, сырья и продовольствия, утвержденной постановлением Правительства Российской Федерации от 14 июля 2012 г. N 717 "О Государственной программе развития сельского хозяйства и регулирования рынков сельскохозяйственной продукции, сырья и продовольствия" (далее - Государственная программа), в целях реализации проекта "Агропрогресс" на сельских территориях и территориях сельских агломераций субъекта Российской Федерации;
в) "грант на развитие материально-технической базы" - средства, предоставляемые не более двух раз из бюджета субъекта Российской Федерации и (или) местного бюджета в соответствии с решением региональной комиссии по отбору проектов сельскохозяйственному потребительскому кооперативу или начинающему сельскохозяйственному потребительскому кооперативу для финансового обеспечения его затрат, не возмещаемых в рамках иных направлений государственной поддержки, предусмотренных Государственной программой, в целях реализации проекта грантополучателя и трудоустройства на постоянную работу новых работников исходя из расчета трудоустройства на постоянную работу не менее одного нового работника на каждые 10 млн. рублей гранта, но не менее одного нового работника на один грант, в срок, определяемый субъектом Российской Федерации, но не позднее 24 месяцев со дня предоставления гранта. Приобретение имущества у члена такого кооператива (включая ассоциированных членов) за счет средств гранта не допускается. Имущество, приобретенное в целях развития материально-технической базы за счет средств гранта, вносится в неделимый фонд кооператива.
Средства гранта на развитие материально-технической базы могут направляться на осуществление следующих расходов:
приобретение, строительство, капитальный ремонт, реконструкция или модернизация производственных объектов, в том числе приобретение и монтаж модульных производственных объектов, по заготовке, хранению, подработке, переработке, сортировке, убою, первичной переработке, подготовке к реализации и реализации сельскохозяйственной продукции, пищевых лесных ресурсов и продуктов переработки указанной продукции и пищевых лесных ресурсов;
приобретение и монтаж оборудования для производственных объектов, предназначенных для заготовки, хранения, подработки, переработки, сортировки, убоя, первичной переработки, охлаждения, подготовки к реализации, погрузки, разгрузки сельскохозяйственной продукции, транспортировки и реализации пищевых лесных ресурсов и продуктов переработки указанной продукции и пищевых лесных ресурсов. Перечень указанного оборудования утверждается высшим исполнительным органом субъекта Российской Федерации или исполнительным органом субъекта Российской Федерации, уполномоченным высшим исполнительным органом субъекта Российской Федерации (далее - уполномоченный орган);
приобретение и монтаж оборудования для рыбоводной инфраструктуры и товарной аквакультуры (товарного рыбоводства). Перечень указанного оборудования утверждается высшим исполнительным органом субъекта Российской Федерации или уполномоченным органом;
приобретение и монтаж оборудования для производственных объектов, предназначенных для первичной переработки льна и (или) технической конопли. Перечень указанного оборудования утверждается высшим исполнительным органом субъекта Российской Федерации или уполномоченным органом;
доставка оборудования, указанного в абзацах четвертом - шестом и одиннадцатом настоящего подпункта, в случае если сельскохозяйственный потребительский кооператив осуществляет деятельность в субъектах Российской Федерации, входящих в состав Сибирского федерального округа (далее - субъекты Сибирского федерального округа), субъектах Российской Федерации, относящихся к районам Крайнего Севера и местностям, приравненным к районам Крайнего Севера, предусмотренным перечнем районов Крайнего Севера и местностей, приравненных к районам Крайнего Севера, в целях предоставления государственных гарантий и компенсаций для лиц, работающих и проживающих в этих районах и местностях, утвержденным постановлением Правительства Российской Федерации от 16 ноября 2021 г. N 1946 "Об утверждении перечня районов Крайнего Севера и местностей, приравненных к районам Крайнего Севера, в целях предоставления государственных гарантий и компенсаций для лиц, работающих и проживающих в этих районах и местностях, признании утратившими силу некоторых актов Правительства Российской Федерации и признании не действующими на территории Российской Федерации некоторых актов Совета Министров СССР" (далее - районы Крайнего Севера и приравненные к ним местности);
погашение не более 20 процентов привлекаемого на реализацию проекта грантополучателя льготного инвестиционного кредита в соответствии с Правилами предоставления из федерального бюджета субсидий российским кредитным организациям, международным финансовым организациям и государственной корпорации развития "ВЭБ.РФ" на возмещение недополученных ими доходов по кредитам, выданным сельскохозяйственным товаропроизводителям (за исключением сельскохозяйственных кредитных потребительских кооперативов), организациям и индивидуальным предпринимателям, осуществляющим производство, первичную и (или) последующую (промышленную) переработку сельскохозяйственной продукции и ее реализацию, по льготной ставке, утвержденными постановлением Правительства Российской Федерации от 29 декабря 2016 г. N 1528 "Об утверждении Правил предоставления из федерального бюджета субсидий российским кредитным организациям, международным финансовым организациям и государственной корпорации развития "ВЭБ.РФ" на возмещение недополученных ими доходов по кредитам, выданным сельскохозяйственным товаропроизводителям (за исключением сельскохозяйственных кредитных потребительских кооперативов), организациям и индивидуальным предпринимателям, осуществляющим производство, первичную и (или) последующую (промышленную) переработку сельскохозяйственной продукции и ее реализацию, по льготной ставке" (далее - Правила льготного кредитования);
уплата процентов по кредиту, указанному в абзаце восьмом настоящего подпункта, в течение 18 месяцев со дня получения гранта на развитие материально-технической базы;
погашение не более 20 процентов основного долга по займу, полученному на реализацию проекта грантополучателя в сельскохозяйственном потребительском кредитном кооперативе;
приобретение автономных источников электро- и газоснабжения, обустройство автономных источников водоснабжения, включая приобретение и монтаж газопоршневых установок. Перечень указанного оборудования утверждается высшим исполнительным органом субъекта Российской Федерации или уполномоченным органом;
г) "грант на развитие семейной фермы" - средства, предоставляемые не более двух раз из бюджета субъекта Российской Федерации и (или) местного бюджета в соответствии с решением региональной комиссии по отбору проектов семейной ферме для финансового обеспечения ее затрат, не возмещаемых в рамках иных направлений государственной поддержки, предусмотренных Государственной программой, в целях развития на сельских территориях и на территориях сельских агломераций субъекта Российской Федерации малого и среднего предпринимательства, реализации проекта грантополучателя и трудоустройства на постоянную работу новых работников исходя из расчета трудоустройства на постоянную работу не менее одного нового работника на каждые 10 млн. рублей гранта, но не менее одного нового работника на один грант, в срок, определяемый субъектом Российской Федерации, но не позднее 24 месяцев со дня предоставления гранта.
Средства гранта на развитие семейной фермы направляются на осуществление следующих расходов:
приобретение земельных участков из земель сельскохозяйственного назначения, находящихся в муниципальной собственности;
разработка проектной документации строительства, реконструкции или модернизации объектов для производства, хранения и переработки сельскохозяйственной продукции. Размер гранта на развитие семейной фермы, направляемого на разработку указанной проектной документации, не может превышать 3 млн. рублей;
приобретение, строительство, реконструкция, капитальный ремонт или модернизация объектов, в том числе приобретение и монтаж модульных производственных объектов, для производства, хранения и переработки сельскохозяйственной продукции;
комплектация объектов для производства, хранения и переработки сельскохозяйственной продукции оборудованием и его монтаж, включая автономные источники электро- и газоснабжения, обустройство автономных источников водоснабжения. Перечень указанного оборудования утверждается высшим исполнительным органом субъекта Российской Федерации или уполномоченным органом;
приобретение и монтаж газопоршневых установок;
погашение не более 20 процентов привлекаемого на реализацию проекта грантополучателя льготного инвестиционного кредита в соответствии с Правилами льготного кредитования;
уплата процентов по кредиту, указанному в абзаце восьмом настоящего подпункта, в течение 18 месяцев со дня получения гранта на развитие семейной фермы;
погашение не более 20 процентов займа, полученного в сельскохозяйственном потребительском кредитном кооперативе на реализацию проекта грантополучателя;
уплата расходов, связанных с доставкой имущества, указанного в абзацах шестом и седьмом настоящего подпункта, в случае если семейная ферма осуществляет деятельность в субъектах Сибирского федерального округа и в районах Крайнего Севера и приравненных к ним местностях;
д) "малые формы хозяйствования" - крестьянские (фермерские) хозяйства, созданные в соответствии с Федеральным законом "О крестьянском (фермерском) хозяйстве", и сельскохозяйственные кооперативы (за исключением сельскохозяйственных кредитных потребительских кооперативов), созданные в соответствии с Федеральным законом "О сельскохозяйственной кооперации", без ограничений по годовому доходу, граждане, ведущие личные подсобные хозяйства в соответствии с Федеральным законом "О личном подсобном хозяйстве" и применяющие специальный налоговый режим "Налог на профессиональный доход", хозяйственные общества, хозяйственные партнерства и индивидуальные предприниматели, осуществляющие производство и переработку сельскохозяйственной продукции, пищевых лесных ресурсов и продукции их переработки, а также производственные кооперативы (за исключением сельскохозяйственных кооперативов), осуществляющие закупку сельскохозяйственного сырья, годовой доход которых за отчетный финансовый год составляет не более 200 млн. рублей;
е) "многолетние насаждения" - насаждения семечковых, косточковых, орехоплодных, субтропических, ягодных культур (далее - плодовые и ягодные культуры), насаждения хмеля, а также питомники плодовых и ягодных культур и питомники хмеля;
ж) "научные и образовательные организации" - научные организации, профессиональные образовательные организации, образовательные организации высшего образования, которые в процессе научной, научно-технической и (или) образовательной деятельности осуществляют производство сельскохозяйственной продукции, ее первичную и последующую (промышленную) переработку в соответствии с перечнем, указанным в части 1 статьи 3 Федерального закона "О развитии сельского хозяйства";
з) "начинающий сельскохозяйственный потребительский кооператив" - сельскохозяйственный потребительский кооператив, действующий менее 12 месяцев со дня регистрации, зарегистрированный на сельской территории или на территории сельской агломерации, осуществляющий деятельность по заготовке, хранению, подработке, переработке, сортировке, убою, первичной переработке, охлаждению, подготовке к реализации, транспортировке и реализации сельскохозяйственной продукции, пищевых лесных ресурсов, а также продуктов переработки указанной продукции;
и) "питомник" - многолетние насаждения, в том числе маточные насаждения плодовых и ягодных культур, возделываемые в целях получения посадочного материала;
к) "плановые показатели деятельности" - включаемые в проект грантополучателя и проект "Агропрогресс" производственные и экономические показатели, в том числе объем производства и реализации сельскохозяйственной продукции, выраженный в натуральных и денежных показателях, увеличение членской базы сельскохозяйственного потребительского кооператива или начинающего сельскохозяйственного потребительского кооператива, получившего грант, предусмотренный подпунктом "в" настоящего пункта, количество новых работников, трудоустроенных на постоянную работу, сведения о которых подтверждаются справкой налогового органа (за исключением проекта "Агропрогресс"), сохранение созданных рабочих мест в течение не менее чем 5 лет с даты получения гранта (за исключением проекта "Агропрогресс"), а также сохранение количества наемных работников, трудоустроенных у получателей гранта "Агропрогресс" по состоянию на 1 января года предоставления гранта "Агропрогресс". Внесение изменений в плановые показатели деятельности осуществляется в порядке, установленном уполномоченным органом;
л) "покупатели семян, произведенных в рамках Федеральной научно-технической программы" - юридические лица, зарегистрированные в едином государственном реестре юридических лиц, физические лица, зарегистрированные в установленном порядке и осуществляющие предпринимательскую деятельность без образования юридического лица, соответствующие требованиям, установленным статьей 3 Федерального закона "О развитии сельского хозяйства", и (или) организации и индивидуальные предприниматели, осуществляющие первичную и (или) последующую (промышленную) переработку сельскохозяйственной продукции в соответствии с перечнем, указанным в части 1 статьи 3 Федерального закона "О развитии сельского хозяйства", которые приобрели семена, произведенные в рамках Федеральной научно-технической программы развития сельского хозяйства на 2017 - 2030 годы, утвержденной постановлением Правительства Российской Федерации от 25 августа 2017 г. N 996 "Об утверждении Федеральной научно-технической программы развития сельского хозяйства на 2017 - 2030 годы" (далее - Федеральная научно-техническая программа);
м) "проект "Агропрогресс" - документ (бизнес-план), представляемый в уполномоченный орган в порядке и по форме, которые установлены уполномоченным органом, включающий перечень расходов гранта "Агропрогресс", согласованный уполномоченным органом и кредитной организацией, в которой планируется получение средств привлекаемого на реализацию проекта инвестиционного кредита. Перечень приобретаемого имущества и выполняемых работ в рамках проекта "Агропрогресс", а также процедура согласования перечня затрат устанавливаются уполномоченным органом. Получатель гранта "Агропрогресс" проводит операции по расходованию гранта "Агропрогресс" исключительно с согласия уполномоченного органа;
н) "проект грантополучателя" - документ (бизнес-план), представляемый в уполномоченный орган в порядке и по форме, которые установлены уполномоченным органом, в который включаются направления расходов и условия использования грантов, предусмотренные подпунктами "в" и "г" настоящего пункта, а также плановые показатели деятельности, обязательство по исполнению которых включается в соглашение о предоставлении гранта;
о) "производство семян" - технологический процесс по размножению семян из исходного семенного материала на территории Российской Федерации;
п) "региональная комиссия по отбору проектов" - комиссия, создаваемая высшим исполнительным органом субъекта Российской Федерации или уполномоченным органом, не менее 50 процентов членов которой составляют члены, не являющиеся государственными или муниципальными служащими, осуществляющая отбор проектов грантополучателей и проектов "Агропрогресс" в форме очного собеседования и (или) видео-конференц-связи с учетом первоочередного отбора проектов грантополучателей, ранее не получавших гранты в рамках Государственной программы;
р) "сад интенсивного типа" - сады семечковые, косточковые с соблюдением сорто-подвойных комбинаций и с плотностью посадки от 800 растений на 1 гектар и более;
с) "сельские агломерации" - примыкающие друг к другу сельские территории и граничащие с сельскими территориями поселки городского типа и (или) малые города. Численность населения, постоянно проживающего на территории каждого населенного пункта, входящего в состав сельской агломерации, не может превышать 30 тыс. человек. Под примыкающими друг к другу сельскими территориями понимаются сельские территории, имеющие смежные границы муниципальных образований. Перечень сельских агломераций на территории субъекта Российской Федерации определяется высшим исполнительным органом субъекта Российской Федерации или уполномоченным органом. В указанное понятие не входят внутригородские муниципальные образования гг. Москвы и Санкт-Петербурга;
т) "сельские территории" - сельские поселения или сельские поселения и межселенные территории, объединенные общей территорией в границах муниципального района, сельские населенные пункты, входящие в состав городских поселений, муниципальных округов, городских округов (за исключением городских округов, на территориях которых находятся административные центры субъектов Российской Федерации), сельские населенные пункты, входящие в состав внутригородских муниципальных образований г. Севастополя, рабочие поселки, наделенные статусом городских поселений, рабочие поселки, входящие в состав городских поселений, муниципальных округов, городских округов (за исключением городских округов, на территориях которых находятся административные центры субъектов Российской Федерации). Перечень таких сельских населенных пунктов и рабочих поселков на территории субъекта Российской Федерации определяется высшим исполнительным органом субъекта Российской Федерации или уполномоченным органом. В указанное понятие не входят внутригородские муниципальные образования гг. Москвы и Санкт-Петербурга;
у) "сельскохозяйственный потребительский кооператив" - сельскохозяйственный потребительский перерабатывающий и (или) сбытовой кооператив, созданный и осуществляющий деятельность в соответствии с Федеральным законом "О сельскохозяйственной кооперации", или потребительское общество (кооператив), созданное в соответствии с Федеральным законом "О потребительской кооперации (потребительских обществах, их союзах) в Российской Федерации", 70 процентов выручки которого формируется за счет осуществления видов деятельности по заготовке, хранению, переработке и сбыту сельскохозяйственной продукции, действующие не менее 12 месяцев со дня их регистрации, зарегистрированные на сельской территории или на территории сельской агломерации, осуществляющие деятельность по заготовке, хранению, подработке, переработке, сортировке, убою, первичной переработке, охлаждению, подготовке к реализации, транспортировке и реализации сельскохозяйственной продукции, пищевых лесных ресурсов, а также продуктов переработки указанной продукции, объединяющие не менее 10 сельскохозяйственных товаропроизводителей на правах членов кооперативов (кроме ассоциированного членства);
ф) "семейная ферма" - крестьянское (фермерское) хозяйство, число членов которого составляет 2 (включая главу крестьянского (фермерского) хозяйства) и более членов семьи (объединенных родством и (или) свойством) главы крестьянского (фермерского) хозяйства, или индивидуальный предприниматель, являющийся главой крестьянского (фермерского) хозяйства, в состав членов которого входят 2 и более членов семьи (объединенных родством и (или) свойством) указанного индивидуального предпринимателя, зарегистрированные гражданином Российской Федерации на сельской территории или на территории сельской агломерации субъекта Российской Федерации, осуществляющие деятельность более 12 месяцев с даты регистрации, осуществляющие деятельность на сельской территории или территории сельской агломерации субъекта Российской Федерации;
х) "субъекты Российской Федерации с низким уровнем социально-экономического развития" - Республика Адыгея, Республика Алтай, Республика Калмыкия, Республика Карелия, Республика Марий Эл, Республика Тыва, Чувашская Республика, Алтайский край, Курганская область и Псковская область;
ц) "техническое перевооружение" - комплекс мероприятий по повышению технико-экономических показателей основных средств или их отдельных частей на основе внедрения передовой техники и технологии, механизации и автоматизации производства, модернизации и замены морально устаревшего и физически изношенного оборудования новым, более производительным, включая приобретение машин, оборудования, устройств, применяемых для сельскохозяйственного производства.
3. Субсидии предоставляются в целях софинансирования расходных обязательств субъектов Российской Федерации по предоставлению средств из бюджета субъекта Российской Федерации получателям средств, указанным в пункте 7 настоящих Правил (далее - получатели средств), возникающих при реализации мероприятий государственных программ (подпрограмм) субъектов Российской Федерации, направленных на развитие агропромышленного комплекса, и (или) предоставления субсидий из бюджета субъекта Российской Федерации местным бюджетам в целях софинансирования расходных обязательств муниципальных образований, расположенных на территории субъекта Российской Федерации, по предоставлению средств из местных бюджетов получателям средств, возникающих при реализации муниципальных программ, направленных на развитие агропромышленного комплекса, (далее соответственно - региональные программы, средства), на финансовое обеспечение (возмещение) части затрат (без учета налога на добавленную стоимость), связанных с производством и реализацией продукции сельского хозяйства, заготовкой, хранением, подработкой, переработкой, сортировкой, первичной переработкой, подготовкой к реализации, реализацией пищевых лесных ресурсов в рамках приоритетных направлений агропромышленного комплекса субъекта Российской Федерации, указанных в пункте 5 настоящих Правил. Средства предоставляются на финансовое обеспечение (возмещение) части затрат, понесенных получателями средств в текущем финансовом году, а также на возмещение части затрат, понесенных получателями средств в текущем финансовом году и (или) предшествующем финансовом году (за исключением средств, предоставляемых в соответствии с абзацами вторым и восьмым - десятым подпункта "л" пункта 5 настоящих Правил).
Для получателей средств, использующих право на освобождение от исполнения обязанностей налогоплательщика, связанных с исчислением и уплатой налога на добавленную стоимость, финансовое обеспечение (возмещение) части затрат осуществляется исходя из суммы расходов на приобретение товаров (работ, услуг), включая сумму налога на добавленную стоимость.
Возмещение части прямых понесенных затрат на создание и (или) модернизацию объектов агропромышленного комплекса, а также на приобретение и ввод в промышленную эксплуатацию маркировочного оборудования для внедрения обязательной маркировки отдельных видов молочной продукции, а также возмещение части прямых понесенных затрат на создание и (или) модернизацию объектов по переработке сельскохозяйственной продукции по проекту грантополучателя или проекту "Агропрогресс", на реализацию которого были предоставлены средства в соответствии с подпунктом "л" пункта 5 настоящих Правил, в рамках Государственной программы, а также в соответствии с иными нормативными правовыми актами Российской Федерации не допускается.
4. Субсидии предоставляются в пределах лимитов бюджетных обязательств, доведенных до Министерства сельского хозяйства Российской Федерации как получателя средств федерального бюджета на предоставление субсидии на цели, указанные в пункте 3 настоящих Правил.
5. Средства предоставляются по приоритетным направлениям:
а) на поддержку проведения агротехнологических работ, повышение уровня экологической безопасности сельскохозяйственного производства, а также на повышение плодородия и качества почв - по ставке на 1 гектар посевной площади, занятой зерновыми, зернобобовыми, масличными (за исключением рапса и сои), кормовыми сельскохозяйственными культурами;
б) на поддержку элитного семеноводства и (или) на приобретение семян, произведенных в рамках Федеральной научно-технической программы:
по ставке на 1 гектар посевной площади, засеянной элитными семенами, под сельскохозяйственными культурами, за исключением посевной площади, занятой оригинальным и элитным семенным картофелем и (или) семенными посевами овощных культур;
в виде компенсации не более 70 процентов затрат на приобретение семян (исходя из стоимости, не превышающей установленную высшим исполнительным органом субъекта Российской Федерации предельную стоимость реализации таких семян), произведенных в рамках Федеральной научно-технической программы (за исключением семян картофеля и овощных культур);
в) на поддержку племенного животноводства:
по ставке на 1 условную голову племенного маточного поголовья сельскохозяйственных животных;
по ставке на 1 голову племенных быков-производителей, оцененных по качеству потомства или находящихся в процессе оценки этого качества;
по ставке на 1 голову племенного молодняка сельскохозяйственных животных, приобретенных в племенных хозяйствах, зарегистрированных в государственном племенном регистре;
г) на поддержку традиционных подотраслей сельского хозяйства и северного оленеводства:
на приобретение семян кормовых культур, поставляемых в районы Крайнего Севера и приравненные к ним местности, с учетом затрат на доставку - по ставке на 1 гектар посевных площадей, занятых кормовыми культурами на территории субъекта Российской Федерации, отнесенной к районам Крайнего Севера и приравненным к ним местностям;
на развитие северного оленеводства и (или) на развитие мараловодства и мясного табунного коневодства - по ставке на 1 голову сельскохозяйственного животного;
д) на поддержку производства льна-долгунца и (или) технической конопли:
по ставке на 1 тонну реализованного и (или) отгруженного получателями средств на переработку льно- и (или) пеньковолокна, и (или) тресты льняной, и (или) тресты конопляной;
е) на поддержку производства продукции плодово-ягодных насаждений, включая посадочный материал, закладку и уход за многолетними насаждениями (кроме виноградников), включая питомники:
по ставке на 1 гектар площади закладки многолетних насаждений (кроме виноградников) и (или) площади уходных работ за многолетними насаждениями (до вступления в товарное плодоношение, но не более 3 лет с момента закладки для садов интенсивного типа), включая питомники, в том числе на установку шпалеры и (или) противоградовой сетки (включая стоимость шпалеры и (или) стоимость противоградовой сетки) и (или) раскорчевку выбывших из эксплуатации многолетних насаждений (в возрасте 20 лет и более начиная с года закладки при условии наличия у получателей средств проекта на закладку многолетних насаждений на раскорчеванной площади);
ж) на поддержку производства молока:
по ставке на 1 килограмм реализованного и (или) отгруженного на собственную переработку коровьего и (или) козьего молока;
з) на поддержку мясного скотоводства:
по ставке на 1 голову маточного товарного поголовья крупного рогатого скота специализированных мясных пород, за исключением племенных животных;
по ставке на 1 килограмм живого веса крупного рогатого скота не старше 24 месяцев, направленного на убой на собственную переработку и (или) реализованного на убой юридическим лицам и индивидуальным предпринимателям, осуществляющим свою деятельность на территории Российской Федерации;
и) на поддержку развития овцеводства, козоводства и производства шерсти:
по ставке на 1 голову маточного товарного поголовья овец и коз, в том числе ярок и козочек от года и старше, за исключением племенных животных;
по ставке на 1 тонну произведенной шерсти, полученной от тонкорунных и полутонкорунных пород овец, реализованной и (или) отгруженной получателями средств на собственную переработку и (или) переработку юридическим лицам и индивидуальным предпринимателям, осуществляющим свою деятельность на территории Российской Федерации;
по ставке на 1 килограмм живого веса овец и коз на убой, реализованных и (или) отгруженных получателями средств на собственную переработку и (или) переработку юридическим лицам и индивидуальным предпринимателям, осуществляющим свою деятельность на территории Российской Федерации;
к) на поддержку глубокой переработки зерна и (или) переработки молока сырого крупного рогатого скота, козьего и овечьего на пищевую продукцию:
по ставке на 1 тонну переработанного на пищевую продукцию молока сырого крупного рогатого скота, козьего и овечьего;
по ставке на 1 тонну переработанного зерна, использованного получателями средств на производство продукции глубокой переработки зерна в соответствии с перечнем, утверждаемым Министерством сельского хозяйства Российской Федерации;
л) на поддержку развития малых форм хозяйствования:
в виде грантов на развитие семейной фермы - в размере, не превышающем 30 млн. рублей, но не более 60 процентов стоимости проекта грантополучателя (для субъектов Российской Федерации, входящих в состав Дальневосточного федерального округа, - не более 70 процентов стоимости проекта грантополучателя). При этом часть стоимости проекта грантополучателя (не более 20 процентов) может быть обеспечена за счет средств субъекта Российской Федерации. При использовании средств гранта на цели, указанные в абзаце восьмом подпункта "г" пункта 2 настоящих Правил, грант предоставляется в размере, не превышающем 30 млн. рублей, но не более 80 процентов указанных затрат (для субъектов Российской Федерации, входящих в состав Дальневосточного федерального округа, - не более 90 процентов указанных затрат). Размер гранта на развитие семейной фермы не может быть менее 5 млн. рублей. В случае если заявителем на рассмотрение региональной комиссии по отбору проектов представлен проект грантополучателя, в стоимость которого включена сумма гранта на развитие семейной фермы в размере менее 5 млн. рублей, такой проект грантополучателя региональной комиссией по отбору проектов не рассматривается. Срок использования гранта на развитие семейной фермы составляет не более 24 месяцев со дня его получения;
на возмещение (обеспечение) до 60 процентов затрат семейной фермы, но не более 20 млн. рублей на одну семейную ферму, за исключением затрат, возмещаемых в составе гранта на развитие семейной фермы, указанного в подпункте "г" пункта 2 настоящих Правил, связанных с приобретением:
оборудования для комплектации объектов, предназначенных для производства, хранения и переработки сельскохозяйственной продукции, включая автономные источники электро- и газоснабжения, обустройство автономных источников водоснабжения, сельскохозяйственной техники и специализированного транспорта для комплектации объектов по производству и переработке сельскохозяйственной продукции семейных ферм, включая их монтаж, а также доставку в случае, если семейная ферма осуществляет деятельность на территориях субъектов Сибирского федерального округа и в районах Крайнего Севера и приравненных к ним местностях. Перечень указанных оборудования, техники и специализированного транспорта утверждается высшим исполнительным органом субъекта Российской Федерации или уполномоченным органом;
сельскохозяйственных животных (за исключением свиней) и птицы, рыбопосадочного материала;
снегоходных средств, в случае если семейная ферма осуществляет деятельность по развитию оленеводства, мараловодства и (или) мясного табунного коневодства в районах Крайнего Севера и приравненных к ним местностях;
газопоршневых установок, включая их монтаж;
в виде грантов на развитие материально-технической базы сельскохозяйственных потребительских кооперативов - в сумме, не превышающей 70 млн. рублей, но не более 60 процентов стоимости проекта грантополучателя (для субъектов Российской Федерации, входящих в состав Дальневосточного федерального округа, - не более 70 процентов стоимости проекта грантополучателя). При этом часть стоимости проекта грантополучателя (не более 20 процентов) может быть обеспечена за счет средств субъекта Российской Федерации. При использовании средств гранта на цели, указанные в абзаце восьмом подпункта "в" пункта 2 настоящих Правил, средства гранта предоставляются в размере, не превышающем 70 млн. рублей, но не более 80 процентов указанных затрат (для субъектов Российской Федерации, входящих в состав Дальневосточного федерального округа, - не более 90 процентов указанных затрат). Размер гранта на развитие материально-технической базы не может быть менее 5 млн. рублей. В случае если заявителем на рассмотрение региональной комиссии по отбору проектов представлен проект грантополучателя, в стоимость которого включена сумма гранта на развитие материально-технической базы в размере менее 5 млн. рублей, такой проект грантополучателя региональной комиссией по отбору проектов не рассматривается. Срок использования гранта на развитие материально-технической базы составляет не более 24 месяцев со дня его получения;
в виде грантов на развитие материально-технической базы начинающих сельскохозяйственных потребительских кооперативов - в сумме, не превышающей 10 млн. рублей, но не более 80 процентов стоимости проекта грантополучателя (для субъектов Российской Федерации, входящих в состав Дальневосточного федерального округа, - не более 90 процентов стоимости проекта грантополучателя). При этом часть стоимости проекта грантополучателя (не более 20 процентов) может быть обеспечена за счет средств субъекта Российской Федерации. Срок использования гранта на развитие материально-технической базы начинающего сельскохозяйственного потребительского кооператива составляет не более 24 месяцев со дня его получения. Средства гранта на развитие начинающего сельскохозяйственного потребительского кооператива направляются на осуществление расходов, указанных в абзацах третьем - седьмом и десятом подпункта "в" пункта 2 настоящих Правил;
в виде грантов "Агропрогресс" в размере, не превышающем 30 млн. рублей, но не более 25 процентов стоимости проекта "Агропрогресс". При этом не менее 70 процентов стоимости проекта "Агропрогресс" должно быть обеспечено средствами привлекаемого на реализацию указанного проекта инвестиционного кредита, не менее 5 процентов стоимости проекта "Агропрогресс" обеспечивается собственными средствами получателя гранта "Агропрогресс". Средства гранта "Агропрогресс" не могут быть направлены на завершение проектов в сфере агропромышленного комплекса, реализация которых начата до получения гранта "Агропрогресс", за исключением случаев, когда реализация проекта начата в текущем финансовом году, при условии, что средства гранта "Агропрогресс" не дублируют затраты, финансирование которых осуществлялось в рамках ранее начатого проекта. Срок использования гранта "Агропрогресс" составляет не более 24 месяцев со дня его получения;
м) на поддержку сельскохозяйственного страхования:
на уплату страховых премий, начисленных по договорам сельскохозяйственного страхования в области растениеводства, и (или) животноводства, и (или) товарной аквакультуры (товарного рыбоводства), с учетом ставок для расчета размера субсидии, установленных планом сельскохозяйственного страхования, действующим на дату заключения договора сельскохозяйственного страхования, и методик определения страховой стоимости и размера утраты (гибели) урожая сельскохозяйственной культуры, утраты (гибели) посадок многолетних насаждений, утраты (гибели) сельскохозяйственных животных, утраты (гибели) объектов товарной аквакультуры (товарного рыбоводства), утверждаемых Министерством сельского хозяйства Российской Федерации в соответствии с частью 4 статьи 3 Федерального закона "О государственной поддержке в сфере сельскохозяйственного страхования и о внесении изменений в Федеральный закон "О развитии сельского хозяйства" (далее - методики по сельскохозяйственному страхованию), - в размере, рассчитанном в соответствии с частью 3 статьи 3 указанного Федерального закона.
6. Для субъектов Российской Федерации с низким уровнем социально-экономического развития и субъектов Российской Федерации, входящих в состав Дальневосточного федерального округа, по приоритетным направлениям, указанным в подпунктах "д" - "к" пункта 5 настоящих Правил, допускается предоставление средств получателям средств на техническое перевооружение в размере не более 40 процентов фактически осуществленных получателями средств расходов, за исключением затрат, возмещаемых в рамках Государственной программы, а также в соответствии с иными нормативными правовыми актами Российской Федерации, на создание и (или) модернизацию объектов агропромышленного комплекса, на приобретение и ввод в промышленную эксплуатацию маркировочного оборудования для внедрения обязательной маркировки отдельных видов молочной продукции, а также на создание и (или) модернизацию объектов по переработке сельскохозяйственной продукции в рамках Государственной программы, а также в соответствии с иными нормативными правовыми актами Российской Федерации.
Перечень приоритетных направлений в субъекте Российской Федерации определяется субъектом Российской Федерации.
Сведения по приоритетным направлениям, указанным в подпунктах "г" - "к" пункта 5 настоящих Правил, для расчета размера субсидии на очередной финансовый год направляются субъектами Российской Федерации в Министерство сельского хозяйства Российской Федерации до 15 июля текущего финансового года. Количество приоритетных направлений, указанных в настоящем абзаце, не может быть более 3.
Приоритетные направления, указанные в подпунктах "б", "в", "л" и "м" пункта 5 настоящих Правил, устанавливаются для всех субъектов Российской Федерации. Приоритетное направление, указанное в подпункте "а" пункта 5 настоящих Правил, устанавливается для субъектов Российской Федерации, входящих в состав Сибирского федерального округа и Дальневосточного федерального округа.
7. Средства по приоритетным направлениям, указанным в пункте 5 настоящих Правил, предоставляются следующим категориям получателей средств:
сельскохозяйственные товаропроизводители (за исключением граждан, ведущих личное подсобное хозяйство, и сельскохозяйственных кредитных потребительских кооперативов) - по направлениям, указанным в абзаце четвертом подпункта "в", подпунктах "б", "г" - "к", "м" пункта 5 и пункте 6 настоящих Правил;
сельскохозяйственные товаропроизводители (за исключением граждан, ведущих личное подсобное хозяйство, и сельскохозяйственных кредитных потребительских кооперативов), включенные в единый реестр субъектов малого и среднего предпринимательства, отвечающие критериям отнесения к субъектам малого предпринимательства в соответствии с Федеральным законом "О развитии малого и среднего предпринимательства в Российской Федерации", осуществляющие производство сельскохозяйственной продукции на территориях субъектов Российской Федерации, входящих в состав Сибирского и Дальневосточного федеральных округов, - по направлению, указанному в подпункте "а" пункта 5 настоящих Правил;
сельскохозяйственные товаропроизводители (за исключением граждан, ведущих личное подсобное хозяйство, и сельскохозяйственных кредитных потребительских кооперативов), которые включены в перечень племенных хозяйств, утверждаемый высшим исполнительным органом субъекта Российской Федерации или уполномоченным органом по согласованию с Министерством сельского хозяйства Российской Федерации, - по направлениям, указанным в абзацах втором и третьем подпункта "в" пункта 5 настоящих Правил;
научные и образовательные организации - по направлениям, указанным в подпунктах "в", "д" - "ж", "з" и "и" пункта 5 настоящих Правил;
граждане, ведущие личное подсобное хозяйство и применяющие специальный налоговый режим "Налог на профессиональный доход", - по направлениям, указанным в подпунктах "ж" - "и" пункта 5 настоящих Правил;
организации и индивидуальные предприниматели, осуществляющие производство, первичную и (или) последующую (промышленную) переработку сельскохозяйственной продукции, - по направлениям, указанным в подпунктах "д", "е" пункта 5 и пункте 6 настоящих Правил;
организации и индивидуальные предприниматели, осуществляющие производство и (или) первичную и (или) последующую (промышленную) переработку сельскохозяйственной продукции, - по направлению, указанному в подпункте "к" пункта 5 настоящих Правил;
крестьянские (фермерские) хозяйства - по направлениям, указанным в абзацах втором и третьем подпункта "л" пункта 5 настоящих Правил;
сельскохозяйственные потребительские кооперативы (за исключением сельскохозяйственных кредитных потребительских кооперативов) - по направлениям, указанным в абзацах седьмом и восьмом подпункта "л" пункта 5 настоящих Правил;
сельскохозяйственные товаропроизводители (за исключением крестьянских (фермерских) хозяйств, граждан, ведущих личное подсобное хозяйство, и сельскохозяйственных потребительских кооперативов), отвечающие критериям субъекта микропредприятия или малого предприятия и включенные в единый реестр субъектов малого и среднего предпринимательства в соответствии с Федеральным законом "О развитии малого и среднего предпринимательства в Российской Федерации", осуществляющие деятельность на сельской территории или на территории сельской агломерации субъекта Российской Федерации более 24 месяцев с даты регистрации, - по направлению, указанному в абзаце девятом подпункта "л" пункта 5 настоящих Правил;
покупатели семян, произведенных в рамках Федеральной научно-технической программы, - по направлению, указанному в абзаце третьем подпункта "б" пункта 5 настоящих Правил.
8. Средства предоставляются получателям средств:
а) по приоритетным направлениям, указанным в подпунктах "а" - "к" пункта 5 настоящих Правил, при условии принятия получателем средств обязательств по достижению в году получения средств результатов использования средств в соответствии с заключенным между уполномоченным органом и получателем средств соглашением;
б) по приоритетному направлению, указанному в подпункте "а" пункта 5 настоящих Правил, при условии:
что на посев при проведении агротехнологических работ получателями средств использовались семена сельскохозяйственных растений:
показатели сортовых и посевных (посадочных) качеств которых соответствуют требованиям к показателям сортовых и посевных (посадочных) качеств семян сельскохозяйственных растений, установленным Министерством сельского хозяйства Российской Федерации в соответствии с частью 2 статьи 13 Федерального закона "О семеноводстве" на дату определения в соответствии с частью 3 статьи 13 указанного Федерального закона показателей сортовых и посевных (посадочных) качеств (в случае если роды и виды сельскохозяйственных растений содержатся в перечне родов и видов сельскохозяйственных растений, производство и выращивание которых направлено на обеспечение продовольственной безопасности Российской Федерации, сорта и гибриды которых подлежат включению в Государственный реестр сортов и гибридов сельскохозяйственных растений, допущенных к использованию, утвержденном распоряжением Правительства Российской Федерации от 8 декабря 2022 г. N 3835-р (далее - перечень видов сельскохозяйственных растений);
показатели сортовых и посевных (посадочных) качеств которых соответствуют ГОСТ Р 52325-2005 (семена сельскохозяйственных растений), ГОСТ Р 32592-2013 (семена овощных, бахчевых культур, кормовых корнеплодов и кормовой капусты) (в случае если роды и виды сельскохозяйственных растений не входят в перечень видов сельскохозяйственных растений);
внесения удобрений, используемых при производстве конкретного вида продукции растениеводства в рамках соответствующего приоритетного направления;
в) по приоритетному направлению, указанному в подпункте "д" пункта 5 настоящих Правил, при условии:
что на посев получателями средств, занимающимися производством льно- и (или) пеньковолокна, и (или) тресты льняной, и (или) тресты конопляной, использовались семена сельскохозяйственных растений:
показатели сортовых и посевных (посадочных) качеств которых соответствуют требованиям к показателям сортовых и посевных (посадочных) качеств семян сельскохозяйственных растений, установленным Министерством сельского хозяйства Российской Федерации в соответствии с частью 2 статьи 13 Федерального закона "О семеноводстве" на дату определения в соответствии с частью 3 статьи 13 указанного Федерального закона показателей сортовых и посевных (посадочных) качеств (в случае если роды и виды сельскохозяйственных растений содержатся в перечне видов сельскохозяйственных растений);
показатели сортовых и посевных (посадочных) качеств которых соответствуют ГОСТ Р 52325-2005 (семена сельскохозяйственных растений) (в случае если роды и виды сельскохозяйственных растений не входят в перечень видов сельскохозяйственных растений);
внесения удобрений, используемых при производстве конкретного вида продукции растениеводства в рамках соответствующего приоритетного направления;
что такая продукция реализуется получателями средств, занимающимися производством льно- и (или) пеньковолокна, и (или) тресты льняной, и (или) тресты конопляной, перерабатывающим организациям, расположенным на территории Российской Федерации, и (или) отгружается на собственную переработку;
г) по приоритетному направлению, указанному в подпункте "е" пункта 5 настоящих Правил, при условии:
что получателями средств при закладке многолетних насаждений использовался посадочный материал:
показатели сортовых и посевных (посадочных) качеств которого соответствуют требованиям к показателям сортовых и посевных (посадочных) качеств семян сельскохозяйственных растений, установленным Министерством сельского хозяйства Российской Федерации в соответствии с частью 2 статьи 13 Федерального закона "О семеноводстве" на дату определения в соответствии с частью 3 статьи 13 указанного Федерального закона показателей сортовых и посевных (посадочных) качеств (в случае если роды и виды сельскохозяйственных растений содержатся в перечне видов сельскохозяйственных растений);
показатели сортовых и посевных (посадочных) качеств которого соответствуют ГОСТ Р 55758-2013, ГОСТ Р 70191-2022 и ГОСТ Р 59653-2021 (за исключением культур многолетних насаждений, на которые не распространяется действие указанных государственных стандартов) (в случае если роды и виды сельскохозяйственных растений не входят в перечень видов сельскохозяйственных растений);
использования при закладке садов интенсивного типа посадочного материала, произведенного сельскохозяйственными товаропроизводителями (за исключением граждан, ведущих личное подсобное хозяйство, и сельскохозяйственных кредитных потребительских кооперативов), научными и образовательными организациями на территории Российской Федерации;
наличия у получателей средств проекта на закладку многолетних насаждений.
В случае возмещения более 30 процентов затрат получателей средств на закладку, и (или) уход, и (или) раскорчевку многолетних насаждений дополнительные субсидии субъектам Российской Федерации на финансовое обеспечение (возмещение) части затрат на закладку, и (или) уход, и (или) раскорчевку многолетних насаждений предыдущего финансового года, а также на перевыполнение результатов использования субсидии текущего финансового года не предоставляются;
д) по приоритетному направлению, указанному в подпункте "ж" пункта 5 настоящих Правил, при условии:
наличия у получателей средств поголовья коров и (или) коз на 1-е число месяца, в котором они обратились в уполномоченный орган за получением средств;
обеспечения получателями средств сохранности поголовья коров и (или) коз в отчетном финансовом году по отношению к уровню года, предшествующего отчетному финансовому году, за исключением получателей средств, которые начали хозяйственную деятельность по производству молока в отчетном или текущем финансовом году, и получателей средств, представивших документы, подтверждающие наступление обстоятельств непреодолимой силы и (или) проведение мероприятий по оздоровлению стада от лейкоза крупного рогатого скота в отчетном финансовом году;
подтверждения информации об объеме реализованного молока данными, содержащимися в ветеринарных сопроводительных документах, оформленных в электронной форме с использованием Федеральной государственной информационной системы в области ветеринарии;
е) по приоритетным направлениям, указанным в подпунктах "з" и "и" пункта 5 настоящих Правил, при условии достижения получателем средств численности поголовья сельскохозяйственных животных, установленной уполномоченным органом, при производстве конкретного вида продукции животноводства;
ж) по приоритетному направлению, указанному в подпункте "л" пункта 5 настоящих Правил, при условии:
завершения реализации проекта грантополучателя на развитие семейной фермы, и (или) на развитие материально-технической базы, и (или) проекта "Агропрогресс", и (или) проекта создания и (или) развития хозяйства, реализуемого с участием гранта "Агростартап" (в соответствии с приложением N 6 к Государственной программе) (далее - проект создания и (или) развития хозяйства), на которые ранее был получен соответствующий грант, отсутствия внесения изменений в плановые показатели деятельности ранее реализованного проекта грантополучателя на развитие семейной фермы, и (или) на развитие материально-технической базы, и (или) проекта "Агропрогресс", и (или) проекта создания и (или) развития хозяйства с участием средств соответствующего гранта, при этом допускается внесение изменений в плановые показатели деятельности ранее реализованного проекта грантополучателя на развитие семейной фермы, и (или) на развитие материально-технической базы, и (или) проекта "Агропрогресс", и (или) проекта создания и (или) развития хозяйства с участием средств соответствующего гранта вследствие наступления обстоятельств непреодолимой силы не более чем на 10 процентов;
наличия обязательств грантополучателя по осуществлению своей деятельности и представлению отчетности о реализации проекта грантополучателя на развитие семейной фермы и на развитие материально-технической базы, проекта "Агропрогресс", а также о сохранении рабочих мест в рамках реализации соответствующего проекта (за исключением проекта "Агропрогресс") в уполномоченный орган в течение не менее чем 5 лет со дня получения гранта;
отсутствия у заявителя на дату, определяемую уполномоченным органом, неисполненных обязательств по уплате налогов, сборов, страховых взносов, пеней, штрафов, процентов, подлежащих уплате в соответствии с законодательством Российской Федерации о налогах и сборах, в сумме, превышающей 10 тыс. рублей;
обеспечения получателями гранта на развитие семейной фермы, гранта "Агропрогресс" не менее чем в течение 5 лет с даты получения гранта ежегодного прироста объема производства сельскохозяйственной продукции, а также обеспечения получателями гранта на развитие материально-технической базы не менее чем в течение 5 лет с даты получения гранта ежегодного прироста объема реализации сельскохозяйственной продукции в размере не ниже среднего размера прироста производства продукции сельского хозяйства по крестьянским (фермерским) хозяйствам и индивидуальным предпринимателям субъекта Российской Федерации в соответствии с данными Федеральной службы государственной статистики за последние 3 года, предшествующие году распределения субсидии, но не ниже 5 процентов;
обеспечения получателями средств в году получения средств в соответствии с абзацем третьим подпункта "л" пункта 5 настоящих Правил не менее чем в течение 2 лет с даты получения средств прироста объема производства сельскохозяйственной продукции в размере не ниже среднего прироста производства продукции сельского хозяйства по крестьянским (фермерским) хозяйствам и индивидуальным предпринимателям субъекта Российской Федерации в соответствии с данными Федеральной службы государственной статистики за последние 3 года, предшествующие году распределения субсидии, но не ниже 5 процентов.
Случаи, при которых допускается внесение изменений в проект грантополучателя, методика оценки достижения плановых показателей деятельности получателями гранта на развитие семейной фермы, гранта "Агропрогресс" и гранта на развитие материально-технической базы, а также меры ответственности за недостижение плановых показателей деятельности определяются уполномоченным органом. В случае недостижения плановых показателей деятельности получатель гранта на развитие семейной фермы, гранта "Агропрогресс" и гранта на развитие материально-технической базы обязуется представить до 1 апреля года, следующего за годом, в котором показатель деятельности не был исполнен, письменное обоснование недостижения плановых показателей деятельности. В случае принятия уполномоченным органом решения о необходимости внесения изменений в проект грантополучателя и соглашение о предоставлении средств, заключенное между получателем гранта на развитие семейной фермы, гранта "Агропрогресс" и гранта на развитие материально-технической базы и уполномоченным органом, сельскохозяйственный товаропроизводитель представляет актуализированный проект грантополучателя в уполномоченный орган в срок, не превышающий 45 календарных дней со дня получения соответствующего решения.
Не допускается приобретение имущества, ранее приобретенного с использованием средств государственной поддержки, за счет средств гранта "Агропрогресс", гранта на развитие материально-технической базы и гранта на развитие семейной фермы.
Допускается одновременное предоставление гранта на развитие семейной фермы и возмещение (обеспечение) затрат семейной фермы в соответствии с абзацем третьим подпункта "л" пункта 5 настоящих Правил, в случае если проектом грантополучателя, реализация которого планируется за счет средств гранта на развитие семейной фермы, не предусмотрены затраты, указанные в абзаце пятом подпункта "л" пункта 5 настоящих Правил;
абзац утратил силу с 1 января 2025 года. - Постановление Правительства РФ от 19.12.2024 N 1824;
регистрации получателей грантов, осуществляющих деятельность в районах Крайнего Севера и приравненных к ним местностях, а также в субъектах Российской Федерации, входящих в состав Дальневосточного федерального округа, на территориях городов и поселков городского типа с численностью населения не более 100 тыс. человек.
Срок использования гранта на развитие семейной фермы, гранта на развитие материально-технической базы, гранта "Агропрогресс" может быть продлен по решению уполномоченного органа, но не более чем на 6 месяцев. Основаниями для принятия уполномоченным органом решения о продлении срока использования гранта на развитие семейной фермы, гранта на развитие материально-технической базы, гранта "Агропрогресс" является документальное подтверждение грантополучателем наступления обстоятельств непреодолимой силы, препятствующих использованию средств гранта в установленный срок, а также введение в 2023 году в субъекте Российской Федерации среднего уровня реагирования в соответствии с Указом Президента Российской Федерации от 19 октября 2022 г. N 757 "О мерах, осуществляемых в субъектах Российской Федерации в связи с Указом Президента Российской Федерации от 19 октября 2022 г. N 756" (далее - средний уровень реагирования). В субъекте Российской Федерации, в котором введен средний уровень реагирования, для получателя средств, пострадавшего в результате обстрелов со стороны вооруженных формирований Украины и (или) террористических актов, срок использования гранта на развитие семейной фермы, гранта на развитие материально-технической базы, гранта "Агропрогресс" составляет не более 30 месяцев со дня получения получателем средств соответствующего гранта.
Повторное получение гранта на развитие семейной фермы, гранта на развитие материально-технической базы, гранта "Агропрогресс" соответствующими категориями получателей средств возможно при условии реализации в полном объеме взятых обязательств по проекту, на который ранее были получены средства гранта, и достижения плановых показателей деятельности, но не ранее чем через 36 месяцев с даты получения предыдущего гранта. Получатель повторного гранта обеспечивает сохранение количества постоянных рабочих мест и прирост производства продукции не менее 5 лет по проекту, на который ранее были получены средства гранта.
Средства по приоритетному направлению, указанному в подпункте "л" пункта 5 настоящих Правил, предоставляются из средств бюджета того субъекта Российской Федерации, на сельской территории или территории сельской агломерации которого зарегистрирован и осуществляет деятельность сельскохозяйственный товаропроизводитель.
Средства гранта на развитие семейной фермы, гранта на развитие материально-технической базы, гранта "Агропрогресс" не предоставляются на финансовое обеспечение (возмещение) части затрат на закладку и (или) уход за виноградниками;
Уполномоченный орган принимает решение о предоставлении гранта на развитие семейной фермы, гранта на развитие материально-технической базы, гранта "Агропрогресс" на основании решения региональной комиссии по отбору проектов.
Оборудование, указанное в абзаце одиннадцатом подпункта "в" и в абзаце седьмом подпункта "г" пункта 2 настоящих Правил, произведено на территории Российской Федерации и (или) не имеет произведенных в Российской Федерации аналогов (при условии наличия заключения о подтверждении производства промышленной продукции на территории Российской Федерации в соответствии с постановлением Правительства Российской Федерации от 17 июля 2015 г. N 719 "О подтверждении производства промышленной продукции на территории Российской Федерации" (или включения сведений о промышленной продукции в реестр российской промышленной продукции, размещаемый в государственной информационной системе промышленности в соответствии со статьей 17.1 Федерального закона "О промышленной политике в Российской Федерации") или заключения об отнесении продукции к промышленной продукции, не имеющей произведенных в Российской Федерации аналогов, в соответствии с постановлением Правительства Российской Федерации от 20 сентября 2017 г. N 1135 "Об отнесении продукции к промышленной продукции, не имеющей произведенных в Российской Федерации аналогов, и внесении изменений в некоторые акты Правительства Российской Федерации");
з) по приоритетному направлению, указанному в подпункте "м" пункта 5 настоящих Правил, при условии уплаты страхователем страховых премий в соответствии со статьей 4 Федерального закона "О государственной поддержке в сфере сельскохозяйственного страхования и о внесении изменений в Федеральный закон "О развитии сельского хозяйства" по действующим на дату принятия решения о предоставлении средств договорам сельскохозяйственного страхования;
и) по приоритетным направлениям, указанным в подпунктах "а" - "м" пункта 5 настоящих Правил, при условии отсутствия в году, предшествующем году получения субсидии, случаев привлечения к ответственности получателей средств за несоблюдение запрета на выжигание сухой травянистой растительности, стерни, пожнивных остатков (за исключением рисовой соломы) на землях сельскохозяйственного назначения, установленного Правилами противопожарного режима в Российской Федерации, утвержденными постановлением Правительства Российской Федерации от 16 сентября 2020 г. N 1479 "Об утверждении Правил противопожарного режима в Российской Федерации";
к) по приоритетным направлениям, указанным в подпунктах "ж" - "и" пункта 5 настоящих Правил, для граждан, ведущих личное подсобное хозяйство и применяющих специальный налоговый режим "Налог на профессиональный доход", при условии, что:
применение налогового режима подтверждено справкой о постановке на учет (снятии с учета) физического лица в качестве плательщика налога на профессиональный доход;
гражданин, ведущий личное подсобное хозяйство и применяющий специальный налоговый режим "Налог на профессиональный доход", представил выписку из похозяйственной книги, подтверждающую ведение производственной деятельности в течение не менее чем 12 месяцев, предшествующих году предоставления субсидии;
л) по приоритетным направлениям, указанным в пункте 5 настоящих Правил, при условии документального подтверждения наличия у получателей средств прав пользования земельными участками, на которых осуществляется или планируется осуществлять сельскохозяйственное производство, за исключением абзаца третьего подпункта "г" пункта 5 настоящих Правил - в случае осуществления производства в местах традиционного проживания и традиционной хозяйственной деятельности коренных малочисленных народов Российской Федерации, которые входят в перечень мест традиционного проживания и традиционной хозяйственной деятельности коренных малочисленных народов Российской Федерации, утвержденный распоряжением Правительства Российской Федерации от 8 мая 2009 г. N 631-р, подпункта "к" и абзацев седьмого и восьмого подпункта "л" пункта 5 настоящих Правил;
м) по приоритетному направлению, указанному в подпункте "б" пункта 5 настоящих Правил, при условии, что для посевных площадей получателями средств осуществляется страхование рисков утраты (гибели) урожая сельскохозяйственной культуры в результате наступления всех или нескольких событий, предусмотренных пунктом 1 части 1 статьи 8 Федерального закона "О государственной поддержке в сфере сельскохозяйственного страхования и о внесении изменений в Федеральный закон "О развитии сельского хозяйства", и (или) события, предусмотренного пунктом 4 части 1 статьи 8 Федерального закона "О государственной поддержке в сфере сельскохозяйственного страхования и о внесении изменений в Федеральный закон "О развитии сельского хозяйства";
н) по приоритетным направлениям, указанным в пункте 5 настоящих Правил, за исключением приоритетного направления, указанного в подпункте "м" пункта 5 настоящих Правил, при наличии справки подведомственного Министерству сельского хозяйства Российской Федерации федерального государственного бюджетного учреждения в области мелиорации, на территории обслуживания которого получателем средств осуществляется деятельность, за исключением субъектов Российской Федерации, на территориях которых отсутствуют мелиоративные системы и (или) отдельно расположенные гидротехнические сооружения, находящиеся в федеральной собственности, об отсутствии у получателя средств просроченной задолженности перед указанным учреждением за услуги по подаче (отводу) воды и (или) принятого к производству судом искового заявления указанного учреждения о взыскании с получателя средств задолженности по договору оказания услуг по подаче (отводу) воды в размере, превышающем 50 тыс. рублей (при отсутствии указанной справки уполномоченный орган запрашивает ее самостоятельно, в том числе в отношении нескольких получателей средств);
о) по приоритетным направлениям, указанным в пункте 5 настоящих Правил, при условии внесения в государственный реестр земель сельскохозяйственного назначения сведений, которые представляются собственниками земельных участков, землепользователями, землевладельцами и арендаторами земельных участков, на которых осуществляется или планируется осуществлять сельскохозяйственное производство, в соответствии с приложением N 1 к Правилам ведения государственного реестра земель сельскохозяйственного назначения, утвержденным постановлением Правительства Российской Федерации от 2 февраля 2023 г. N 154 "О порядке ведения государственного реестра земель сельскохозяйственного назначения", за исключением приоритетного направления, указанного в абзаце третьем подпункта "г" пункта 5 настоящих Правил (в отношении земельных участков, расположенных в местах традиционного проживания и традиционной хозяйственной деятельности коренных малочисленных народов Российской Федерации согласно перечню мест традиционного проживания и традиционной хозяйственной деятельности коренных малочисленных народов Российской Федерации, утвержденному распоряжением Правительства Российской Федерации от 8 мая 2009 г. N 631-р), а также приоритетных направлений, указанных в подпункте "к" и абзацах седьмом и восьмом подпункта "л" пункта 5 настоящих Правил.
9. По приоритетным направлениям, указанным в подпунктах "а" - "к" пункта 5 настоящих Правил, ставки определяются высшим исполнительным органом субъекта Российской Федерации или уполномоченным органом.
По приоритетному направлению, указанному в подпункте "л" пункта 5 настоящих Правил, размер грантов определяется высшим исполнительным органом субъекта Российской Федерации или уполномоченным органом.
В случае если субъектом Российской Федерации на финансовое обеспечение мероприятий в рамках приоритетного направления, указанного в подпункте "л" пункта 5 настоящих Правил, предусмотрен объем бюджетных ассигнований бюджета субъекта Российской Федерации, суммарно составляющий меньше чем максимальный размер гранта, указанный в подпункте "л" пункта 5 настоящих Правил, субъект Российской Федерации обязан предоставить не менее 1 гранта на развитие материально-технической базы, гранта на развитие семейной фермы или гранта "Агропрогресс".
Доля расходов субъекта Российской Федерации на предоставление гранта "Агропрогресс" может составлять не более 15 процентов размера субсидии, предоставляемой субъекту Российской Федерации на развитие малых форм хозяйствования (кроме г. Севастополя).
Субъекты Российской Федерации, в которых в введен средний уровень реагирования, вправе на мероприятия по поддержке на возобновление деятельности субъектов предпринимательства в агропромышленном комплексе, пострадавших в результате действий вооруженных формирований Украины, устанавливать повышающий коэффициент, применяемый к ставкам в рамках соответствующих приоритетных направлений, указанных в пункте 5 настоящих Правил, в пределах размера субсидии, предусмотренной субъекту Российской Федерации на текущий финансовый год, не выше 1,5.
Субъекты Российской Федерации, в которых введен средний уровень реагирования, вправе предоставлять средства по приоритетным направлениям, указанным в пункте 5 настоящих Правил, получателям средств, которые пострадали в результате действий вооруженных формирований Украины и (или) террористических актов и которые по состоянию на 1 января 2024 года отнесены к категориям получателей средств в соответствии с пунктом 7 настоящих Правил.
10. Указанные в абзаце первом пункта 9 настоящих Правил ставки определяются с учетом следующих условий:
а) в случае выполнения получателем средств условия по достижению в году, предшествующем году получения субсидии, результатов, предусмотренных пунктом 28 настоящих Правил, к ставке применяется коэффициент в размере, равном отношению фактического значения за отчетный год к установленному, но не выше 1,2;
в случае невыполнения получателем средств условия по достижению в отчетном финансовом году результатов, предусмотренных пунктом 28 настоящих Правил, к ставке применяется коэффициент в размере, равном отношению фактического значения за отчетный год к установленному, но не менее 0,8;
б) по приоритетному направлению, указанному в подпункте "а" пункта 5 настоящих Правил, к ставке применяются следующие коэффициенты:
не менее 2 - для посевных площадей, отраженных в проектно-сметной документации при проведении получателями средств работ по фосфоритованию и (или) гипсованию посевных площадей;
не менее 1,2 - для посевных площадей, в отношении которых получателями средств осуществляется страхование рисков утраты (гибели) урожая сельскохозяйственной культуры в результате наступления всех или нескольких событий, предусмотренных пунктом 1 части 1 статьи 8 Федерального закона "О государственной поддержке в сфере сельскохозяйственного страхования и о внесении изменений в Федеральный закон "О развитии сельского хозяйства", и (или) события, предусмотренного пунктом 4 части 1 статьи 8 Федерального закона "О государственной поддержке в сфере сельскохозяйственного страхования и о внесении изменений в Федеральный закон "О развитии сельского хозяйства";
не менее 2 - для получателей средств, использующих семена отечественной селекции;
в) по приоритетному направлению, указанному в абзаце втором подпункта "б" пункта 5 настоящих Правил, к ставке применяется коэффициент не менее 2 для получателей средств, использующих семена отечественной селекции;
г) по приоритетному направлению, указанному в подпункте "е" пункта 5 настоящих Правил, к ставке применяются следующие коэффициенты:
для садов интенсивного типа с плотностью посадки свыше 1250 растений на 1 гектар - не менее 1,4, свыше 2500 растений на 1 гектар - не менее 1,7, свыше 3500 растений на 1 гектар - не менее 3;
для питомников, за исключением маточных насаждений плодовых и ягодных культур, заложенных базисными растениями, - не менее 3, для маточных насаждений, заложенных базисными растениями, - не менее 4;
для ягодных кустарниковых насаждений - не менее 1,1, для ягодных кустарниковых насаждений с установкой шпалерных конструкций - не менее 1,4;
для насаждений хмеля - не менее 2;
д) по приоритетному направлению, указанному в подпункте "з" пункта 5 настоящих Правил, к ставке применяются следующие коэффициенты:
в случае обеспечения получателем средств численности маточного товарного поголовья крупного рогатого скота специализированных мясных пород выше численности поголовья сельскохозяйственных животных, установленной уполномоченным органом в соответствии с подпунктом "е" пункта 8 настоящих Правил, - коэффициент в размере, равном отношению фактического значения за отчетный год к установленному, но не более 1,2;
при направлении на убой на собственную переработку и (или) реализации на убой юридическим лицам и индивидуальным предпринимателям крупного рогатого скота не старше 24 месяцев выше живой массы, установленной субъектом Российской Федерации, но не ниже средней живой массы крупного рогатого скота, произведенного на убой по субъекту Российской Федерации за год, предшествующий году предоставления субсидии, - не более 1,3;
е) по приоритетному направлению, указанному в подпункте "ж" пункта 5 настоящих Правил:
в случае достижения средней молочной продуктивности коров за отчетный финансовый год выше продуктивности, установленной субъектом Российской Федерации, но не менее 5000 килограммов, применяется коэффициент в размере не более 1,2;
при наличии у получателей средств застрахованного с государственной поддержкой в отчетном финансовом году поголовья крупного и (или) мелкого рогатого скота молочной продуктивности применяется коэффициент в размере не более 1,2.
11. Субсидии предоставляются при соблюдении субъектом Российской Федерации условий, предусмотренных абзацами первым - четвертым пункта 8 Правил формирования, предоставления и распределения субсидий из федерального бюджета бюджетам субъектов Российской Федерации, утвержденных постановлением Правительства Российской Федерации от 30 сентября 2014 г. N 999 "О формировании, предоставлении и распределении субсидий из федерального бюджета бюджетам субъектов Российской Федерации" (далее - Правила формирования субсидий).
12. В соглашение о предоставлении субсидии, заключенное между Министерством сельского хозяйства Российской Федерации и высшим исполнительным органом субъекта Российской Федерации в соответствии с пунктом 10 Правил формирования субсидий (далее - соглашение о предоставлении субсидии), подлежит включению обязательство субъекта Российской Федерации по перечислению не позднее 1 мая текущего финансового года (в 2025 финансовом году - не позднее 1 июля 2025 г.) получателям средств не менее 50 процентов размера субсидии, предусмотренной этому субъекту Российской Федерации в федеральном бюджете на текущий финансовый год (для субъектов Российской Федерации, входящих в состав Дальневосточного федерального округа, - не менее 20 процентов), а также обязательство по заключению в случае, указанном в пункте 21 настоящих Правил, дополнительного соглашения к соглашению о предоставлении субсидии об уменьшении в срок не позднее 30 мая текущего финансового года (в 2025 финансовом году - не позднее 31 июля 2025 г.) размера субсидии, подлежащей предоставлению из федерального бюджета бюджету субъекта Российской Федерации в текущем финансовом году, в случае невыполнения субъектом Российской Федерации обязательства по перечислению не позднее 1 мая текущего финансового года (в 2025 финансовом году - не позднее 1 июля 2025 г.) получателям средств не менее 50 процентов размера субсидии, предусмотренной этому субъекту Российской Федерации. Положения настоящего пункта не применяются в отношении субсидии, предоставляемой на реализацию приоритетных направлений, указанных в подпунктах "л" и "м" пункта 5 настоящих Правил.
13. Критерием отбора субъектов Российской Федерации для предоставления субсидий является наличие согласованных с Министерством сельского хозяйства Российской Федерации целевых показателей (индикаторов) и результатов региональной программы.
14. В состав перечня представляемых получателем средств документов, необходимых для получения средств, должны быть включены следующие документы:
а) заявление о предоставлении средств;
б) расчет размера средств для предоставления получателю средств (за исключением средств, предоставляемых по приоритетному направлению, указанному в подпункте "л" пункта 5 настоящих Правил);
в) по приоритетному направлению, указанному в подпункте "а" пункта 5 настоящих Правил:
сведения о размере посевных площадей, занятых сельскохозяйственными культурами, по видам культур;
сведения о размере посевных площадей, на которых проводились работы по фосфоритованию и (или) гипсованию;
сведения о размере застрахованных посевных площадей.
15. Субсидия предоставляется на основании соглашения о предоставлении субсидии, подготавливаемого (формируемого) с использованием государственной интегрированной информационной системы управления общественными финансами "Электронный бюджет" в соответствии с типовой формой, утвержденной Министерством финансов Российской Федерации.
16. Размер субсидии, предоставляемой бюджету i-го субъекта Российской Федерации в соответствующем финансовом году (Wi), определяется по формуле:
Wi = A1i + A2i + A3i,
где:
A1i - размер субсидии на приоритетные направления, указанные в подпунктах "а" - "к" пункта 5 настоящих Правил;
A2i - размер субсидии на приоритетное направление, указанное в подпункте "л" пункта 5 настоящих Правил;
A3i - размер субсидии на приоритетное направление, указанное в подпункте "м" пункта 5 настоящих Правил.
17. Размер субсидии на приоритетные направления, указанные в подпунктах "а" - "к" пункта 5 настоящих Правил (A1i), рассчитывается по формуле:
A1i = a1 + a2 + a3 + a4 + a5 + a6 + a7 + a8 + a9 + a10,
где:
a1 - размер субсидии на приоритетное направление, указанное в подпункте "а" пункта 5 настоящих Правил, рассчитываемый по формуле:

где:
W - объем бюджетных ассигнований, предусмотренных в федеральном бюджете на предоставление субсидии на соответствующий финансовый год;
Dsi - доля i-го субъекта Российской Федерации, входящего в состав Сибирского и Дальневосточного федеральных округов, в показателе размера посевных площадей, занятых сельскохозяйственными культурами, суммарно в указанных округах, рассчитываемая по формуле:

где Si - размер посевных площадей, занятых сельскохозяйственными культурами (за исключением посевных площадей, занятых льном-долгунцом и (или) технической коноплей) (тыс. гектаров) в i-м субъекте Российской Федерации, входящем в состав Сибирского и Дальневосточного федеральных округов, в финансовом году, предшествующем году, в котором осуществляется расчет размера субсидий на очередной финансовый год, на основании данных Федеральной службы государственной статистики;
абзацы одиннадцатый - тринадцатый утратили силу с 1 января 2025 года. - Постановление Правительства РФ от 19.12.2024 N 1824;
Dsti - доля i-го субъекта Российской Федерации, входящего в состав Сибирского и Дальневосточного федеральных округов, в показателе размера застрахованной посевной (посадочной) площади, рассчитываемая по формуле:

где STi - размер застрахованной посевной (посадочной) площади (условных единиц) в i-м субъекте Российской Федерации, входящем в состав Сибирского и Дальневосточного федеральных округов, в отчетном финансовом году на основании данных, представленных уполномоченным органом в Министерство сельского хозяйства Российской Федерации, входящем в состав Сибирского и Дальневосточного федеральных округов, по форме и в срок, которые устанавливаются Министерством сельского хозяйства Российской Федерации, входящем в состав Сибирского и Дальневосточного федеральных округов.
Коэффициенты для перевода посевной (посадочной) площади в условные единицы определяются в соответствии с методиками по сельскохозяйственному страхованию;
ki - коэффициент увеличения показателя i-го субъекта Российской Федерации. Для субъектов Российской Федерации, входящих в состав Дальневосточного федерального округа, значение коэффициента равно 2, для Республики Крым, г. Севастополя и Калининградской области - 1,2, для других субъектов Российской Федерации - 1;
n - количество субъектов Российской Федерации, входящих в состав Сибирского и Дальневосточного федеральных округов;
Yi - предельный уровень софинансирования расходного обязательства i-го субъекта Российской Федерации из федерального бюджета на очередной финансовый год (процентов), определяемый в соответствии с пунктом 13 Правил формирования субсидий;
a2 - размер субсидии на приоритетное направление, указанное в подпункте "б" пункта 5 настоящих Правил, рассчитываемый по формуле:

где Sei - площадь, засеваемая элитными семенами сельскохозяйственных культур, за исключением площади, засеваемой элитными семенами картофеля и овощных культур (тыс. гектаров), в финансовом году, предшествующем году, в котором осуществляется расчет размера субсидий на очередной финансовый год, на основании данных, представленных уполномоченным органом в Министерство сельского хозяйства Российской Федерации по форме и в срок, которые устанавливаются Министерством сельского хозяйства Российской Федерации;
Размер субсидии i-му субъекту Российской Федерации в 2025 году на приоритетное направление, указанное в подпункте "а" пункта 5 настоящих Правил, не может составлять более 100,52 процента размера субсидии, рассчитанного этому субъекту Российской Федерации на 2024 финансовый год на указанное приоритетное направление;
a3 - размер субсидии на приоритетное направление, указанное в подпункте "в" пункта 5 настоящих Правил, рассчитываемый по формуле:

где Pi - численность условного маточного племенного поголовья сельскохозяйственных животных (тыс. условных голов) на территории i-го субъекта Российской Федерации за отчетный финансовый год на основании данных, представленных уполномоченным органом в Министерство сельского хозяйства Российской Федерации по форме и в срок, которые устанавливаются Министерством сельского хозяйства Российской Федерации.
Коэффициенты для перевода племенного поголовья сельскохозяйственных животных в условные головы устанавливаются Министерством сельского хозяйства Российской Федерации.
Суммарный размер субсидии i-му субъекту Российской Федерации в 2025 году на приоритетные направления, указанные в подпунктах "б" и "в" пункта 5 настоящих Правил, не может составлять более 98,9 процента суммарного размера субсидии, рассчитанного этому субъекту на 2024 финансовый год на поддержку племенного животноводства, на поддержку элитного семеноводства и (или) на приобретение семян, произведенных в рамках Федеральной научно-технической программы.
Для субъектов Российской Федерации, на территориях которых осуществляется реализация проекта по строительству селекционно-генетического центра для развития племенной базы отечественного кросса мясных кур, при расчете суммарного размера субсидии на приоритетное направление, указанное в подпункте "в" пункта 5 настоящих Правил, на 2025 год применяется коэффициент 1,5 к размеру субсидии, рассчитанному этому субъекту на 2024 финансовый год на поддержку племенного животноводства;
a4 - размер субсидии на приоритетное направление, указанное в подпункте "г" пункта 5 настоящих Правил, рассчитываемый по субъектам Российской Федерации, выбравшим соответствующее приоритетное направление, по формуле:

где:
Doi - доля i-го субъекта Российской Федерации в показателе численности поголовья северных оленей, рассчитываемая по формуле:

где Oi - численность поголовья северных оленей в сельскохозяйственных организациях, крестьянских (фермерских) хозяйствах, включая индивидуальных предпринимателей (тыс. голов), в i-м субъекте Российской Федерации в финансовом году, предшествующем году, в котором осуществляется расчет размера субсидий на очередной финансовый год, на основании данных Федеральной службы государственной статистики;
Dlmi - доля i-го субъекта Российской Федерации в показателе численности поголовья маралов и мясных табунных лошадей, рассчитываемая по формуле:

где LMi - численность поголовья маралов и мясных табунных лошадей (тыс. голов) в сельскохозяйственных организациях, крестьянских (фермерских) хозяйствах, включая индивидуальных предпринимателей, в i-м субъекте Российской Федерации в финансовом году, предшествующем году, в котором осуществляется расчет размера субсидий на очередной финансовый год, на основании данных Федеральной службы государственной статистики;
Dki - доля i-го субъекта в показателе посевной площади, занятой кормовыми культурами, рассчитываемая по формуле:

где:
Ki - посевная площадь, занятая кормовыми культурами (тыс. гектаров), в районах Крайнего Севера и приравненных к ним местностях в i-м субъекте Российской Федерации в финансовом году, предшествующем году, в котором осуществляется расчет размера субсидий на очередной финансовый год, на основании данных, представленных уполномоченным органом в Министерство сельского хозяйства Российской Федерации по форме и в срок, которые устанавливаются Министерством сельского хозяйства Российской Федерации;
n4 - количество субъектов Российской Федерации, у которых традиционные для субъектов Российской Федерации подотрасли сельского хозяйства, включая северное оленеводство, определены в качестве приоритетного направления на соответствующий финансовый год;
a5 - размер субсидии на приоритетное направление, указанное в подпункте "д" пункта 5 настоящих Правил, рассчитываемый по субъектам Российской Федерации, выбравшим соответствующее приоритетное направление, по формуле:

где:
V5i - фактический показатель объема производства льна-долгунца (в тыс. тонн в пересчете на льноволокно) и (или) технической конопли (в тыс. тонн в пересчете на пеньковолокно) в i-м субъекте Российской Федерации в отчетном году на основании данных Федеральной службы государственной статистики;
абзацы сорок восьмой - пятьдесят третий утратили силу с 1 января 2025 года. - Постановление Правительства РФ от 19.12.2024 N 1824;
n5 - количество субъектов Российской Федерации, у которых производство льна-долгунца и (или) технической конопли определено в качестве приоритетного направления на соответствующий финансовый год;
a6 - размер субсидии на приоритетное направление, указанное в подпункте "е" пункта 5 настоящих Правил, рассчитываемый по субъектам Российской Федерации, выбравшим соответствующее приоритетное направление, по формуле:

где:
DSz6i - доля i-го субъекта Российской Федерации в плановых показателях площади закладки многолетних плодово-ягодных насаждений в сельскохозяйственных организациях, крестьянских (фермерских) хозяйствах и у индивидуальных предпринимателей, за исключением питомников, рассчитываемая по формуле:

где:
Sz6i - плановые показатели площади закладки многолетних плодово-ягодных насаждений в сельскохозяйственных организациях, крестьянских (фермерских) хозяйствах и у индивидуальных предпринимателей, за исключением питомников, в i-м субъекте Российской Федерации на очередной финансовый год на основании представленных уполномоченным органом в Министерство сельского хозяйства Российской Федерации по форме и в срок, которые устанавливаются Министерством сельского хозяйства Российской Федерации, данных субъектов Российской Федерации (тыс. гектаров);
DSzp6i - доля i-го субъекта Российской Федерации в плановых показателях по площади закладки питомников, рассчитываемая по формуле:

где:
Szp6i - плановые показатели площади закладки питомников в сельскохозяйственных организациях, крестьянских (фермерских) хозяйствах и у индивидуальных предпринимателей в i-м субъекте Российской Федерации в очередном финансовом году на основании представленных уполномоченным органом в Министерство сельского хозяйства Российской Федерации по форме и в срок, которые устанавливаются Министерством сельского хозяйства Российской Федерации, данных субъектов Российской Федерации (тыс. гектаров);
DSu6i - доля i-го субъекта Российской Федерации в фактических показателях площади уходных работ за многолетними насаждениями (за исключением виноградников) до вступления в товарное плодоношение, рассчитываемая по формуле:

где:
Su6i - фактический показатель по размеру общей площади молодых садов, не вступивших в период товарного плодоношения на конец года (за исключением виноградников) в сельскохозяйственных организациях, крестьянских (фермерских) хозяйствах и у индивидуальных предпринимателей в i-м субъекте Российской Федерации в отчетном году, на основании данных отчетности о финансово-экономическом состоянии товаропроизводителей агропромышленного комплекса, представляемой в соответствии с подпунктом "в" пункта 27 настоящих Правил (тыс. гектаров);
n6 - количество субъектов Российской Федерации, у которых производство продукции плодово-ягодных насаждений, включая посадочный материал, закладка и уход за многолетними насаждениями, за исключением закладки и ухода за виноградниками, определены в качестве приоритетного направления на соответствующий финансовый год;
a7 - размер субсидии на приоритетное направление, указанное в подпункте "ж" пункта 5 настоящих Правил, рассчитываемый по субъектам Российской Федерации, выбравшим соответствующее приоритетное направление, по формуле:

где:
D7i - объем производства молока в сельскохозяйственных организациях, крестьянских (фермерских) хозяйствах и у индивидуальных предпринимателей в отчетном году на основании данных Федеральной службы государственной статистики (тыс. тонн) в i-м субъекте Российской Федерации;
kef - коэффициент увеличения показателя, равный 1,2, применяющийся к субъектам Российской Федерации, в которых на основании данных Федеральной службы государственной статистики надой молока от 1 коровы в сельскохозяйственных организациях в отчетном финансовом году составляет 7000 килограммов и выше;
n7 - количество субъектов Российской Федерации, у которых производство молока определено в качестве приоритетного направления на соответствующий финансовый год;
a8 - размер субсидии на приоритетное направление, указанное в подпункте "з" пункта 5 настоящих Правил, рассчитываемый по субъектам Российской Федерации, выбравшим соответствующее приоритетное направление, по формуле:

где:
D8i - численность маточного товарного поголовья крупного рогатого скота специализированных мясных пород, за исключением племенных животных (голов), за отчетный финансовый год в сельскохозяйственных организациях, крестьянских (фермерских) хозяйствах, включая индивидуальных предпринимателей, в i-м субъекте Российской Федерации на основании данных, представленных уполномоченным органом в Министерство сельского хозяйства Российской Федерации по форме и в срок, которые устанавливаются Министерством сельского хозяйства Российской Федерации;
n8 - количество субъектов Российской Федерации, у которых развитие мясного скотоводства определено в качестве приоритетного направления на соответствующий финансовый год;
a9 - размер субсидии на приоритетное направление, указанное в подпункте "и" пункта 5 настоящих Правил, рассчитываемый по субъектам Российской Федерации, выбравшим соответствующее приоритетное направление, по формуле:

где:
Dv9i - доля i-го субъекта Российской Федерации в показателях фактической численности маточного товарного поголовья овец и коз (в том числе ярок и козочек от года и старше), за исключением племенных животных, рассчитываемая по формуле:

где V9i - численность маточного товарного поголовья овец и коз (в том числе ярок и козочек от года и старше), за исключением племенных животных, в сельскохозяйственных организациях, крестьянских (фермерских) хозяйствах, включая индивидуальных предпринимателей (тыс. голов), в i-м субъекте Российской Федерации на основании данных, представленных уполномоченным органом в Министерство сельского хозяйства Российской Федерации по форме и в срок, которые устанавливаются Министерством сельского хозяйства Российской Федерации;
Dm9i - доля i-го субъекта Российской Федерации в фактических показателях реализации овец и коз на убой, рассчитываемая по формуле:

где M9i - фактические показатели реализации овец и коз на убой (в живом весе) в сельскохозяйственных организациях, крестьянских (фермерских) хозяйствах и у индивидуальных предпринимателей (тыс. тонн) в i-м субъекте Российской Федерации в отчетном году на основании данных Федеральной службы государственной статистики, у которых развитие овцеводства и козоводства и производство шерсти определены в качестве приоритетного направления на соответствующий финансовый год;
k1i - коэффициент увеличения показателя i-го субъекта Российской Федерации по приоритетному направлению - развитие овцеводства и козоводства. Для субъектов Российской Федерации, входящих в состав Дальневосточного федерального округа, значение коэффициента равно 2, для субъектов Российской Федерации, входящих в состав Северо-Кавказского федерального округа, Республики Крым, г. Севастополя и Калининградской области - 1,2, для других субъектов Российской Федерации - 1;
n9 - количество субъектов Российской Федерации, у которых развитие овцеводства и козоводства и производство шерсти определены в качестве приоритетного направления на соответствующий финансовый год;
a10 - размер субсидии на приоритетное направление, указанное в подпункте "к" пункта 5 настоящих Правил, рассчитываемый по субъектам Российской Федерации, выбравшим соответствующее приоритетное направление, по формуле:

где:
Dm10i - доля i-го субъекта Российской Федерации в фактических показателях объема молока сырого крупного рогатого скота, козьего и овечьего, переработанного на пищевую продукцию, рассчитываемая по формуле:

где M10i - объем молока сырого крупного рогатого скота, козьего и овечьего, переработанного на пищевую продукцию в сельскохозяйственных организациях, крестьянских (фермерских) хозяйствах и у индивидуальных предпринимателей, а также в организациях, осуществляющих производство и (или) первичную и (или) последующую (промышленную) переработку сельскохозяйственной продукции, в i-м субъекте Российской Федерации в отчетном году на основании данных Федеральной службы государственной статистики;
Dz10i - доля i-го субъекта Российской Федерации в фактических показателях объема зерна, использованного на глубокую переработку, рассчитываемая по формуле:

где:
Z10i - объем зерна, использованного на глубокую переработку в сельскохозяйственных организациях, крестьянских (фермерских) хозяйствах и у индивидуальных предпринимателей, а также в организациях, осуществляющих производство и (или) первичную и (или) последующую (промышленную) переработку сельскохозяйственной продукции, в i-м субъекте Российской Федерации в отчетном году на основании данных субъектов Российской Федерации, представленных в Министерство сельского хозяйства Российской Федерации по форме и в срок, которые устанавливаются Министерством сельского хозяйства Российской Федерации;
n10 - количество субъектов Российской Федерации, у которых глубокая переработка зерна и (или) переработка молока сырого крупного рогатого скота, козьего и овечьего на пищевую продукцию определены в качестве приоритетного направления на соответствующий финансовый год.
18. Размер субсидии на приоритетное направление, указанное в подпункте "л" пункта 5 настоящих Правил (A2i), рассчитывается по формуле:

где:
d - коэффициент уменьшения доли субъекта Российской Федерации, применяемый для субъектов Российской Федерации, в которых количество крестьянских (фермерских) хозяйств и индивидуальных предпринимателей, а также сельскохозяйственных потребительских кооперативов в 2023 году на основании данных Федеральной службы государственной статистики меньше количества крестьянских (фермерских) хозяйств и индивидуальных предпринимателей, а также сельскохозяйственных потребительских кооперативов в 2022 году на основании данных Федеральной службы государственной статистики, составляющий 0,8;
Dвалi - доля средней стоимости валовой продукции растениеводства и животноводства, произведенной крестьянскими (фермерскими) хозяйствами и индивидуальными предпринимателями, в i-м субъекте Российской Федерации за 3 года, предшествующих текущему финансовому году, в средней стоимости валовой продукции растениеводства и животноводства, произведенной сельскохозяйственными товаропроизводителями, за 3 года, предшествующих текущему финансовому году, определяемая по формуле:
![]()
где:
Vвалi - средняя стоимость валовой продукции растениеводства и животноводства, произведенной крестьянскими (фермерскими) хозяйствами и индивидуальными предпринимателями, в i-м субъекте Российской Федерации за 3 года, предшествующих текущему финансовому году, определяемая на основании данных Федеральной службы государственной статистики;
Hвал - средняя стоимость валовой продукции растениеводства и животноводства, произведенной сельскохозяйственными товаропроизводителями всех категорий хозяйств, по субъектам Российской Федерации за 3 года, предшествующих текущему финансовому году, определяемая на основании данных Федеральной службы государственной статистики.
Размер субсидии i-му субъекту на приоритетное направление - развитие малых форм хозяйствования не может быть больше 1,5 процента объема бюджетных ассигнований, предусмотренных в федеральном бюджете на предоставление субсидии на соответствующий финансовый год (для субъектов Российской Федерации, входящих в состав Дальневосточного федерального округа, - не больше 2 процентов, но не менее минимального размера гранта, установленного абзацами вторым, восьмым и десятым подпункта "л" пункта 5 настоящих Правил), и определяется по формуле:
W x 0,1143.
Ограничение, указанное в абзаце десятом настоящего пункта, не применяется при распределении невостребованной субсидии и перераспределении между приоритетными направлениями в субъекте Российской Федерации в соответствии с пунктом 25 настоящих Правил.
19. Размер субсидии на приоритетное направление, указанное в подпункте "м" пункта 5 настоящих Правил (A3i), рассчитывается по формуле:

где:
Xi - доля размера застрахованной посевной (посадочной) площади (условных единиц), застрахованного поголовья сельскохозяйственных животных (условных единиц) и застрахованного объема производства объектов товарной аквакультуры (товарного рыбоводства) в отчетном финансовом году в i-м субъекте Российской Федерации в общей застрахованной посевной (посадочной) площади (условных единиц), застрахованном поголовье сельскохозяйственных животных (условных единиц) и застрахованном объеме производства объектов товарной аквакультуры (товарного рыбоводства) в отчетном финансовом году в Российской Федерации, которая рассчитывается по формуле:

где:
Bonusрi - суммарный объем страховой премии (тыс. рублей) в среднем за 3 года, предшествующих году, в котором осуществляется расчет размера субсидий на очередной финансовый год, начисленной по договорам сельскохозяйственного страхования, по которым предоставлены средства, в области растениеводства в субъекте Российской Федерации в отчетном финансовом году, на основании данных, представленных уполномоченным органом в Министерство сельского хозяйства Российской Федерации по форме и в срок, которые устанавливаются Министерством сельского хозяйства Российской Федерации;
Bonusжi - суммарный объем страховой премии (тыс. рублей) в среднем за 3 года, предшествующих году, в котором осуществляется расчет размера субсидий на очередной финансовый год, начисленной по договорам сельскохозяйственного страхования, по которым предоставлены средства, в области животноводства в субъекте Российской Федерации в отчетном финансовом году, на основании данных, представленных уполномоченным органом в Министерство сельского хозяйства Российской Федерации по форме и в срок, которые устанавливаются Министерством сельского хозяйства Российской Федерации;
Bonusрыбi - суммарный объем страховой премии (тыс. рублей) в среднем за 3 года, предшествующих году, в котором осуществляется расчет размера субсидий на очередной финансовый год, начисленной по договорам сельскохозяйственного страхования, по которым предоставлены средства, в области товарной аквакультуры в субъекте Российской Федерации в отчетном финансовом году, на основании данных, представленных уполномоченным органом в Министерство сельского хозяйства Российской Федерации по форме и в срок, которые устанавливаются Министерством сельского хозяйства Российской Федерации.
Коэффициенты для перевода застрахованной посевной (посадочной) площади и застрахованного поголовья сельскохозяйственных животных в условные единицы определяются в соответствии с методиками по сельскохозяйственному страхованию.
В случае если в субъекте Российской Федерации в финансовом году, предшествующем году, в котором осуществляется расчет размера субсидий на очередной финансовый год, не предоставлялись средства по договорам сельскохозяйственного страхования в области растениеводства, и (или) животноводства, и (или) товарной аквакультуры (товарного рыбоводства), суммарный объем страховой премии, начисленной по договорам сельскохозяйственного страхования, по которым предоставлены средства, определяется как среднее значение по Российской Федерации.
Размер субсидии i-му субъекту Российской Федерации в 2025 году на приоритетное направление, указанное в подпункте "м" пункта 5 настоящих Правил, не может составлять более 118,19 процента фактического размера субсидии, предоставленной этому субъекту в 2023 финансовом году на указанное приоритетное направление.
20. В случае предоставления из федерального бюджета бюджетам субъектов Российской Федерации субсидий в целях софинансирования расходных обязательств субъектов Российской Федерации, возникающих при реализации мероприятий в сфере агропромышленного комплекса в рамках индивидуальных программ социально-экономического развития субъектов Российской Федерации с низким уровнем социально-экономического развития, утвержденных актами Правительства Российской Федерации, субсидии на указанные цели предоставляются субъекту Российской Федерации сверх размеров субсидий, рассчитанных в соответствии с пунктами 16 - 19 настоящих Правил, с установлением результатов их использования.
21. Если по состоянию на 1 мая текущего финансового года (в 2025 финансовом году - не позднее 1 июля 2025 г.) субъектом Российской Федерации перечислено получателям средств менее 50 процентов размера субсидии, предусмотренной этому субъекту Российской Федерации в федеральном бюджете на текущий финансовый год (для субъектов Российской Федерации, входящих в состав Дальневосточного федерального округа, - менее 20 процентов), размер субсидии, предусмотренной этому субъекту Российской Федерации в федеральном бюджете на текущий финансовый год, подлежит уменьшению на 10 процентов.
Высвобождающиеся бюджетные ассигнования перераспределяются на иные мероприятия по решению Правительства Российской Федерации.
Положения абзаца первого настоящего пункта не применяются в отношении субсидии, предоставляемой на реализацию приоритетных направлений, указанных в подпунктах "л" и "м" пункта 5 настоящих Правил.
22. В случае отсутствия в текущем финансовом году у субъектов Российской Федерации потребности в субсидии на реализацию мероприятий, указанных в пункте 3 настоящих Правил, невостребованные бюджетные ассигнования на предоставление субсидии перераспределяются между субъектами Российской Федерации, имеющими право на получение субсидий на реализацию приоритетного направления, указанного в подпункте "м" пункта 5 настоящих Правил, пропорционально удельному весу дополнительной потребности субъекта Российской Федерации в субсидии в общем объеме дополнительной потребности субъектов Российской Федерации в субсидиях.
Информация о дополнительной потребности в субсидиях формируется на основании письменных обращений уполномоченных органов в Министерство сельского хозяйства Российской Федерации.
Размер предоставляемой в соответствии с абзацем первым настоящего пункта бюджету субъекта Российской Федерации субсидии не может быть больше заявленной субъектом Российской Федерации дополнительной потребности в субсидии.
23. В соглашении о предоставлении субсидии размер субсидии по приоритетному направлению, указанному в подпункте "м" пункта 5 настоящих Правил, не может быть меньше расчетного размера предоставляемой бюджету соответствующего субъекта Российской Федерации субсидии, рассчитанного по соответствующему приоритетному направлению в соответствии с пунктами 16 - 19 настоящих Правил.
Субъект Российской Федерации вправе не более 2 раз в год без увеличения общего размера субсидии, предоставляемой бюджету субъекта Российской Федерации на соответствующий финансовый год, перераспределить средства между приоритетными направлениями, определенными субъектом Российской Федерации в соглашении о предоставлении субсидии, без уменьшения значений результатов использования субсидии, установленных в пункте 28 настоящих Правил. Перераспределение средств между приоритетными направлениями осуществляется на основании письменных обращений субъекта Российской Федерации в Министерство сельского хозяйства Российской Федерации с внесением соответствующих изменений в соглашение о предоставлении субсидии.
При внесении соответствующих изменений в соглашение о предоставлении субсидии субъект Российской Федерации по согласованию с Министерством сельского хозяйства Российской Федерации вправе увеличить в текущем финансовом году количество приоритетных направлений без увеличения общего размера субсидии, предоставляемой бюджету субъекта Российской Федерации на текущий финансовый год.
24. В случае выделения в текущем финансовом году из федерального бюджета дополнительных бюджетных ассигнований на предоставление субсидий в соответствии с настоящими Правилами их распределение осуществляется между субъектами Российской Федерации, имеющими дополнительную потребность в субсидиях, пропорционально удельному весу дополнительной потребности субъекта Российской Федерации в субсидии по каждому конкретному приоритетному направлению в общем объеме дополнительной потребности субъектов Российской Федерации в субсидиях по каждому конкретному приоритетному направлению.
Информация о дополнительной потребности в субсидиях формируется на основании письменных обращений уполномоченных органов в Министерство сельского хозяйства Российской Федерации.
Размер предоставляемой в соответствии с абзацем первым настоящего пункта бюджету субъекта Российской Федерации субсидии не может быть больше заявленной субъектом Российской Федерации дополнительной потребности в субсидии.
25. В случае если при формировании проекта федерального закона о федеральном бюджете на очередной финансовый год и на плановый период субъектом Российской Федерации до 20 сентября текущего финансового года представлено в Министерство сельского хозяйства Российской Федерации обращение, содержащее информацию об отсутствии частичной или полной потребности в субсидии по отдельному приоритетному направлению, бюджетные ассигнования на предоставление субсидии такому субъекту Российской Федерации распределяются между другими субъектами Российской Федерации, имеющими право на получение субсидии, пропорционально доле субъекта Российской Федерации по этому приоритетному направлению, рассчитанной в соответствии с настоящими Правилами.
В случае если рассчитанный на очередной финансовый год в соответствии с пунктами 16 - 19 настоящих Правил размер субсидии субъекту Российской Федерации по приоритетному направлению, указанному в пункте 5 настоящих Правил, составляет менее 500 тыс. рублей, расчет по указанному приоритетному направлению этому субъекту Российской Федерации не осуществляется, а высвобождающийся объем субсидии перераспределяется в соответствии с пунктами 16 - 19 настоящих Правил между субъектами Российской Федерации, имеющими право на получение в соответствии с настоящими Правилами субсидий на реализацию конкретного приоритетного направления.
26. Перечисление субсидий осуществляется в установленном порядке на единые счета бюджетов, открытые финансовым органам субъектов Российской Федерации в территориальных органах Федерального казначейства.
27. Уполномоченный орган представляет в Министерство сельского хозяйства Российской Федерации следующие документы:
а) утратил силу с 1 января 2025 года. - Постановление Правительства РФ от 19.12.2024 N 1824;
б) документ, содержащий информацию об использовании средств бюджетов субъектов Российской Федерации, в целях софинансирования расходных обязательств которых предоставляется субсидия, с приложением перечня получателей средств по форме и в срок, которые устанавливаются Министерством сельского хозяйства Российской Федерации;
в) отчет о финансово-экономическом состоянии товаропроизводителей агропромышленного комплекса по форме и в срок, которые устанавливаются Министерством сельского хозяйства Российской Федерации;
г) отчет о достижении значений результатов использования субсидии и об обязательствах, принятых в целях их достижения, подготавливаемый (формируемый) с использованием государственной интегрированной информационной системы управления общественными финансами "Электронный бюджет", в порядке и сроки, которые установлены соглашением о предоставлении субсидии.
28. Для оценки эффективности использования субсидии применяются следующие результаты использования субсидии, сформированные по группам получателей средств, указанных в пункте 7 настоящих Правил:
а) по приоритетному направлению, указанному в подпункте "а" пункта 5 настоящих Правил, - посеяно зерновых, зернобобовых, масличных (за исключением рапса и сои) и кормовых сельскохозяйственных культур (тыс. гектаров);
б) по приоритетному направлению, указанному в подпункте "б" пункта 5 настоящих Правил:
засеяно элитными семенами (за исключением посевной площади, засеянной оригинальными и элитными посевами семенного картофеля и (или) семенными посевами овощных культур) (тыс. гектаров);
приобретены и высеяны в текущем году семена, произведенные в рамках Федеральной научно-технической программы (за исключением семян картофеля и овощных культур) (тонн);
в) по приоритетному направлению, указанному в подпункте "в" пункта 5 настоящих Правил:
достигнута численность племенного маточного поголовья сельскохозяйственных животных в пересчете на условные головы (тыс. голов);
достигнута численность племенных быков-производителей, оцененных по качеству потомства или находящихся в процессе оценки этого качества (тыс. голов);
достигнута численность племенного молодняка сельскохозяйственных животных, приобретенного в племенных хозяйствах, зарегистрированных в государственном племенном регистре, в пересчете на условные головы (тыс. голов);
г) по приоритетному направлению, указанному в подпункте "г" пункта 5 настоящих Правил:
засеяно кормовыми культурами в районах Крайнего Севера и приравненных к ним местностях (тыс. гектаров);
достигнута численность поголовья северных оленей и (или) поголовья маралов и (или) мясных табунных лошадей (тыс. голов);
д) по приоритетному направлению, указанному в подпункте "д" пункта 5 настоящих Правил, - достигнут объем валового сбора льно- и (или) пеньковолокна (тыс. тонн);
е) по приоритетному направлению, указанному в подпункте "е" пункта 5 настоящих Правил:
заложено многолетних насаждений (за исключением виноградников), за исключением питомников (тыс. гектаров);
проведены уходные работы за многолетними насаждениями (за исключением виноградников) до вступления в товарное плодоношение, но не более 3 лет с момента закладки для садов интенсивного типа на площади (тыс. гектаров);
заложено питомников (кроме виноградных) (тыс. гектаров);
ж) по приоритетному направлению, указанному в подпункте "ж" пункта 5 настоящих Правил, - произведено молока (тыс. тонн);
з) по приоритетному направлению, указанному в подпункте "з" пункта 5 настоящих Правил:
достигнута численность маточного товарного поголовья крупного рогатого скота специализированных мясных пород, за исключением племенных животных (тыс. голов);
достигнуто производство крупного рогатого скота на убой (в живом весе) (тыс. тонн);
и) по приоритетному направлению, указанному в подпункте "и" пункта 5 настоящих Правил:
достигнута численность маточного товарного поголовья овец и коз (в том числе ярок и козочек от года и старше), за исключением племенных животных (тыс. голов);
произведено и реализовано отечественным перерабатывающим организациям шерсти, полученной от тонкорунных и полутонкорунных пород овец (тыс. тонн);
реализовано овец и коз на убой (в живом весе) (тыс. тонн);
к) по приоритетному направлению, указанному в подпункте "к" пункта 5 настоящих Правил:
переработано на пищевую продукцию молока сырого крупного рогатого скота, козьего и овечьего (тыс. тонн);
использовано зерна на производство продукции его глубокой переработки (тыс. тонн);
л) по приоритетному направлению, указанному в подпункте "л" пункта 5 настоящих Правил:
обеспечено развитие материально-технической базы сельскохозяйственных потребительских кооперативов в целях увеличения объема выручки от реализации сельскохозяйственной и (или) пищевой продукции (единиц);
обеспечено развитие семейных ферм в целях увеличения объема производства сельскохозяйственной продукции (единиц);
обеспечена реализация проектов семейных ферм, направленных на увеличение объема производства сельскохозяйственной продукции;
обеспечена реализация проектов "Агропрогресс", направленных на увеличение объема производства сельскохозяйственной продукции;
м) по приоритетному направлению, указанному в подпункте "м" пункта 5 настоящих Правил:
застрахована посевная (посадочная) площадь (тыс. гектаров);
застраховано поголовье сельскохозяйственных животных (тыс. условных голов);
застрахован объем производства объектов товарной аквакультуры (товарного рыбоводства) (тыс. тонн).
29. Эффективность использования субсидии оценивается ежегодно по итогам отчетного финансового года на основании интегральной оценки достижения значений результатов использования субсидии, предусмотренных соглашением о предоставлении субсидии, в соответствии с методикой, утверждаемой Министерством сельского хозяйства Российской Федерации.
Оценка эффективности использования субсидии по результатам использования субсидии, предусмотренным подпунктом "л" пункта 28 настоящих Правил, осуществляется на основании отчета об эффективности использования средств поддержки по форме и в срок, которые устанавливаются Министерством сельского хозяйства Российской Федерации.
Оценка эффективности использования субсидии, предоставленной гражданам, ведущим личное подсобное хозяйство и применяющим специальный налоговый режим "Налог на профессиональный доход", по результатам, предусмотренным подпунктами "ж" - "и" пункта 28 настоящих Правил, осуществляется на основании отчета об эффективности использования средств, предоставленных гражданам, ведущим личное подсобное хозяйство и применяющим специальный налоговый режим "Налог на профессиональный доход", по форме и в срок, которые устанавливаются Министерством сельского хозяйства Российской Федерации.
30. Порядок и условия возврата средств из бюджета субъекта Российской Федерации в федеральный бюджет в случае нарушения субъектом Российской Федерации обязательств, предусмотренных соглашением о предоставлении субсидии в соответствии с подпунктом "б(1)" пункта 10 Правил формирования субсидий, а также основания для освобождения субъекта Российской Федерации от применения мер финансовой ответственности установлены пунктами 16 - 18 и 20 Правил формирования субсидий.
31. В случае призыва получателя гранта на развитие семейной фермы, получателя гранта "Агропрогресс" на военную службу в Вооруженные Силы Российской Федерации (далее - призыв на военную службу) или введения в субъекте Российской Федерации среднего уровня реагирования уполномоченный орган принимает одно из следующих решений:
признание проекта грантополучателя, проекта "Агропрогресс" завершенными, в случае если средства гранта на развитие семейной фермы, гранта "Агропрогресс" использованы в полном объеме, а в отношении получателя гранта на развитие семейной фермы, получателя гранта "Агропрогресс" в связи с призывом на военную службу осуществлена государственная регистрация прекращения деятельности в качестве индивидуального предпринимателя или государственная регистрация прекращения крестьянского (фермерского) хозяйства. При этом получатель гранта на развитие семейной фермы, получатель гранта "Агропрогресс" освобождаются от ответственности за недостижение плановых показателей деятельности;
обеспечение возврата средств гранта на развитие семейной фермы, гранта "Агропрогресс" в бюджет субъекта Российской Федерации и (или) местный бюджет, из которого были перечислены соответствующие средства, в объеме неиспользованных средств гранта на развитие семейной фермы, гранта "Агропрогресс", в случае если средства гранта на развитие семейной фермы, гранта "Агропрогресс" не использованы или использованы не в полном объеме, а в отношении получателя гранта на развитие семейной фермы, получателя гранта "Агропрогресс" в связи с призывом на военную службу осуществлена государственная регистрация прекращения деятельности в качестве индивидуального предпринимателя или государственная регистрация прекращения крестьянского (фермерского) хозяйства. При этом проект грантополучателя, проект "Агропрогресс" признаются завершенными, а получатель гранта на развитие семейной фермы, получатель гранта "Агропрогресс" освобождаются от ответственности за недостижение плановых показателей деятельности.
Указанные в абзацах втором и третьем настоящего пункта решения принимаются уполномоченным органом по заявлению получателя гранта на развитие семейной фермы, получателя гранта "Агропрогресс" при представлении ими документа, подтверждающего призыв на военную службу.
Получатель гранта на развитие семейной фермы, а также получатель гранта "Агропрогресс", пострадавшие в результате обстрелов со стороны вооруженных формирований Украины и (или) террористических актов, освобождаются от ответственности за недостижение плановых показателей деятельности в порядке, определяемом уполномоченным органом, при условии документального подтверждения факта причинения ущерба имуществу, которое используется для производства, первичной и (или) последующей (промышленной) переработки сельскохозяйственной продукции, в результате обстрелов со стороны вооруженных формирований Украины и (или) террористических актов.
32. В процессе реализации проекта грантополучателя допускается смена главы крестьянского (фермерского) хозяйства по решению членов такого крестьянского (фермерского) хозяйства в порядке, установленном законодательством Российской Федерации, что не влечет изменения (прекращения) статуса крестьянского (фермерского) хозяйства в качестве получателя гранта на развитие семейной фермы. При этом уполномоченный орган осуществляет замену главы такого крестьянского (фермерского) хозяйства в соглашении, заключенном между уполномоченным органом и получателем гранта на развитие семейной фермы, а новый глава крестьянского (фермерского) хозяйства осуществляет дальнейшую реализацию проекта грантополучателя в соответствии с указанным соглашением.
33. Действие пунктов 31 и 32 настоящих Правил распространяется в том числе на лиц, получивших средства гранта на поддержку начинающего фермера в соответствии с Государственной программой в 2019 - 2020 годах.
34. Ответственность за достоверность представляемых в Министерство сельского хозяйства Российской Федерации сведений и соблюдение условий, предусмотренных настоящими Правилами и соглашением о предоставлении субсидии, возлагается на уполномоченный орган и высший исполнительный орган субъекта Российской Федерации.
Контроль за соблюдением субъектами Российской Федерации условий предоставления субсидий осуществляется Министерством сельского хозяйства Российской Федерации и уполномоченными органами государственного финансового контроля.
35. В случае нарушения целей, установленных при предоставлении субсидии, применяются бюджетные меры принуждения, предусмотренные бюджетным законодательством Российской Федерации.
Приложение N 9
к Государственной программе развития
сельского хозяйства и регулирования
рынков сельскохозяйственной продукции,
сырья и продовольствия
ПОЛОЖЕНИЕ
О ВОЗМЕЩЕНИИ ЧАСТИ ЗАТРАТ НА УПЛАТУ ПРОЦЕНТОВ ПО КРЕДИТАМ,
ПОЛУЧЕННЫМ В РОССИЙСКИХ КРЕДИТНЫХ ОРГАНИЗАЦИЯХ, И ЗАЙМАМ,
ПОЛУЧЕННЫМ В СЕЛЬСКОХОЗЯЙСТВЕННЫХ КРЕДИТНЫХ
ПОТРЕБИТЕЛЬСКИХ КООПЕРАТИВАХ
1. Субсидии из федерального бюджета бюджетам субъектов Российской Федерации на возмещение части затрат на уплату процентов по кредитам, полученным в российских кредитных организациях, и займам, полученным в сельскохозяйственных кредитных потребительских кооперативах (далее соответственно - возмещение части затрат, субсидии), предоставляются в целях оказания финансовой поддержки при исполнении расходных обязательств субъектов Российской Федерации, связанных с возмещением части затрат:
а) по кредитам (займам), полученным:
гражданами, ведущими личное подсобное хозяйство, по кредитным договорам (займам), заключенным:
с 1 января 2005 г. по 31 декабря 2012 г. включительно на срок до 5 лет, - на приобретение сельскохозяйственной малогабаритной техники, тракторов мощностью до 100 лошадиных сил и агрегатируемых с ними сельскохозяйственных машин, грузоперевозящих автомобилей полной массой не более 3,5 тонны;
с 1 января 2005 г. по 31 декабря 2016 г. включительно на срок до 5 лет, - на приобретение сельскохозяйственных животных, оборудования для животноводства и переработки сельскохозяйственной продукции, а также на ремонт, реконструкцию и строительство животноводческих помещений, приобретение газового оборудования и подключение к газовым сетям при условии, что общая сумма кредита (займа), полученного гражданином, ведущим личное подсобное хозяйство, в текущем году, не превышает 700 тыс. рублей на одно хозяйство;
с 1 января 2007 г. по 31 декабря 2016 г. включительно на срок до 2 лет, - на приобретение горюче-смазочных материалов, запасных частей и материалов для ремонта сельскохозяйственной техники и животноводческих помещений, минеральных удобрений, средств защиты растений, кормов, ветеринарных препаратов и других материальных ресурсов для проведения сезонных работ, в том числе материалов для теплиц, молодняка сельскохозяйственных животных, а также на уплату страховых взносов при страховании сельскохозяйственной продукции при условии, что общая сумма кредита (займа), полученного гражданином, ведущим личное подсобное хозяйство, в текущем году, не превышает 300 тыс. рублей на одно хозяйство;
с 1 января 2008 г. по 31 декабря 2012 г. включительно на срок до 5 лет, - на развитие направлений, связанных с развитием туризма в сельской местности (сельский туризм), включая развитие народных промыслов, торговли в сельской местности, а также с бытовым и социально-культурным обслуживанием сельского населения, заготовкой и переработкой дикорастущих плодов, ягод, лекарственных растений и других пищевых и недревесных лесных ресурсов, в соответствии с перечнем, утверждаемым Министерством сельского хозяйства Российской Федерации;
с 1 января 2010 г. по 31 декабря 2012 г. включительно на срок до 5 лет, - на приобретение машин, установок и аппаратов дождевальных и поливных, насосных станций в соответствии с перечнем, утверждаемым Министерством сельского хозяйства Российской Федерации;
крестьянскими (фермерскими) хозяйствами по кредитным договорам (договорам займа), заключенным:
с 1 января 2005 г. по 31 декабря 2012 г. включительно на срок до 8 лет, - на приобретение сельскохозяйственной техники и оборудования, в том числе тракторов и агрегатируемых с ними сельскохозяйственных машин, оборудования, используемого для животноводства, птицеводства, кормопроизводства, машин, установок и аппаратов дождевальных и поливных, насосных станций, оборудования для перевода грузовых автомобилей, тракторов и сельскохозяйственных машин на газомоторное топливо;
с 1 января 2005 г. по 31 декабря 2016 г. включительно на срок до 8 лет, - на хранение и переработку сельскохозяйственной продукции, приобретение племенной продукции (материала), строительство, реконструкцию и модернизацию хранилищ картофеля, овощей и фруктов, тепличных комплексов по производству плодоовощной продукции в закрытом грунте, животноводческих комплексов (ферм), объектов животноводства, кормопроизводства и объектов по переработке льна и льноволокна, строительство и реконструкцию прививочных комплексов для многолетних насаждений и закладку многолетних насаждений и виноградников, включая строительство и реконструкцию прививочных комплексов, при условии, что общая сумма кредита (займа), полученного крестьянским (фермерским) хозяйством в текущем году, не превышает 10 млн. рублей на одно хозяйство;
с 1 января 2007 г. по 31 декабря 2016 г. на срок до 2 лет, - на приобретение горюче-смазочных материалов, запасных частей и материалов для ремонта сельскохозяйственной техники и оборудования, минеральных удобрений, средств защиты растений, кормов, ветеринарных препаратов и других материальных ресурсов для проведения сезонных работ, приобретение молодняка сельскохозяйственных животных, а также на уплату страховых взносов при страховании сельскохозяйственной продукции при условии, что общая сумма кредита (займа), полученного крестьянским (фермерским) хозяйством в текущем году, не превышает 5 млн. рублей на одно хозяйство;
с 1 января 2008 г. по 31 декабря 2012 г. включительно на срок до 5 лет, - на развитие направлений, связанных с развитием туризма в сельской местности (сельский туризм), включая развитие народных промыслов, торговли в сельской местности, а также с бытовым и социально-культурным обслуживанием сельского населения, заготовкой и переработкой дикорастущих плодов, ягод, лекарственных растений и других пищевых и недревесных лесных ресурсов, в соответствии с перечнем, утверждаемым Министерством сельского хозяйства Российской Федерации;
сельскохозяйственными потребительскими кооперативами по кредитным договорам (займам), заключенным:
с 1 января 2005 г. по 31 декабря 2012 г. включительно на срок до 8 лет, - на приобретение техники и оборудования (российского и зарубежного производства), в том числе специализированного транспорта для перевозки комбикормов, инкубационного яйца, цыплят, племенного молодняка и стад птиц, тракторов и агрегатируемых с ними сельскохозяйственных машин, оборудования для животноводства, птицеводства, кормопроизводства, оборудования для перевода грузовых автомобилей, тракторов и сельскохозяйственных машин на газомоторное топливо;
с 1 января 2005 г. по 31 декабря 2016 г. включительно на срок до 8 лет, - на приобретение специализированного технологического оборудования, холодильного оборудования, сельскохозяйственных животных, племенной продукции (материала), в том числе для поставки их членам кооператива, на строительство, реконструкцию и модернизацию складских и производственных помещений, хранилищ картофеля, овощей и фруктов, тепличных комплексов по производству плодоовощной продукции в закрытом грунте, объектов животноводства, кормопроизводства и объектов по переработке льна и льноволокна, строительство и реконструкцию сельскохозяйственных рынков, торговых площадок, пунктов по приемке, первичной переработке и хранению молока, мяса, плодоовощной и другой сельскохозяйственной продукции, а также на закладку многолетних насаждений и виноградников, включая строительство и реконструкцию прививочных комплексов для многолетних насаждений, при условии, что общая сумма кредита (займа), полученного сельскохозяйственным потребительским кооперативом в текущем году, не превышает 40 млн. рублей на один кооператив;
с 1 января 2007 г. по 31 декабря 2012 г. включительно на срок до 2 лет, - на приобретение запасных частей и материалов для ремонта сельскохозяйственной техники и оборудования, в том числе для поставки их членам сельскохозяйственного потребительского кооператива;
с 1 января 2007 г. по 31 декабря 2016 г. на срок до 2 лет, - на приобретение материальных ресурсов для проведения сезонных работ, молодняка сельскохозяйственных животных, отечественного сельскохозяйственного сырья для первичной и промышленной переработки (с 2013 года - сельскохозяйственного сырья для первичной и промышленной переработки), на закупку сельскохозяйственной продукции, произведенной членами кооператива для ее дальнейшей реализации, а также на организационное обустройство кооператива и уплату страховых взносов при страховании сельскохозяйственной продукции при условии, что общая сумма кредита (займа), полученного сельскохозяйственным потребительским кооперативом в текущем году, не превышает 15 млн. рублей на один кооператив;
с 1 января 2008 г. по 31 декабря 2012 г. включительно на срок до 5 лет, - на развитие направлений, связанных с развитием туризма в сельской местности (сельский туризм), включая развитие народных промыслов, торговли в сельской местности, а также с бытовым и социально-культурным обслуживанием сельского населения, заготовкой и переработкой дикорастущих плодов, ягод, лекарственных растений и других пищевых и недревесных лесных ресурсов, в соответствии с перечнем, утверждаемым Министерством сельского хозяйства Российской Федерации;
б) по кредитам (займам), полученным на рефинансирование кредитов (займов), предусмотренных подпунктом "а" настоящего пункта, при условии, что суммарный срок пользования кредитами (займами) не превышает сроки, предусмотренные указанным подпунктом.
2. В случае подписания по 31 декабря 2012 г. включительно соглашения о продлении срока пользования кредитами (займами) по кредитным договорам (договорам займа), заключенным:
а) с 1 января 2005 г. по кредитам (займам), предусмотренным абзацами третьим и четвертым подпункта "а" пункта 1 настоящего Положения, возмещение части затрат осуществляется по таким договорам с их продлением на срок, не превышающий 2 лет;
б) с 1 января 2007 г. по кредитам (займам), предусмотренным абзацем пятым подпункта "а" пункта 1 настоящего Положения, возмещение части затрат осуществляется по таким договорам с их продлением на срок, не превышающий одного года.
3. В случае подписания по 31 декабря 2012 г. включительно соглашения о продлении срока пользования кредитами (займами) по кредитным договорам (договорам займа), предусмотренным подпунктом "а" пункта 1 настоящего Положения, заключенным до 31 декабря 2012 г. включительно сельскохозяйственными товаропроизводителями, в том числе гражданами, ведущими личное подсобное хозяйство, сельскохозяйственными потребительскими кооперативами и крестьянскими (фермерскими) хозяйствами, сельскохозяйственная продукция которых пострадала в результате воздействия засухи в 2010 году в субъектах Российской Федерации, исполнительные органы которых ввели по факту засухи в установленном порядке режим чрезвычайной ситуации, возмещение части затрат осуществляется по таким договорам с их продлением на срок, не превышающий 3 лет.
4. В случае подписания по 31 декабря 2014 г. включительно соглашения о продлении срока пользования кредитами (займами) по кредитным договорам (договорам займа), предусмотренным подпунктом "а" пункта 1 настоящего Положения, заключенным сельскохозяйственными товаропроизводителями, в том числе гражданами, ведущими личное подсобное хозяйство, сельскохозяйственными потребительскими кооперативами и крестьянскими (фермерскими) хозяйствами, сельскохозяйственная продукция которых пострадала в результате воздействия крупномасштабного наводнения в 2013 году на территориях Республики Саха (Якутия), Приморского и Хабаровского краев, Амурской и Магаданской областей, Еврейской автономной области, возмещение части затрат осуществляется по таким договорам с их продлением на срок, не превышающий 3 лет.
5. При определении предельного срока продления кредитного договора (договора займа) в соответствии с пунктами 2 - 4 настоящего Положения не учитывается продление, осуществленное в пределах сроков, установленных пунктом 1 настоящего Положения.
6. Субсидии предоставляются:
а) в отношении кредитов (займов), предусмотренных подпунктом "а" пункта 1 настоящего Положения, полученных по кредитным договорам (договорам займов), заключенным по 31 декабря 2012 г. включительно, - в размере 95 процентов ставки рефинансирования (учетной ставки) Центрального банка Российской Федерации;
б) в отношении кредитов (займов), предусмотренных подпунктом "а" пункта 1 настоящего Положения, полученных по кредитным договорам (договорам займов), заключенным с 1 января 2013 г., - в размере двух третьих ставки рефинансирования (учетной ставки) Центрального банка Российской Федерации.
7. Средства на возмещение части затрат заемщикам по кредитным договорам (договорам займа), заключенным в соответствии с настоящим Положением, предоставляются по кредитным договорам (договорам займа), заключенным по 31 декабря 2016 г. включительно, на весь срок использования таких кредитных договоров (договоров займа).
8. Орган, уполномоченный высшим исполнительным органом субъекта Российской Федерации (далее - уполномоченный орган), вправе в установленном законодательством Российской Федерации порядке привлекать российские кредитные организации для формирования документов, необходимых для предоставления гражданам, ведущим личное подсобное хозяйство, сельскохозяйственным потребительским кооперативам и крестьянским (фермерским) хозяйствам средств на возмещение части затрат.
По согласованию с российской кредитной организацией и заемщиками средства на возмещение части затрат могут перечисляться одновременно нескольким заемщикам, у которых в указанной организации открыты счета.
Уполномоченный орган после проверки представленных документов, подтверждающих целевое использование кредита (займа), вправе оформить расчет средств на возмещение части затрат по форме, определенной российской кредитной организацией по согласованию с уполномоченным органом, на основании представленного этой кредитной организацией уведомления об остатке ссудной задолженности, о начисленных и уплаченных процентах.
Платежное поручение составляется на общую сумму средств на возмещение части затрат, подлежащих перечислению на счет российской кредитной организации для последующего зачисления этой кредитной организацией средств на возмещение части затрат, отраженных в расчете размера средств на возмещение части затрат, на счета заемщиков.
Уполномоченный орган осуществляет перечисление средств на возмещение части затрат заемщику в срок, не превышающий 30 календарных дней со дня принятия положительного решения о предоставлении государственной поддержки, при наличии в бюджете субъекта Российской Федерации средств на возмещение части затрат.
Приложение N 10
к Государственной программе развития
сельского хозяйства и регулирования
рынков сельскохозяйственной продукции,
сырья и продовольствия
ПРАВИЛА
ПРЕДОСТАВЛЕНИЯ И РАСПРЕДЕЛЕНИЯ СУБСИДИЙ ИЗ ФЕДЕРАЛЬНОГО
БЮДЖЕТА БЮДЖЕТАМ СУБЪЕКТОВ РОССИЙСКОЙ ФЕДЕРАЦИИ В РАМКАХ
РЕАЛИЗАЦИИ МЕРОПРИЯТИЙ ВЕДОМСТВЕННОЙ ПРОГРАММЫ "РАЗВИТИЕ
МЕЛИОРАТИВНОГО КОМПЛЕКСА РОССИИ" И МЕРОПРИЯТИЙ В ОБЛАСТИ
МЕЛИОРАЦИИ ЗЕМЕЛЬ СЕЛЬСКОХОЗЯЙСТВЕННОГО НАЗНАЧЕНИЯ
В РАМКАХ ФЕДЕРАЛЬНОГО ПРОЕКТА "ЭКСПОРТ ПРОДУКЦИИ
АГРОПРОМЫШЛЕННОГО КОМПЛЕКСА"
Утратили силу с 1 января 2022 года. - Постановление Правительства РФ от 14.05.2021 N 731.
Приложение N 11
к Государственной программе развития
сельского хозяйства и регулирования
рынков сельскохозяйственной продукции,
сырья и продовольствия
ПРАВИЛА
ПРЕДОСТАВЛЕНИЯ СУБСИДИИ ИЗ ФЕДЕРАЛЬНОГО БЮДЖЕТА
БЮДЖЕТУ РЕСПУБЛИКИ МАРИЙ ЭЛ НА СОФИНАНСИРОВАНИЕ РАСХОДНЫХ
ОБЯЗАТЕЛЬСТВ, НАПРАВЛЕННЫХ НА РЕАЛИЗАЦИЮ МЕРОПРИЯТИЙ
ИНДИВИДУАЛЬНОЙ ПРОГРАММЫ СОЦИАЛЬНО-ЭКОНОМИЧЕСКОГО
РАЗВИТИЯ РЕСПУБЛИКИ МАРИЙ ЭЛ НА 2020 - 2024 ГОДЫ
1. Настоящие Правила устанавливают цели, условия и порядок предоставления и распределения субсидий из федерального бюджета бюджету Республики Марий Эл в целях софинансирования расходных обязательств Республики Марий Эл, возникающих при реализации мероприятий индивидуальной программы социально-экономического развития Республики Марий Эл на 2020 - 2024 годы, утвержденной распоряжением Правительства Российской Федерации от 8 апреля 2020 г. N 927-р (далее соответственно - индивидуальная программа, субсидии).
2. Субсидии предоставляются в целях софинансирования расходных обязательств Республики Марий Эл, возникающих при осуществлении финансового обеспечения (возмещения) части затрат сельскохозяйственных товаропроизводителей, за исключением граждан, ведущих личное подсобное хозяйство, и сельскохозяйственных кредитных потребительских кооперативов, а также организаций и индивидуальных предпринимателей, осуществляющих производство, первичную и (или) последующую (промышленную) переработку сельскохозяйственной продукции. Субсидии предоставляются в целях софинансирования следующих мероприятий по производству сельскохозяйственной продукции, сырья и продовольствия:
развитие молочного скотоводства, включающее строительство молочных ферм (комплексов), оснащение их сельскохозяйственным оборудованием и техникой, приобретение скота молочных пород;
развитие птицеводства, включающее строительство птицеводческих помещений, оснащение их сельскохозяйственным оборудованием и техникой;
развитие льноводства, включающее приобретение оборудования для возделывания и переработки льна-долгунца;
развитие семеноводства, включающее приобретение оборудования и техники для развития семеноводства (производство семян зерновых и зернобобовых культур, кормовых культур, льна-долгунца, масличных культур);
строительство, реконструкция или модернизация перерабатывающих производств, убойных цехов и приобретение технологического оборудования для их оснащения.
Субсидии предоставляются в целях софинансирования расходных обязательств Республики Марий Эл, возникающих при осуществлении финансового обеспечения (возмещения) части затрат, указанных в абзаце первом настоящего пункта, за исключением затрат, в отношении которых расходные обязательства Республики Марий Эл возникли при осуществлении финансового обеспечения (возмещения) и софинансируются в соответствии с постановлением Правительства Российской Федерации от 27 декабря 2012 г. N 1432 "Об утверждении Правил предоставления субсидий производителям сельскохозяйственной техники", постановлением Правительства Российской Федерации от 24 ноября 2018 г. N 1413 "Об утверждении Правил предоставления и распределения иных межбюджетных трансфертов из федерального бюджета бюджетам субъектов Российской Федерации в целях софинансирования расходных обязательств субъектов Российской Федерации по возмещению части прямых понесенных затрат на создание и (или) модернизацию объектов агропромышленного комплекса", постановлением Правительства Российской Федерации от 5 февраля 2020 г. N 86 "Об утверждении Правил предоставления и распределения субсидий из федерального бюджета бюджетам субъектов Российской Федерации на стимулирование увеличения производства масличных культур", постановлением Правительства Российской Федерации от 12 февраля 2020 г. N 137 "Об утверждении Правил предоставления и распределения иных межбюджетных трансфертов из федерального бюджета бюджетам субъектов Российской Федерации в целях софинансирования расходных обязательств субъектов Российской Федерации, возникающих при возмещении части прямых понесенных затрат на создание и (или) модернизацию объектов по переработке сельскохозяйственной продукции сельскохозяйственным товаропроизводителям, за исключением граждан, ведущих личное подсобное хозяйство, и российским организациям, осуществляющим создание и (или) модернизацию объектов по переработке сельскохозяйственной продукции", приложениями N 6 - 8 к Государственной программе развития сельского хозяйства и регулирования рынков сельскохозяйственной продукции, сырья и продовольствия, утвержденной постановлением Правительства Российской Федерации от 14 июля 2012 г. N 717 "О Государственной программе развития сельского хозяйства и регулирования рынков сельскохозяйственной продукции, сырья и продовольствия" и приложениями 6 и 8 к Государственной программе эффективного вовлечения в оборот земель сельскохозяйственного назначения и развития мелиоративного комплекса Российской Федерации, утвержденной постановлением Правительства Российской Федерации от 14 мая 2021 г. N 731 "О Государственной программе эффективного вовлечения в оборот земель сельскохозяйственного назначения и развития мелиоративного комплекса Российской Федерации".
С 1 января 2025 г. средства из бюджета Республики Марий Эл, источником софинансирования которых являются субсидии, предоставляются в рамках настоящих Правил на финансовое обеспечение (возмещение) части затрат сельскохозяйственных товаропроизводителей, за исключением граждан, ведущих личное подсобное хозяйство, и сельскохозяйственных кредитных потребительских кооперативов, а также организаций и индивидуальных предпринимателей, осуществляющих производство, первичную и (или) последующую (промышленную) переработку сельскохозяйственной продукции, при условии документального подтверждения наличия у указанных получателей средств прав пользования земельными участками, на которых осуществляется или планируется осуществлять сельскохозяйственное производство.
3. Субсидии предоставляются в пределах лимитов бюджетных обязательств, доведенных до Министерства сельского хозяйства Российской Федерации как получателя средств федерального бюджета на предоставление субсидий на цели, указанные в пункте 2 настоящих Правил.
4. Результатами использования субсидий являются:
а) произведено молока сверх среднего объема производства молока в сельскохозяйственных организациях, крестьянских (фермерских) хозяйствах, включая индивидуальных предпринимателей, за 5 лет, предшествующих текущему финансовому году (тыс. тонн);
б) прирост объема производства инкубационного яйца в сельскохозяйственных организациях, крестьянских (фермерских) хозяйствах, включая индивидуальных предпринимателей, за отчетный год по отношению к предыдущему году (млн. штук);
в) прирост посевных площадей льна-долгунца в сельскохозяйственных организациях, крестьянских (фермерских) хозяйствах, включая индивидуальных предпринимателей, за отчетный год по отношению к предыдущему году (тыс. гектаров);
г) прирост объема переработки льна-долгунца в сельскохозяйственных организациях, крестьянских (фермерских) хозяйствах, включая индивидуальных предпринимателей, за отчетный год по отношению к предыдущему году (тыс. тонн);
д) введение в оборот неиспользуемых земель сельскохозяйственного назначения (тыс. гектаров);
е) переработана сельскохозяйственная продукция сельскохозяйственными товаропроизводителями (за исключением граждан, ведущих личное подсобное хозяйство, и сельскохозяйственных потребительских кооперативов), а также организациями, осуществляющими первичную и (или) последующую (промышленную) переработку сельскохозяйственной продукции (тыс. тонн);
ж) высеяны семена, отвечающие сортовым и посевным качествам, зерновых и зернобобовых культур, кормовых культур, льна-долгунца, масличных культур в сельскохозяйственных организациях, крестьянских (фермерских) хозяйствах, включая индивидуальных предпринимателей (тыс. тонн);
з) количество созданных рабочих мест в результате реализации инвестиционных проектов в Республике Марий Эл (единиц);
и) увеличение налоговых поступлений в консолидированный бюджет Республики Марий Эл (млн. рублей).
5. Предельный уровень софинансирования расходных обязательств Республики Марий Эл из федерального бюджета определяется в соответствии с пунктом 13 Правил формирования, предоставления и распределения субсидий из федерального бюджета бюджетам субъектов Российской Федерации, утвержденных постановлением Правительства Российской Федерации от 30 сентября 2014 г. N 999 "О формировании, предоставлении и распределении субсидий из федерального бюджета бюджетам субъектов Российской Федерации" (далее - Правила формирования субсидий).
6. Субсидии предоставляются бюджету Республики Марий Эл при соблюдении следующих условий:
а) наличие нормативного правового акта Республики Марий Эл, необходимого для реализации индивидуальной программы и утверждающего перечень мероприятий, в целях софинансирования которых предоставляются субсидии, утвержденного в 2-месячный срок со дня принятия акта Правительства Российской Федерации о выделении бюджетных ассигнований Министерству сельского хозяйства Российской Федерации для предоставления субсидий;
б) наличие в бюджете Республики Марий Эл бюджетных ассигнований на исполнение расходного обязательства Республики Марий Эл, софинансирование которого осуществляется из федерального бюджета, в размере, необходимом для его исполнения, включающем размер планируемых к предоставлению субсидий, и порядок определения размера указанных ассигнований, если иное не установлено актами Президента Российской Федерации или актами Правительства Российской Федерации;
в) заключение между Министерством сельского хозяйства Российской Федерации и высшим исполнительным органом Республики Марий Эл соглашения о предоставлении субсидий в соответствии с пунктом 10 Правил формирования субсидий (далее - соглашение).
7. Объем бюджетных ассигнований бюджета Республики Марий Эл на финансовое обеспечение расходных обязательств Республики Марий Эл, софинансируемых за счет субсидий, по мероприятиям, указанным в пункте 2 настоящих Правил, утверждается законом о бюджете Республики Марий Эл исходя из необходимости достижения результатов использования субсидий, предусмотренных пунктом 4 настоящих Правил.
8. Субсидии предоставляются на основании соглашения, подготавливаемого (формируемого) с использованием государственной интегрированной информационной системы управления общественными финансами "Электронный бюджет" в соответствии с типовой формой, утвержденной Министерством финансов Российской Федерации.
9. Уполномоченный исполнительный орган Республики Марий Эл представляет в Министерство сельского хозяйства Российской Федерации следующие документы:
а) выписка из закона Республики Марий Эл о бюджете Республики Марий Эл (сводной бюджетной росписи бюджета Республики Марий Эл) и (или) муниципального правового акта представительного органа муниципального образования о местном бюджете (сводной бюджетной росписи местного бюджета), подтверждающая наличие утвержденных в бюджете Республики Марий Эл (местном бюджете) бюджетных ассигнований на финансовое обеспечение указанных в пункте 2 настоящих Правил расходных обязательств Республики Марий Эл (расходных обязательств муниципальных образований, в целях софинансирования которых бюджету Республики Марий Эл предоставляются субсидии), - не позднее 30 дней со дня заключения соглашения;
б) документ, содержащий информацию об использовании средств бюджета Республики Марий Эл, в целях софинансирования расходных обязательств которых предоставляются субсидии, с приложением перечня получателей средств - по форме и в срок, которые устанавливаются Министерством сельского хозяйства Российской Федерации;
в) отчет о достижении значений результатов использования субсидий и об обязательствах, принятых в целях их достижения, подготавливаемый (формируемый) с использованием государственной интегрированной информационной системы управления общественными финансами "Электронный бюджет", в порядке и сроки, которые установлены соглашением;
г) отчет о расходах, в целях софинансирования которых предоставляются субсидии, в порядке и сроки, которые установлены соглашением.
10. Перечисление субсидий осуществляется в установленном порядке на единый счет бюджета, открытый финансовому органу субъекта Российской Федерации в территориальном органе Федерального казначейства.
11. Оценка эффективности использования субсидий осуществляется Министерством сельского хозяйства Российской Федерации ежегодно на основании сравнения установленных соглашением плановых значений результатов использования субсидий и фактических результатов использования субсидий.
12. Возврат средств Республики Марий Эл из бюджета Республики Марий Эл в федеральный бюджет в случае нарушения обязательств, предусмотренных соглашением, в части, касающейся достижения результатов использования субсидий и (или) достижения значений указанных результатов, включая порядок расчета размера средств, подлежащих возврату, сроки возврата и основания для освобождения Республики Марий Эл от возврата таких средств, осуществляется в соответствии с пунктами 16 - 18 и 20 Правил формирования субсидий.
13. Ответственность за достоверность представляемых в Министерство сельского хозяйства Российской Федерации сведений и соблюдение условий, предусмотренных настоящими Правилами и соглашением, возлагается на уполномоченный исполнительный орган Республики Марий Эл.
14. Контроль за соблюдением Республикой Марий Эл целей, условий и порядка предоставления субсидий осуществляется Министерством сельского хозяйства Российской Федерации и уполномоченными органами государственного финансового контроля.
15. В случае нарушения целей, установленных при предоставлении субсидии, применяются бюджетные меры принуждения, предусмотренные бюджетным законодательством Российской Федерации.
Приложение N 11(1)
к Государственной программе развития
сельского хозяйства и регулирования
рынков сельскохозяйственной продукции,
сырья и продовольствия
ПРАВИЛА
ПРЕДОСТАВЛЕНИЯ И РАСПРЕДЕЛЕНИЯ СУБСИДИЙ ИЗ ФЕДЕРАЛЬНОГО
БЮДЖЕТА БЮДЖЕТАМ СУБЪЕКТОВ РОССИЙСКОЙ ФЕДЕРАЦИИ
НА СТИМУЛИРОВАНИЕ УВЕЛИЧЕНИЯ ПРОИЗВОДСТВА
МАСЛИЧНЫХ КУЛЬТУР
1. Настоящие Правила устанавливают цели, условия и порядок предоставления и распределения субсидий из федерального бюджета бюджетам субъектов Российской Федерации на стимулирование увеличения производства масличных культур (далее - субсидии).
В настоящих Правилах под масличными культурами понимаются бобы соевые и (или) семена рапса.
2. Субсидии предоставляются в целях софинансирования расходных обязательств субъектов Российской Федерации по финансовому обеспечению (возмещению) части затрат (без учета налога на добавленную стоимость) на производство масличных культур, возникающих при реализации региональных проектов субъектов Российской Федерации, предусматривающих предоставление средств из бюджетов субъектов Российской Федерации сельскохозяйственным товаропроизводителям (за исключением граждан, ведущих личное подсобное хозяйство, и сельскохозяйственных кредитных потребительских кооперативов), научным организациям, профессиональным образовательным организациям, образовательным организациям высшего образования, которые в процессе научной, научно-технической и (или) образовательной деятельности осуществляют производство масличных культур, их первичную и последующую (промышленную) переработку, а также организациям и индивидуальным предпринимателям, осуществляющим производство, первичную и (или) последующую (промышленную) переработку масличных культур и (или) их реализацию (далее соответственно - региональные проекты, средства, получатели средств).
Для получателей средств, использующих право на освобождение от исполнения обязанностей налогоплательщика, связанных с исчислением и уплатой налога на добавленную стоимость, финансовое обеспечение (возмещение) части затрат осуществляется исходя из суммы расходов на приобретение товаров (работ, услуг), включая сумму налога на добавленную стоимость.
3. Предоставление субсидий не должно дублировать иные мероприятия государственной поддержки в рамках реализации мероприятий Государственной программы развития сельского хозяйства и регулирования рынков сельскохозяйственной продукции, сырья и продовольствия, утвержденной постановлением Правительства Российской Федерации от 14 июля 2012 г. N 717 "О Государственной программе развития сельского хозяйства и регулирования рынков сельскохозяйственной продукции, сырья и продовольствия".
4. Субсидии предоставляются в пределах лимитов бюджетных обязательств, доведенных до Министерства сельского хозяйства Российской Федерации как получателя средств федерального бюджета на предоставление субсидий на цели, указанные в пункте 2 настоящих Правил.
5. Средства предоставляются получателям средств на финансовое обеспечение (возмещение) части затрат на производство масличных культур по ставкам из расчета на 1 тонну прироста объема производства масличных культур.
Ставки, предусмотренные настоящим пунктом, определяются исполнительным органом субъекта Российской Федерации, уполномоченным высшим исполнительным органом субъекта Российской Федерации (далее - уполномоченный орган).
6. Средства предоставляются получателям средств с учетом следующих условий:
а) осуществление получателем средств деятельности по производству масличных культур;
б) достижение в финансовом году предоставления субсидии (далее - отчетный финансовый год) значения результата использования субсидии в соответствии с заключенным между субъектом Российской Федерации и получателем средств соглашением;
в) использование семян масличных культур, сорта или гибриды которых внесены в Государственный реестр селекционных достижений, а также при условии, что сортовые и посевные качества таких семян соответствуют ГОСТ Р 52325-2005 при производстве конкретного вида продукции растениеводства;
г) внесение удобрений, используемых при производстве масличных культур, в объеме, установленном уполномоченным органом;
д) с 1 января 2025 г. при условии документального подтверждения наличия у получателя средств прав пользования земельными участками, на которых осуществляется или планируется осуществлять производство масличных культур.
7. При определении размера ставок, предусмотренных пунктом 5 настоящих Правил, к ставке применяются одновременно следующие коэффициенты:
а) в случае выполнения получателем средств условия по достижению в отчетном финансовом году значения результата, предусмотренного подпунктом "б" пункта 6 настоящих Правил, - повышающий коэффициент в размере, равном отношению фактического значения результата за отчетный финансовый год к установленному значению, но не выше 1,2;
б) в случае невыполнения получателем средств условия по достижению в отчетном финансовом году значения результата, предусмотренного подпунктом "б" пункта 6 настоящих Правил, - коэффициент в размере, равном отношению фактического значения результата за отчетный финансовый год к установленному значению;
в) в случае невыполнения получателем средств условий, предусмотренных подпунктами "в" и "г" пункта 6 настоящих Правил, - коэффициент 0,25, начиная с 1 января 2023 г. - коэффициент 0.
8. Субсидии предоставляются бюджетам субъектов Российской Федерации при соблюдении следующих условий:
а) наличие правовых актов субъекта Российской Федерации, утверждающих перечень мероприятий, при реализации которых возникают расходные обязательства субъекта Российской Федерации, в целях софинансирования которых предоставляется субсидия, в соответствии с требованиями нормативных правовых актов Российской Федерации;
б) наличие в бюджете субъекта Российской Федерации бюджетных ассигнований на исполнение расходного обязательства субъекта Российской Федерации, софинансирование которого осуществляется из федерального бюджета, в объеме, необходимом для его исполнения;
в) заключение соглашения между Министерством сельского хозяйства Российской Федерации и высшим исполнительным органом субъекта Российской Федерации о предоставлении субсидии (далее - соглашение) в соответствии с пунктом 10 Правил формирования, предоставления и распределения субсидий из федерального бюджета бюджетам субъектов Российской Федерации, утвержденных постановлением Правительства Российской Федерации от 30 сентября 2014 г. N 999 "О формировании, предоставлении и распределении субсидий из федерального бюджета бюджетам субъектов Российской Федерации" (далее - Правила формирования субсидий). Соглашение и дополнительные соглашения к соглашению, предусматривающие внесение в него изменений и его расторжение, подготавливаются (формируются) и заключаются в государственной интегрированной информационной системе управления общественными финансами "Электронный бюджет" в соответствии с типовыми формами, утвержденными Министерством финансов Российской Федерации.
9. Критерием отбора субъекта Российской Федерации для предоставления субсидии является наличие нормативных правовых актов субъекта Российской Федерации, устанавливающих порядок и условия предоставления из бюджета субъекта Российской Федерации средств, в целях софинансирования предоставления которых бюджету субъекта Российской Федерации предоставляется субсидия, размеры ставок, перечень документов, необходимых для получения указанных средств, и срок их рассмотрения, не превышающий 15 рабочих дней, а также требования, предъявляемые к получателям средств, установленные в том числе пунктом 6 настоящих Правил.
10. Размер субсидии, предоставляемой бюджету i-го субъекта Российской Федерации в соответствующем финансовом году (Wi), определяется по формуле:
![]()
где:
V - объем бюджетных ассигнований, предусмотренных в федеральном бюджете на соответствующий финансовый год для предоставления субсидий;
Yi - предельный уровень софинансирования расходного обязательства i-го субъекта Российской Федерации из федерального бюджета на очередной финансовый год (в процентах), определяемый в соответствии с пунктом 13(1.1) Правил формирования субсидий;
n - количество субъектов Российской Федерации, на территориях которых осуществляется деятельность по производству масличных культур и которые реализуют региональные проекты;
DVпрi - доля неотрицательного прироста планового объема производства масличных культур на соответствующий финансовый год к среднему показателю по валовому сбору масличных культур в i-м субъекте Российской Федерации за 5 лет, предшествующих соответствующему финансовому году, в i-м субъекте Российской Федерации в общем приросте планового объема производства масличных культур на соответствующий финансовый год, определяемая по формуле:

где:
ki - коэффициент увеличения показателя i-го субъекта Российской Федерации. Для Республики Крым и г. Севастополя значение коэффициента равно 3, для субъектов Российской Федерации, входящих в состав Дальневосточного федерального округа, - 1,5, для других субъектов Российской Федерации - 1;
VSi - плановые показатели на соответствующий финансовый год по валовому сбору масличных культур в i-м субъекте Российской Федерации на основании данных субъектов Российской Федерации, представленных в Министерство сельского хозяйства Российской Федерации в порядке и по форме, которые утверждены Министерством;
SPRi - средний показатель по валовому сбору масличных культур в i-м субъекте Российской Федерации за 5 лет, предшествующих соответствующему финансовому году, на основании данных Федеральной службы государственной статистики.
11. Распределение субсидий устанавливается федеральным законом о федеральном бюджете на очередной финансовый год и плановый период.
В случае отсутствия у субъектов Российской Федерации в текущем финансовом году потребности в субсидиях невостребованные бюджетные ассигнования на предоставление субсидий перераспределяются между другими субъектами Российской Федерации, имеющими право на получение субсидий в соответствии с настоящими Правилами, на основании письменных обращений уполномоченных органов.
12. Перечисление субсидий осуществляется в установленном порядке на единые счета бюджетов, открытые финансовым органам субъектов Российской Федерации в территориальных органах Федерального казначейства.
13. Уполномоченный орган представляет в Министерство сельского хозяйства Российской Федерации следующие документы:
а) выписка из закона субъекта Российской Федерации о бюджете субъекта Российской Федерации и (или) выписка из сводной бюджетной росписи бюджета субъекта Российской Федерации, подтверждающая наличие в утвержденном бюджете субъекта Российской Федерации бюджетных ассигнований на исполнение расходного обязательства субъекта Российской Федерации, софинансирование которого осуществляется из федерального бюджета, в объеме, необходимом для его исполнения, - в срок не позднее 30 календарных дней со дня заключения соглашения;
б) документ, содержащий информацию об использовании средств бюджетов субъектов Российской Федерации, в целях софинансирования расходных обязательств которых предоставляется субсидия, с приложением перечня получателей средств - по форме и в срок, которые устанавливаются Министерством сельского хозяйства Российской Федерации;
в) отчет о финансово-экономическом состоянии товаропроизводителей агропромышленного комплекса - по форме и в срок, которые устанавливаются Министерством сельского хозяйства Российской Федерации;
г) отчет о достижении значений результата использования субсидии - по форме и в срок, которые устанавливаются соглашением.
14. Эффективность использования субсидии (Эi) оценивается ежегодно Министерством сельского хозяйства Российской Федерации на основании достижения значения результата использования субсидии - прироста объема производства масличных культур в текущем финансовом году по отношению к среднему показателю по валовому сбору масличных культур в субъекте Российской Федерации за 5 лет, предшествующих текущему финансовому году (тыс. тонн), и определяется по формуле:
![]()
где:
Xф - фактическое значение результата использования субсидии по итогам отчетного финансового года;
Xц - плановое значение результата использования субсидии, предусмотренное соглашением на отчетный финансовый год.
15. В случае если при формировании проекта федерального закона о федеральном бюджете на очередной финансовый год и плановый период субъектом Российской Федерации до 10 августа текущего финансового года представлено в Министерство сельского хозяйства Российской Федерации обращение, содержащее информацию об отсутствии частичной или полной потребности в субсидии, невостребованные бюджетные ассигнования на предоставление субсидии распределяются между другими субъектами Российской Федерации, имеющими право на ее получение, в соответствии с пунктом 10 настоящих Правил.
16. Возврат субъектами Российской Федерации средств из бюджета субъекта Российской Федерации в доход федерального бюджета в случае нарушения обязательств, предусмотренных соглашением, в части, касающейся достижения значения результата использования субсидии, включая порядок расчета размера средств, подлежащих возврату, сроки возврата и основания для освобождения субъектов Российской Федерации от применения мер ответственности за нарушение указанных обязательств, осуществляется в соответствии с пунктами 16 - 18 и 20 Правил формирования субсидий.
17. Ответственность за достоверность представляемых в Министерство сельского хозяйства Российской Федерации сведений и соблюдение условий, предусмотренных настоящими Правилами и соглашением, возлагается на уполномоченный орган.
18. Контроль за соблюдением субъектами Российской Федерации условий предоставления субсидий осуществляется Министерством сельского хозяйства Российской Федерации и уполномоченными органами государственного финансового контроля.
Приложение N 12
к Государственной программе развития
сельского хозяйства и регулирования
рынков сельскохозяйственной продукции,
сырья и продовольствия
ПРАВИЛА
ПРЕДОСТАВЛЕНИЯ И РАСПРЕДЕЛЕНИЯ СУБСИДИЙ ИЗ ФЕДЕРАЛЬНОГО
БЮДЖЕТА БЮДЖЕТАМ СУБЪЕКТОВ РОССИЙСКОЙ ФЕДЕРАЦИИ НА РАЗВИТИЕ
СЕЛЬСКОГО ТУРИЗМА
1. Настоящие Правила устанавливают цели, условия и порядок предоставления и распределения субсидий из федерального бюджета бюджетам субъектов Российской Федерации в целях софинансирования расходных обязательств субъектов Российской Федерации по предоставлению сельскохозяйственным товаропроизводителям (за исключением личных подсобных хозяйств), относящимся к категории "малое предприятие" или "микропредприятие" в соответствии с Федеральным законом "О развитии малого и среднего предпринимательства в Российской Федерации", грантов на развитие сельского туризма в рамках федерального проекта "Развитие сельского туризма" Государственной программы развития сельского хозяйства и регулирования рынков сельскохозяйственной продукции, сырья и продовольствия, утвержденной постановлением Правительства Российской Федерации от 14 июля 2012 г. N 717 "О Государственной программе развития сельского хозяйства и регулирования рынков сельскохозяйственной продукции, сырья и продовольствия" (далее соответственно - субсидии, Государственная программа).
2. Используемые в настоящих Правилах понятия означают следующее:
"грант "Агротуризм" - средства бюджета субъекта Российской Федерации, предоставляемые получателю средств на финансовое обеспечение его затрат, связанных с реализацией проекта развития сельского туризма;
"заявитель" - сельскохозяйственный товаропроизводитель (за исключением личных подсобных хозяйств), относящийся к категории "малое предприятие" или "микропредприятие" в соответствии с Федеральным законом "О развитии малого и среднего предпринимательства в Российской Федерации", зарегистрированный и осуществляющий деятельность на сельской территории или на территории сельской агломерации субъекта Российской Федерации, обязующийся осуществлять деятельность в течение не менее 5 лет на сельской территории или на территории сельской агломерации со дня получения гранта "Агротуризм" и достигнуть показателей деятельности, предусмотренных проектом развития сельского туризма;
"плановые показатели деятельности" - производственные и экономические показатели, включаемые в проект развития сельского туризма, в том числе объем производства и реализации сельскохозяйственной продукции, выраженный в натуральных и денежных показателях, объем дохода, полученного в рамках реализации проекта сельского туризма, плановое количество туристов и экскурсантов, посетивших объекты сельского туризма сельскохозяйственных товаропроизводителей (за исключением личных подсобных хозяйств), относящихся к категории "малое предприятие" или "микропредприятие" в соответствии с Федеральным законом "О развитии малого и среднего предпринимательства в Российской Федерации", получивших грант "Агротуризм", и иные показатели, предусмотренные проектом развития сельского туризма. Исполнительным органом субъекта Российской Федерации, уполномоченным высшим исполнительным органом субъекта Российской Федерации (далее - уполномоченный орган), при необходимости устанавливаются дополнительные плановые показатели деятельности;
"получатель средств" - заявитель, проект развития сельского туризма которого прошел конкурсный отбор в соответствии с пунктом 4 настоящих Правил;
"проект развития сельского туризма" - документ (бизнес-план), составленный по форме, утверждаемой Министерством сельского хозяйства Российской Федерации, предусматривающий реализацию мероприятий, направленных на создание и (или) развитие объектов сельского туризма, в который включаются в том числе затраты на реализацию проекта развития сельского туризма, предусмотренные в перечне затрат, финансовое обеспечение которых допускается осуществлять за счет средств гранта "Агротуризм", финансово-экономическое обоснование, предусматривающее срок окупаемости проекта развития сельского туризма, не превышающий 5 лет, плановые показатели деятельности, обязательство по достижению которых включается в соглашение о предоставлении гранта "Агротуризм" получателю средств. Случаи и порядок внесения изменений в проект развития сельского туризма определяются Министерством сельского хозяйства Российской Федерации;
"сельские территории" - сельские поселения или сельские поселения и межселенные территории, объединенные общей территорией в границах муниципального района, сельские населенные пункты, входящие в состав городских поселений, муниципальных округов, городских округов (за исключением городских округов, на территориях которых находятся административные центры субъектов Российской Федерации), сельские населенные пункты, входящие в состав внутригородских муниципальных образований г. Севастополя, рабочие поселки, наделенные статусом городских поселений, рабочие поселки, входящие в состав городских поселений, муниципальных округов, городских округов (за исключением городских округов, на территориях которых находятся административные центры субъектов Российской Федерации). Перечень таких сельских населенных пунктов и рабочих поселков на территории субъекта Российской Федерации определяется высшим исполнительным органом субъекта Российской Федерации или уполномоченным органом. В указанное понятие не входят внутригородские муниципальные образования гг. Москвы и Санкт-Петербурга;
"сельские агломерации" - примыкающие друг к другу сельские территории и (или) граничащие с сельскими территориями поселки городского типа и (или) малые города. Численность населения, постоянно проживающего на территории каждого населенного пункта, входящего в состав сельской агломерации, не может превышать 30 тыс. человек. Под примыкающими друг к другу сельскими территориями понимаются сельские территории, имеющие смежные границы муниципальных образований. Перечень сельских агломераций на территории субъекта Российской Федерации определяется органом исполнительной власти. В указанное понятие не входят внутригородские муниципальные образования гг. Москвы и Санкт-Петербурга;
"срок окупаемости проекта развития сельского туризма" - период, за который сумма чистого денежного потока, генерируемого проектом развития сельского туризма, превысит сумму вложенных в него средств.
3. Субсидии предоставляются в пределах лимитов бюджетных обязательств, доведенных до Министерства сельского хозяйства Российской Федерации как получателя средств федерального бюджета на предоставление субсидии на цели, указанные в пункте 1 настоящих Правил, начиная с 1 января 2022 г.
4. Субсидии предоставляются по результатам конкурсного отбора проектов развития сельского туризма, проведенного в порядке, установленном Министерством сельского хозяйства Российской Федерации (далее - отбор).
Для направления проекта развития сельского туризма на отбор в Министерство сельского хозяйства Российской Федерации заявитель направляет в уполномоченный орган заявку с приложением документов для участия в отборе. Перечень, требования к заявке и документам для участия в отборе и форма их представления, а также требования к заявителям для участия в отборе устанавливаются Министерством сельского хозяйства Российской Федерации.
Абзац утратил силу. - Постановление Правительства РФ от 13.11.2024 N 1535.
5. Проекты развития сельского туризма представляются на отбор в Министерство сельского хозяйства Российской Федерации уполномоченным органом того субъекта Российской Федерации, на сельской территории или территории сельской агломерации которого планируется реализация проекта развития сельского туризма.
Для организации отбора Министерство сельского хозяйства Российской Федерации формирует комиссию по организации и проведению отбора проектов (далее - комиссия).
6. Для получателей средств, использующих право на освобождение от исполнения обязанностей налогоплательщика, связанных с исчислением и уплатой налога на добавленную стоимость, финансовое обеспечение части их затрат осуществляется исходя из суммы расходов на приобретение товаров (работ, услуг), включая сумму налога на добавленную стоимость.
7. Грант "Агротуризм" предоставляется заявителю на реализацию проекта развития сельского туризма в размере:
до 3 млн. рублей (включительно) - при направлении на реализацию проекта развития сельского туризма собственных средств заявителя в размере не менее 10 процентов стоимости проекта;
до 5 млн. рублей (включительно) - при направлении на реализацию проекта развития сельского туризма собственных средств заявителя в размере не менее 15 процентов стоимости проекта;
до 8 млн. рублей (включительно) - при направлении на реализацию проекта развития сельского туризма собственных средств заявителя в размере не менее 20 процентов стоимости проекта;
до 10 млн. рублей (включительно) - при направлении на реализацию проекта развития сельского туризма собственных средств заявителя в размере не менее 25 процентов стоимости проекта.
Целевые направления расходования гранта "Агротуризм" определяются Министерством сельского хозяйства Российской Федерации по согласованию с Министерством финансов Российской Федерации. Грант "Агротуризм" предоставляется однократно.
8. Грант "Агротуризм" предоставляется заявителю с учетом следующих условий:
а) срок освоения средств гранта "Агротуризм" составляет не более 18 месяцев со дня получения указанных средств. В случае наступления обстоятельств непреодолимой силы, препятствующих освоению средств гранта "Агротуризм" в установленный срок, срок освоения средств гранта "Агротуризм" может быть продлен по решению уполномоченного органа, но не более чем на 6 месяцев, в порядке, установленном уполномоченным органом. Основанием для принятия уполномоченным органом решения о продлении срока использования гранта "Агротуризм" является документальное подтверждение получателем средств наступления обстоятельств непреодолимой силы, препятствующих использованию средств гранта в установленный срок. В субъектах Российской Федерации, пострадавших в результате обстрелов со стороны вооруженных формирований Украины и (или) террористических актов, срок использования средств гранта "Агротуризм" составляет не более 30 месяцев с даты получения указанных средств.
Абзацы второй - третий утратили силу. - Постановление Правительства РФ от 09.02.2023 N 186;
б) отчуждение имущества, приобретенного за счет средств гранта "Агротуризм", допускается только при согласовании с Министерством сельского хозяйства Российской Федерации, а также при условии неухудшения плановых показателей деятельности, предусмотренных проектом развития сельского туризма и соглашением, заключаемым между заявителем и уполномоченным органом;
в) финансовое обеспечение затрат заявителя, предусмотренных проектом развития сельского туризма, за счет иных направлений государственной поддержки не допускается;
г) размер гранта "Агротуризм", предоставляемого конкретному заявителю, определяется комиссией в зависимости от размера собственных средств заявителя, направленных на реализацию проекта развития сельского туризма. Если размер гранта, предоставляемого заявителю в соответствии с решением комиссии, меньше запрашиваемой в заявке суммы, заявитель вправе привлечь дополнительно внебюджетные средства в целях реализации проекта сельского туризма в полном объеме согласно бюджету, указанному в заявке, или отказаться от получения гранта, о чем должен проинформировать Министерство сельского хозяйства Российской Федерации и уполномоченный орган в течение 10 календарных дней со дня опубликования протокола заседания комиссии;
д) приобретение за счет гранта "Агротуризм" имущества, ранее приобретенного за счет иных форм государственной поддержки, не допускается;
е) у заявителя по состоянию на дату не ранее 1-го числа месяца, предшествующего месяцу, в котором планируется подача документов в уполномоченный орган для участия в отборе, должны отсутствовать неисполненные обязанности по уплате налогов, сборов, страховых взносов, пеней, штрафов и процентов, подлежащих уплате в соответствии с законодательством Российской Федерации о налогах и сборах, в сумме, превышающей 30 тыс. рублей;
ж) в соответствии со статьей 242.25 Бюджетного кодекса Российской Федерации средства гранта "Агротуризм", предоставляемые получателю средств, подлежат казначейскому сопровождению по решению высшего исполнительного органа субъекта Российской Федерации или уполномоченного органа.
8(1). В случае призыва получателя средств на военную службу в Вооруженные Силы Российской Федерации для выполнения задач в ходе специальной военной операции на территориях Донецкой Народной Республики, Луганской Народной Республики и Украины начиная с 24 февраля 2022 г., а на территориях Запорожской области и Херсонской области - с 30 сентября 2022 г. (далее - призыв на военную службу) уполномоченный орган принимает одно из следующих решений:
признание проекта развития сельского туризма завершенным, в случае если средства гранта "Агротуризм" использованы в полном объеме, а в отношении получателя средств в связи с призывом на военную службу осуществлена государственная регистрация прекращения деятельности в качестве индивидуального предпринимателя или прекращения крестьянского (фермерского) хозяйства. При этом получатель средств освобождается от ответственности за недостижение плановых показателей деятельности;
обеспечение возврата средств гранта "Агротуризм" в бюджет субъекта Российской Федерации, из которого были перечислены средства гранта "Агротуризм", в объеме неиспользованных средств гранта "Агротуризм", в случае если средства гранта "Агротуризм" не использованы или использованы не в полном объеме, а в отношении получателя средств в связи с призывом на военную службу осуществлена государственная регистрация прекращения деятельности в качестве индивидуального предпринимателя или прекращения крестьянского (фермерского) хозяйства. При этом проект развития сельского туризма признается завершенным, а получатель средств освобождается от ответственности за недостижение плановых показателей деятельности.
Указанные в абзацах втором и третьем настоящего пункта решения принимаются уполномоченным органом по заявлению получателя средств при представлении им документа, подтверждающего призыв на военную службу, и (или) в соответствии с полученными от призывной комиссии субъекта Российской Федерации (муниципального образования), которой получатель средств призывался на военную службу, сведениями о призыве получателя средств на военную службу. Копии указанных в абзацах втором и третьем настоящего пункта решений направляются в Министерство сельского хозяйства Российской Федерации не позднее 5 рабочих дней с даты принятия соответствующего решения.
8(2). В процессе реализации проекта развития сельского туризма в случае призыва главы крестьянского (фермерского) хозяйства, являющегося получателем средств, на военную службу допускается его смена по решению членов данного крестьянского (фермерского) хозяйства в порядке, установленном законодательством Российской Федерации, что не влечет изменения (прекращения) статуса крестьянского (фермерского) хозяйства в качестве получателя средств. При этом уполномоченный орган осуществляет замену главы такого крестьянского (фермерского) хозяйства в соглашении о предоставлении гранта "Агротуризм" получателю средств, а новый глава крестьянского (фермерского) хозяйства осуществляет дальнейшую реализацию проекта развития сельского туризма в соответствии с указанным соглашением.
8(3). Получатели средств, пострадавшие в результате обстрелов со стороны вооруженных формирований Украины и (или) террористических актов, освобождаются от ответственности за недостижение плановых показателей деятельности в порядке, определяемом уполномоченным органом, при условии документального подтверждения факта причинения в результате обстрелов со стороны вооруженных формирований Украины и (или) террористических актов ущерба имуществу, которое используется для осуществления деятельности получателя средств.
8(4). В случае если в процессе реализации проекта развития сельского туризма категория получателя средств "малое предприятие" изменилась на категорию "среднее предприятие" в соответствии с Федеральным законом "О развитии малого и среднего предпринимательства в Российской Федерации", реализация проекта развития сельского туризма продолжается данным получателем средств с уведомлением комиссии о смене категории и приложением выписки из единого реестра субъектов малого и среднего предпринимательства.
9. Субсидия предоставляется при соблюдении субъектом Российской Федерации условий, предусмотренных абзацами первым - четвертым пункта 8 Правил формирования, предоставления и распределения субсидий из федерального бюджета бюджетам субъектов Российской Федерации, утвержденных постановлением Правительства Российской Федерации от 30 сентября 2014 г. N 999 "О формировании, предоставлении и распределении субсидий из федерального бюджета бюджетам субъектов Российской Федерации" (далее - Правила формирования субсидий).
10. Критерием отбора субъекта Российской Федерации для предоставления субсидии является наличие проекта (проектов) развития сельского туризма, прошедшего (прошедших) отбор.
11. Предоставление субсидий осуществляется на основании соглашения о предоставлении субсидии, заключаемого между Министерством сельского хозяйства Российской Федерации и высшим исполнительным органом субъекта Российской Федерации (далее - соглашение), подготавливаемого (формируемого) с использованием государственной интегрированной информационной системы управления общественными финансами "Электронный бюджет" и в соответствии с типовой формой соглашения, утвержденной Министерством финансов Российской Федерации.
12. Размер субсидии, предоставляемой бюджету i-го субъекта Российской Федерации в соответствующем финансовом году (Ci), определяется по формуле:
![]()
где:
C - общий объем бюджетных ассигнований федерального бюджета на предоставление субсидии на соответствующий финансовый год;
n - количество проектов развития сельского туризма, прошедших отбор;
xi1, xi2, xin, - размер гранта "Агротуризм", предусмотренного на реализацию каждого проекта развития сельского туризма, прошедшего отбор в i-м субъекте Российской Федерации;
Yi - предельный уровень софинансирования расходного обязательства i-го субъекта Российской Федерации из федерального бюджета на очередной финансовый год (процентов), определяемый в соответствии с пунктом 13 Правил формирования субсидий;
Кei - коэффициент эффективности реализации проектов, определяемый по результатам проведения процедуры деления на категории (далее - рейтингование) субъектов Российской Федерации, установленной абзацем третьим пункта 16 настоящих Правил, принимается равным:
1 - для субъектов Российской Федерации, которым по итогам проведенного рейтингования присвоена категория "высокий уровень эффективности реализации проектов развития сельского туризма";
0,8 - для субъектов Российской Федерации, которым по итогам проведенного рейтингования присвоена категория "уровень эффективности выше среднего уровня эффективности реализации проектов развития сельского туризма";
0,6 - для субъектов Российской Федерации, которым по итогам проведенного рейтингования присвоена категория "уровень эффективности ниже среднего уровня эффективности реализации проектов развития сельского туризма";
0 - для субъектов Российской Федерации, которым по итогам проведенного рейтингования присвоена категория "низкий уровень эффективности реализации проектов развития сельского туризма".
В случае если по состоянию на 1 июля текущего финансового года отношение размера средств, предоставленных в текущем финансовом году из бюджета субъекта Российской Федерации получателям средств, к общему размеру субсидии, предоставленной указанному субъекту Российской Федерации, составляет 50 процентов и менее, то при расчете субсидии на очередной финансовый год к размеру субсидии субъекта Российской Федерации, рассчитанному в соответствии с настоящим пунктом, Министерство сельского хозяйства Российской Федерации применяет коэффициент 0,8. Высвобождающиеся средства подлежат распределению в соответствии с настоящими Правилами.
Размер субсидии не может превышать общий размер грантов "Агротуризм", предусмотренных на реализацию проектов развития сельского туризма, прошедших отбор.
В случае применения коэффициента эффективности реализации проектов развития сельского туризма, равного 0,8, или 0,6, или 0, субъект Российской Федерации обеспечивает 100 процентов софинансирования стоимости проекта развития сельского туризма из средств бюджета субъекта Российской Федерации.
13. При распределении субсидий между бюджетами субъектов Российской Федерации размер субсидии бюджету субъекта Российской Федерации не может превышать размера средств на исполнение расходного обязательства субъекта Российской Федерации, в целях софинансирования которого предоставляется субсидия.
В случае если при формировании проекта федерального закона о федеральном бюджете на очередной финансовый год и плановый период субъектом Российской Федерации до 10 августа текущего финансового года представлено в Министерство сельского хозяйства Российской Федерации обращение, содержащее информацию об отсутствии частичной или полной потребности в субсидии, невостребованная субсидия распределяется между бюджетами других субъектов Российской Федерации, имеющих право на получение субсидии в соответствии с настоящими Правилами.
14. Перечисление субсидий осуществляется в установленном порядке на единые счета бюджетов, открытые финансовым органам субъектов Российской Федерации в территориальных органах Федерального казначейства.
15. Уполномоченный орган представляет в Министерство сельского хозяйства Российской Федерации следующие документы:
а) выписка из закона субъекта Российской Федерации о бюджете субъекта Российской Федерации (сводной бюджетной росписи бюджета субъекта Российской Федерации), подтверждающая наличие в утвержденном бюджете субъекта Российской Федерации бюджетных ассигнований, - в срок, устанавливаемый Министерством сельского хозяйства Российской Федерации;
б) документ, содержащий информацию об использовании средств бюджета субъекта Российской Федерации, в целях софинансирования расходных обязательств субъекта Российской Федерации по предоставлению которых предоставляются субсидии, с приложением перечня получателей указанных средств - по форме и в сроки, которые устанавливаются Министерством сельского хозяйства Российской Федерации;
в) отчет о финансово-экономическом состоянии товаропроизводителей агропромышленного комплекса - по форме и в сроки, которые устанавливаются Министерством сельского хозяйства Российской Федерации;
г) отчет об осуществлении расходов бюджета субъекта Российской Федерации, в целях софинансирования которых предоставляется субсидия, а также о достижении значений результатов использования субсидии, подготавливаемый (формируемый) с использованием государственной интегрированной информационной системы управления общественными финансами "Электронный бюджет", - в порядке и в сроки, которые установлены соглашением.
16. Для оценки эффективности использования субсидий применяется результат использования субсидий "Обеспечена реализация проектов развития сельского туризма, получивших государственную поддержку, обеспечивающих прирост производства сельскохозяйственной продукции (единиц)".
Оценка эффективности использования субсидий по результату использования субсидий, предусмотренному абзацем первым настоящего пункта, осуществляется Министерством сельского хозяйства Российской Федерации в соответствии с методикой оценки эффективности реализации проектов развития сельского туризма, утверждаемой Министерством сельского хозяйства Российской Федерации, начиная с проектов развития сельского туризма, реализация которых начата в 2022 году.
По результатам оценки эффективности реализации проектов развития сельского туризма в конкретном субъекте Российской Федерации Министерством сельского хозяйства Российской Федерации осуществляется рейтингование субъектов Российской Федерации в соответствии с методикой оценки эффективности реализации проектов развития сельского туризма, утверждаемой Министерством сельского хозяйства Российской Федерации, с присвоением субъектам Российской Федерации следующих категорий:
"высокий уровень эффективности реализации проектов развития сельского туризма";
"уровень эффективности выше среднего уровня эффективности реализации проектов развития сельского туризма";
"уровень эффективности ниже среднего уровня эффективности реализации проектов развития сельского туризма";
"низкий уровень эффективности реализации проектов развития сельского туризма".
17. В случае отсутствия в текущем финансовом году у субъектов Российской Федерации потребности в бюджетных ассигнованиях на реализацию мероприятий, указанных в пункте 1 настоящих Правил, высвобождающиеся бюджетные ассигнования перераспределяются в соответствии с бюджетным законодательством Российской Федерации.
Абзацы второй - третий утратили силу. - Постановление Правительства РФ от 13.11.2024 N 1535.
18. Порядок и условия возврата средств из бюджета субъекта Российской Федерации в федеральный бюджет в случае нарушения субъектом Российской Федерации обязательств, предусмотренных соглашением, в том числе касающихся достижения значений результата использования субсидии, а также основания для освобождения субъекта Российской Федерации от применения мер финансовой ответственности установлены пунктами 16 - 18 и 20 Правил формирования субсидий.
В случае нарушения целей, установленных при предоставлении субсидии, применяются бюджетные меры принуждения в соответствии с бюджетным законодательством Российской Федерации.
19. Ответственность за достоверность представляемых в Министерство сельского хозяйства Российской Федерации сведений и соблюдение условий, предусмотренных настоящими Правилами и соглашением, а также контроль за реализацией проекта развития сельского туризма возлагаются на уполномоченные органы.
20. Контроль за соблюдением субъектами Российской Федерации условий предоставления субсидий осуществляется Министерством сельского хозяйства Российской Федерации и уполномоченными органами государственного финансового контроля.
Приложение N 12(1)
к Государственной программе развития
сельского хозяйства и регулирования
рынков сельскохозяйственной продукции,
сырья и продовольствия
ПРАВИЛА
ПРЕДОСТАВЛЕНИЯ И РАСПРЕДЕЛЕНИЯ СУБСИДИЙ ИЗ ФЕДЕРАЛЬНОГО
БЮДЖЕТА БЮДЖЕТАМ СУБЪЕКТОВ РОССИЙСКОЙ ФЕДЕРАЦИИ
НА СТИМУЛИРОВАНИЕ УВЕЛИЧЕНИЯ ПРОИЗВОДСТВА
КАРТОФЕЛЯ И ОВОЩЕЙ
1. Настоящие Правила устанавливают цели, условия и порядок предоставления и распределения субсидий из федерального бюджета бюджетам субъектов Российской Федерации в целях софинансирования расходных обязательств субъектов Российской Федерации, возникающих при реализации мероприятий, направленных на стимулирование увеличения производства картофеля и овощей (далее - субсидии).
2. Понятия, используемые в настоящих Правилах, означают следующее:
"агротехнологические работы" - комплекс мероприятий по обработке почв, внесению удобрений, подготовке семян и посадочного материала (включая стоимость семян и посадочного материала), посеву и посадке, уходу за посевами, а также по уборке урожая;
абзац утратил силу. - Постановление Правительства РФ от 13.06.2023 N 976;
"средства" - средства бюджета субъекта Российской Федерации, источником софинансирования которых являются субсидии;
"технология досвечивания" - технология круглогодичного выращивания овощей защищенного грунта с использованием системы электрического досвечивания, соответствующей требованиям к мощности досвечивания и урожайности овощей с 1 гектара производственной площади, определенным Министерством сельского хозяйства Российской Федерации (при этом требования к мощности досвечивания не применяются при использовании светодиодных фитооблучателей);
"инвестиционный проект" - документация, включающая обоснование экономической целесообразности, объема и сроков осуществления затрат на создание и (или) модернизацию хранилищ, в том числе необходимая проектная документация, разработанная в соответствии с законодательством Российской Федерации, а также описание практических действий по осуществлению таких затрат;
"модернизация" - работы, связанные с повышением технико-экономических показателей оборудования, здания, строения и сооружения;
"подработка" - подработка сельскохозяйственной продукции, включающая технологические операции для создания товарного вида сельскохозяйственной продукции, используемой в дальнейшем для реализации потребителям без последующей промышленной переработки (сортировка, калибровка, мойка, упаковка и дозревание) или в виде сырья для последующей (промышленной) переработки продукции;
"прямые понесенные затраты" - выраженные в денежной форме расходы получателей средств на создание и (или) модернизацию хранилищ, равные фактической и (или) плановой стоимости хранилища;
"создание" - строительство зданий, строений и сооружений (в том числе на месте сносимых объектов капитального строительства) и оснащение их специальной техникой и оборудованием, предусмотренные соответствующим инвестиционным проектом;
"фактическая и (или) плановая стоимость хранилища" - сумма затрат, понесенных и (или) планируемых получателями средств на создание и (или) модернизацию хранилищ;
"хранилище" - здание, строение или сооружение, предназначенные для сбора, хранения, хранения и подработки, первичной переработки и реализации различных видов овощей и картофеля и оснащенные соответствующим технологическим оборудованием.
3. Субсидии предоставляются в целях софинансирования расходных обязательств субъектов Российской Федерации, возникающих при реализации мероприятий государственных программ (подпрограмм) субъектов Российской Федерации, направленных на развитие агропромышленного комплекса, и (или) при предоставлении средств из бюджета субъекта Российской Федерации местным бюджетам в целях софинансирования расходных обязательств муниципальных образований, расположенных на территории субъекта Российской Федерации, при реализации муниципальных программ развития агропромышленного комплекса, связанных с предоставлением средств из бюджета субъекта Российской Федерации (местного бюджета) сельскохозяйственным товаропроизводителям (за исключением граждан, ведущих личное подсобное хозяйство, и сельскохозяйственных кредитных потребительских кооперативов), гражданам, ведущим личное подсобное хозяйство и применяющим специальный налоговый режим "Налог на профессиональный доход", на финансовое обеспечение (возмещение) части затрат (без учета налога на добавленную стоимость), понесенных при реализации направлений, указанных в пункте 4 настоящих Правил, а также российским организациям, осуществляющим создание и (или) модернизацию хранилищ (далее - получатели средств), в пределах лимитов бюджетных обязательств, доведенных до Министерства сельского хозяйства Российской Федерации как получателя средств федерального бюджета на предоставление субсидий на цели, указанные в настоящем пункте.
4. Средства предоставляются:
а) сельскохозяйственным товаропроизводителям (за исключением граждан, ведущих личное подсобное хозяйство, и сельскохозяйственных кредитных потребительских кооперативов), включенным в единый реестр субъектов малого и среднего предпринимательства, отвечающим критериям отнесения к субъектам малого предпринимательства в соответствии с Федеральным законом "О развитии малого и среднего предпринимательства в Российской Федерации", на финансовое обеспечение (возмещение) части затрат на проведение агротехнологических работ, повышение уровня экологической безопасности сельскохозяйственного производства, а также на повышение плодородия и качества почв - по ставке на 1 гектар посевной площади, занятой картофелем и овощными культурами открытого грунта;
б) сельскохозяйственным товаропроизводителям (за исключением граждан, ведущих личное подсобное хозяйство, и сельскохозяйственных кредитных потребительских кооперативов):
на финансовое обеспечение (возмещение) части затрат на поддержку элитного семеноводства - по ставке на 1 тонну элитных и (или) оригинальных семян картофеля и (или) овощных культур, включая гибриды овощных культур;
на финансовое обеспечение (возмещение) части затрат на производство овощей защищенного грунта, произведенных с применением технологии досвечивания, - по ставке на 1 тонну произведенных овощей защищенного грунта собственного производства;
на финансовое обеспечение (возмещение) части затрат на поддержку производства картофеля и овощей открытого грунта - по ставке на 1 тонну произведенных картофеля и овощей открытого грунта;
в) гражданам, ведущим личное подсобное хозяйство и применяющим специальный налоговый режим "Налог на профессиональный доход":
на финансовое обеспечение (возмещение) части затрат на поддержку элитного семеноводства - по ставке на 1 гектар посевной площади, засеянной элитными семенами картофеля и овощных культур, включая гибриды овощных культур;
на финансовое обеспечение (возмещение части затрат) на поддержку производства картофеля и овощей открытого грунта - по ставке на 1 тонну реализованных картофеля и овощей открытого грунта;
г) сельскохозяйственным товаропроизводителям (за исключением граждан, ведущих личное подсобное хозяйство) и российским организациям, осуществляющим создание и (или) модернизацию хранилищ, на финансовое обеспечение (возмещение) части прямых понесенных затрат на создание и (или) модернизацию хранилищ по инвестиционным проектам, отобранным в соответствии с порядком, указанным в пункте 5 настоящих Правил, за исключением затрат, на возмещение которых предоставлены средства в соответствии с постановлением Правительства Российской Федерации от 24 ноября 2018 г. N 1413 "Об утверждении Правил предоставления и распределения иных межбюджетных трансфертов из федерального бюджета бюджетам субъектов Российской Федерации в целях софинансирования расходных обязательств субъектов Российской Федерации по возмещению части прямых понесенных затрат на создание и (или) модернизацию объектов агропромышленного комплекса, а также на приобретение и ввод в промышленную эксплуатацию маркировочного оборудования для внедрения обязательной маркировки отдельных видов молочной продукции", а также в соответствии с иными нормативными правовыми актами Российской Федерации, - в 2024 году и в последующие годы.
5. Порядок конкурсного отбора инвестиционных проектов, представленных получателями средств на возмещение части прямых понесенных затрат на создание и (или) модернизацию хранилищ (далее - отбор), процедура ранжирования и распределения инвестиционных проектов по федеральным округам Российской Федерации, по результатам которой комиссией по проведению отбора инвестиционных проектов, образуемой Министерством сельского хозяйства Российской Федерации (далее - комиссия), принимается решение об отборе инвестиционных проектов, критерии балльной оценки, а также требования к хранилищам и составу заявочной документации, представляемой сельскохозяйственными товаропроизводителями (за исключением граждан, ведущих личное подсобное хозяйство) и российскими организациями, осуществляющими создание и (или) модернизацию хранилищ, в исполнительный орган субъекта Российской Федерации, уполномоченный высшим исполнительным органом субъекта Российской Федерации (далее соответственно - заявочная документация, уполномоченный орган), устанавливаются Министерством сельского хозяйства Российской Федерации.
6. Для получателей средств, использующих право на освобождение от исполнения обязанностей налогоплательщика, связанных с исчислением и уплатой налога на добавленную стоимость, финансовое обеспечение (возмещение) части затрат осуществляется исходя из суммы расходов на приобретение товаров (работ, услуг), включая сумму налога на добавленную стоимость.
7. Средства предоставляются получателям средств:
а) по направлению, указанному в подпункте "а" пункта 4 настоящих Правил, при условии, что на посев при проведении агротехнологических работ получателями средств использовались семена сельскохозяйственных культур, сорта или гибриды которых включены в Государственный реестр селекционных достижений, допущенных к использованию, а также при условии, что сортовые и посевные качества таких семян соответствуют для овощных культур ГОСТ 32592-2013, ГОСТ Р 30106-94, ГОСТ 32917-2014, для картофеля - ГОСТ 33996-2016;
б) по направлению, указанному в абзаце четвертом подпункта "б" пункта 4 настоящих Правил, с учетом следующих условий:
внесение удобрений, используемых при производстве картофеля и овощей открытого грунта, в объеме, установленном уполномоченным органом;
использование семян и посадочного материала сельскохозяйственных культур, сорта или гибриды которых внесены в Государственный реестр селекционных достижений, допущенных к использованию, при условии, что сортовые и посевные качества таких семян и посадочного материала соответствуют для овощных культур ГОСТ 32592-2013, ГОСТ Р 30106-94, ГОСТ 32917-2014, для картофеля - ГОСТ 33996-2016;
в) по направлениям, указанным в подпункте "в" пункта 4 настоящих Правил, с учетом следующих условий:
применение налогового режима должно подтверждаться справкой о постановке на учет (снятии с учета) физического лица в качестве плательщика налога на профессиональный доход;
гражданин, ведущий личное подсобное хозяйство и применяющий специальный налоговый режим "Налог на профессиональный доход", должен:
представить выписку из похозяйственной книги, подтверждающую ведение производственной деятельности не менее чем в течение 12 месяцев, предшествующих году предоставления субсидии;
г) по направлению, указанному в подпункте "г" пункта 4 настоящих Правил, с учетом следующих условий:
если создание и (или) модернизация хранилищ начаты не ранее чем за 3 года до начала предоставления субсидии и хранилища введены в эксплуатацию не позднее 1 июля года предоставления субсидии (требование к сроку начала создания и (или) модернизации хранилищ не распространяется в течение 3 лет со дня подачи заявки на участие в отборе в отношении хранилищ по инвестиционным проектам, которые отобраны комиссией, но субсидия по которым не предоставлена в связи с отсутствием лимитов бюджетных обязательств, доведенных до Министерства сельского хозяйства Российской Федерации, на предоставление субсидии на соответствующий финансовый год на создание и (или) модернизацию хранилищ);
средства из бюджета субъекта Российской Федерации на возмещение получателям средств части прямых понесенных затрат не могут служить источником финансового обеспечения расходов, связанных с разработкой проектной документации и проведением инженерных изысканий, выполняемых для подготовки такой проектной документации, проведением государственной экспертизы проектной документации и результатов инженерных изысканий и проведением проверки достоверности определения сметной стоимости хранилищ;
доля средств в общем размере прямых понесенных затрат составляет в отношении хранилищ 25 процентов фактической стоимости хранилища (но не выше предельной стоимости хранилища, определяемой исходя из предельного значения стоимости единицы мощности хранилища, устанавливаемого Министерством сельского хозяйства Российской Федерации).
Подтверждением факта ввода в эксплуатацию хранилища является наличие разрешения на ввод хранилища в эксплуатацию, при модернизации - наличие акта приемки хранилища и (или) документов, подтверждающих приобретение техники и (или) оборудования.
8. По направлениям, указанным в подпунктах "а" - "в" пункта 4 настоящих Правил, ставки определяются высшим исполнительным органом субъекта Российской Федерации или уполномоченным органом.
Субъекты Российской Федерации, в которых в 2023 году в соответствии с Указом Президента Российской Федерации от 19 октября 2022 г. N 757 "О мерах, осуществляемых в субъектах Российской Федерации в связи с Указом Президента Российской Федерации от 19 октября 2022 г. N 756" введен средний уровень реагирования, вправе устанавливать повышающий коэффициент, применяемый к ставкам, указанным в абзаце первом настоящего пункта, в отношении получателей средств, пострадавших в результате действий вооруженных формирований Украины, в пределах размера субсидии, предусмотренной субъекту Российской Федерации на текущий финансовый год, не выше 1,5.
По направлению, указанному в абзаце втором подпункта "б" пункта 4 настоящих Правил, в случае возмещения части затрат на приобретение семян картофеля и (или) овощных культур, включая гибриды овощных культур, произведенных в рамках Федеральной научно-технической программы развития сельского хозяйства на 2017 - 2030 годы, утвержденной постановлением Правительства Российской Федерации от 25 августа 2017 г. N 996 "Об утверждении Федеральной научно-технической программы развития сельского хозяйства на 2017 - 2030 годы", установленный субъектом Российской Федерации размер ставки не может превышать 70 процентов затрат (исходя из стоимости, не превышающей установленную высшим исполнительным органом субъекта Российской Федерации или уполномоченным органом предельную стоимость реализации таких семян).
9. Критериями отбора субъектов Российской Федерации для предоставления субсидии являются:
наличие нормативного правового акта субъекта Российской Федерации, содержащего положения, указанные в пункте 7 настоящих Правил.
10. Предоставление субсидии осуществляется на основании соглашения о предоставлении субсидии, подготавливаемого (формируемого) и заключаемого с использованием государственной интегрированной информационной системы управления общественными финансами "Электронный бюджет" в соответствии с типовой формой соглашения, утвержденной Министерством финансов Российской Федерации (далее - соглашение о предоставлении субсидии).
11. Условиями предоставления субсидии являются:
а) наличие правового акта субъекта Российской Федерации, предусматривающего мероприятия, при реализации которых возникают расходные обязательства субъекта Российской Федерации, в целях софинансирования которых предоставляется субсидия, в соответствии с требованиями нормативных правовых актов Российской Федерации;
б) наличие в бюджете субъекта Российской Федерации бюджетных ассигнований на исполнение расходного обязательства субъекта Российской Федерации, софинансирование которого осуществляется из федерального бюджета, в объеме, необходимом для его исполнения;
в) заключение соглашения о предоставлении субсидии между Министерством сельского хозяйства Российской Федерации и высшим исполнительным органом субъекта Российской Федерации в соответствии с пунктом 10 Правил формирования, предоставления и распределения субсидий из федерального бюджета бюджетам субъектов Российской Федерации, утвержденных постановлением Правительства Российской Федерации от 30 сентября 2014 г. N 999 "О формировании, предоставлении и распределении субсидий из федерального бюджета бюджетам субъектов Российской Федерации" (далее - Правила формирования субсидий).
11(1). В соглашение о предоставлении субсидии подлежат включению обязательство субъекта Российской Федерации по перечислению не позднее 1 мая текущего финансового года получателям средств не менее 50 процентов размера субсидии, предусмотренного этому субъекту Российской Федерации в федеральном бюджете на текущий финансовый год (для субъектов Российской Федерации, входящих в состав Дальневосточного федерального округа, - не менее 20 процентов), а также обязательство по заключению в соответствии с пунктом 20(1) настоящих Правил дополнительного соглашения к соглашению о предоставлении субсидии об уменьшении размера субсидии, подлежащей предоставлению из федерального бюджета бюджету субъекта Российской Федерации в текущем финансовом году, в случае нарушения обязательства по перечислению средств, указанного в настоящем пункте.
12. Размер субсидии, предоставляемой бюджету i-го субъекта Российской Федерации (Wi), определяется по формуле:
Wi = a1i + a2i + a3i + a4i + a5i + a6i + a7i + Wki,
где:
a1i - размер субсидии, предоставляемой бюджету i-го субъекта Российской Федерации по направлению, указанному в абзаце четвертом подпункта "б" пункта 4 настоящих Правил, в части поддержки производства овощей открытого грунта;
a2i - размер субсидии, предоставляемой бюджету i-го субъекта Российской Федерации по направлению, указанному в абзаце третьем подпункта "б" пункта 4 настоящих Правил;
a3i - размер субсидии, предоставляемой бюджету i-го субъекта Российской Федерации по направлению, указанному в абзаце четвертом подпункта "б" пункта 4 настоящих Правил, в части поддержки производства картофеля;
a4i - размер субсидии, предоставляемой бюджету i-го субъекта Российской Федерации по направлению, указанному в абзаце втором подпункта "б" пункта 4 настоящих Правил;
a5i - размер субсидии, предоставляемой бюджету i-го субъекта Российской Федерации по направлению, указанному в подпункте "а" пункта 4 настоящих Правил;
a6i - размер субсидии, предоставляемой бюджету i-го субъекта Российской Федерации по направлению, указанному в подпункте "в" пункта 4 настоящих Правил, в части производства картофеля;
a7i - размер субсидии, предоставляемой бюджету i-го субъекта Российской Федерации по направлению, указанному в подпункте "в" пункта 4 настоящих Правил, в части производства овощей открытого грунта;
Wki - объем бюджетных ассигнований, предусмотренных на предоставление субсидии на соответствующий финансовый год на создание и (или) модернизацию хранилищ в i-м субъекте Российской Федерации.
13. Размер субсидии, предоставляемой бюджету i-го субъекта Российской Федерации по направлению, указанному в абзаце четвертом подпункта "б" пункта 4 настоящих Правил, в части поддержки производства овощей открытого грунта (a1i), определяется по формуле:

где:
Wp - объем бюджетных ассигнований, предусмотренных в федеральном бюджете на предоставление субсидии на соответствующий финансовый год, за исключением субсидии на создание и (или) модернизацию хранилищ;
k1 - коэффициент, устанавливаемый Министерством сельского хозяйства Российской Федерации для определения размера субсидии, предоставляемой в целях софинансирования расходных обязательств субъекта Российской Федерации по финансовому обеспечению (возмещению) части затрат на поддержку производства овощей открытого грунта;
Dv1i - объем производства овощей открытого грунта в сельскохозяйственных организациях, крестьянских (фермерских) хозяйствах и у индивидуальных предпринимателей в i-м субъекте Российской Федерации за отчетный финансовый год на основании данных Федеральной службы государственной статистики;
Dvпр1i - прирост объема производства овощей открытого грунта в сельскохозяйственных организациях, крестьянских (фермерских) хозяйствах и у индивидуальных предпринимателей за отчетный финансовый год к среднему объему производства овощей открытого грунта в сельскохозяйственных организациях, крестьянских (фермерских) хозяйствах и у индивидуальных предпринимателей за 3 года, предшествующие отчетному финансовому году, в i-м субъекте Российской Федерации, определяемый по формуле:
Dvпр1i = Dv1i - SPRv1i,
где SPRv1i - средний за 3 года, предшествующие отчетному финансовому году, объем производства овощей открытого грунта в сельскохозяйственных организациях, крестьянских (фермерских) хозяйствах и у индивидуальных предпринимателей в i-м субъекте Российской Федерации, определяемый на основании данных Федеральной службы государственной статистики.
В случае если Dvпр1i имеет отрицательное значение, применяется значение, равное нулю;
kvi - коэффициент увеличения показателя i-го субъекта Российской Федерации. Для субъектов Российской Федерации, входящих в состав Дальневосточного федерального округа, значение коэффициента равно 2, для Калининградской области - 1,2, для других субъектов Российской Федерации - 1;
Yi - предельный уровень софинансирования расходного обязательства i-го субъекта Российской Федерации из федерального бюджета на очередной финансовый год (процентов), определяемый в соответствии с пунктом 13 Правил формирования субсидий;
n1 - количество субъектов Российской Федерации, являющихся участниками федерального проекта "Развитие отраслей овощеводства и картофелеводства" на очередной финансовый год по направлению, указанному в абзаце четвертом подпункта "б" пункта 4 настоящих Правил, в части поддержки производства овощей открытого грунта.
14. Размер субсидии, предоставляемой бюджету i-го субъекта Российской Федерации по направлению, указанному в абзаце третьем подпункта "б" пункта 4 настоящих Правил (a2i), определяется по формуле:

где:
k2 - коэффициент, устанавливаемый Министерством сельского хозяйства Российской Федерации для определения размера субсидии, предоставляемой в целях софинансирования расходных обязательств субъекта Российской Федерации по финансовому обеспечению (возмещению) части затрат на производство овощей защищенного грунта, произведенных с применением технологии досвечивания;
Dv2i - плановый объем производства на очередной финансовый год овощей защищенного грунта, произведенных с применением технологии досвечивания, в i-м субъекте Российской Федерации на основании данных, представленных субъектом Российской Федерации в Министерство сельского хозяйства Российской Федерации по форме и в срок, которые устанавливаются Министерством;
n2 - количество субъектов Российской Федерации, являющихся участниками федерального проекта "Развитие отраслей овощеводства и картофелеводства" на очередной финансовый год по направлению, указанному в абзаце третьем подпункта "б" пункта 4 настоящих Правил.
15. Размер субсидии, предоставляемой бюджету i-го субъекта Российской Федерации по направлению, указанному в абзаце четвертом подпункта "б" пункта 4 настоящих Правил, в части поддержки производства картофеля (a3i), определяется по формуле:

где:
k3 - коэффициент, устанавливаемый Министерством сельского хозяйства Российской Федерации для определения размера субсидии, предоставляемой в целях софинансирования расходных обязательств субъекта Российской Федерации по финансовому обеспечению (возмещению) части затрат на поддержку производства картофеля;
Dv3i - объем производства картофеля в сельскохозяйственных организациях, крестьянских (фермерских) хозяйствах и у индивидуальных предпринимателей в i-м субъекте Российской Федерации за отчетный финансовый год на основании данных Федеральной службы государственной статистики;
Dvпр3i - прирост объема производства картофеля в сельскохозяйственных организациях, крестьянских (фермерских) хозяйствах и у индивидуальных предпринимателей за отчетный финансовый год к среднему объему производства картофеля в сельскохозяйственных организациях, крестьянских (фермерских) хозяйствах и у индивидуальных предпринимателей за 3 года, предшествующие отчетному финансовому году, в i-м субъекте Российской Федерации, определяемый по формуле:
Dvпр3i = Dv3i - SPRv3i,
где SPRv3i - средний за 3 года, предшествующие отчетному финансовому году, объем производства картофеля в сельскохозяйственных организациях, крестьянских (фермерских) хозяйствах и у индивидуальных предпринимателей в i-м субъекте Российской Федерации, определяемый на основании данных Федеральной службы государственной статистики.
В случае если Dvпр3i имеет отрицательное значение, применяется значение, равное нулю;
n3 - количество субъектов Российской Федерации, являющихся участниками федерального проекта "Развитие отраслей овощеводства и картофелеводства" на очередной финансовый год по направлению, указанному в абзаце четвертом подпункта "б" пункта 4 настоящих Правил, в части поддержки производства картофеля.
16. Размер субсидии, предоставляемой бюджету i-го субъекта Российской Федерации по направлению, указанному в абзаце втором подпункта "б" пункта 4 настоящих Правил (a4i), определяется по формуле:

где:
k4 - коэффициент, устанавливаемый Министерством сельского хозяйства Российской Федерации для определения размера субсидии, предоставляемой в целях софинансирования расходных обязательств субъекта Российской Федерации по финансовому обеспечению (возмещению) части затрат на поддержку элитного семеноводства картофеля и овощных культур, включая гибриды овощных культур;
S4элитi - площадь, засеваемая элитными семенами картофеля и овощных культур, включая гибриды овощных культур, в i-м субъекте Российской Федерации за отчетный финансовый год на основании данных, представленных субъектом Российской Федерации в Министерство сельского хозяйства Российской Федерации по форме и в срок, которые устанавливаются Министерством;
n4 - количество субъектов Российской Федерации, являющихся участниками федерального проекта "Развитие отраслей овощеводства и картофелеводства" на очередной финансовый год по направлению, указанному в абзаце втором подпункта "б" пункта 4 настоящих Правил.
17. Размер субсидии, предоставляемой бюджету i-го субъекта Российской Федерации по направлению, указанному в подпункте "а" пункта 4 настоящих Правил (a5i), определяется по формуле:

где:
k5 - коэффициент, устанавливаемый Министерством сельского хозяйства Российской Федерации для определения размера субсидии, предоставляемой в целях софинансирования расходных обязательств субъекта Российской Федерации по финансовому обеспечению (возмещению) части затрат на проведение агротехнологических работ, повышение уровня экологической безопасности сельскохозяйственного производства, а также на повышение плодородия и качества почв, занятых картофелем и овощными культурами открытого грунта;
Dsплi - размер посевной площади, занятой картофелем и овощными культурами открытого грунта в сельскохозяйственных организациях, крестьянских (фермерских) хозяйствах и у индивидуальных предпринимателей в i-м субъекте Российской Федерации в среднем за 3 года, предшествующие году, в котором осуществляется расчет размера субсидий на очередной финансовый год, определяемый на основании данных Федеральной службы государственной статистики;
n5 - количество субъектов Российской Федерации, являющихся участниками федерального проекта "Развитие отраслей овощеводства и картофелеводства" на очередной финансовый год по направлению, указанному в подпункте "а" пункта 4 настоящих Правил.
18. Размер субсидии, предоставляемой бюджету i-го субъекта Российской Федерации по направлению, указанному в подпункте "в" пункта 4 настоящих Правил, в части производства картофеля (a6i), определяется по формуле:

где:
k6 - коэффициент, устанавливаемый Министерством сельского хозяйства Российской Федерации для определения размера субсидии, предоставляемой в целях софинансирования расходных обязательств субъекта Российской Федерации по финансовому обеспечению (возмещению) части затрат на поддержку производства картофеля, произведенного гражданами, ведущими личное подсобное хозяйство и применяющими специальный налоговый режим "Налог на профессиональный доход";
DV6фпрi - доля среднего объема производства картофеля в хозяйствах населения в i-м субъекте Российской Федерации за 3 года, предшествующие году, в котором осуществляется расчет размера субсидий на очередной финансовый год, в среднем объеме производства картофеля в хозяйствах всех категорий в i-м субъекте Российской Федерации за 3 года, предшествующие году, в котором осуществляется расчет размера субсидий на очередной финансовый год, определяемая по формуле:
![]()
где:
Vфкартвалi - средний объем производства картофеля в хозяйствах населения в i-м субъекте Российской Федерации за 3 года, предшествующие году, в котором осуществляется расчет размера субсидий на очередной финансовый год, определяемый на основании данных Федеральной службы государственной статистики;
Hфкартвалi - средний объем производства картофеля в хозяйствах всех категорий в i-м субъекте Российской Федерации за 3 года, предшествующие году, в котором осуществляется расчет размера субсидий на очередной финансовый год, определяемый на основании данных Федеральной службы государственной статистики;
DV6плпрi - плановый объем реализации на очередной финансовый год картофеля, произведенного гражданами, ведущими личное подсобное хозяйство и применяющими специальный налоговый режим "Налог на профессиональный доход", в i-м субъекте Российской Федерации на основании данных, представленных субъектом Российской Федерации в Министерство сельского хозяйства Российской Федерации по форме и в срок, которые устанавливаются Министерством;
n6 - количество субъектов Российской Федерации, являющихся участниками федерального проекта "Развитие отраслей овощеводства и картофелеводства" на очередной финансовый год по направлению, указанному в подпункте "в" пункта 4 настоящих Правил, в части производства картофеля.
19. Размер субсидии, предоставляемой бюджету i-го субъекта Российской Федерации по направлению, указанному в подпункте "в" пункта 4 настоящих Правил, в части производства овощей открытого грунта (a7i), определяется по формуле:

где:
k7 - коэффициент, устанавливаемый Министерством сельского хозяйства Российской Федерации для определения размера субсидии, предоставляемой в целях софинансирования расходных обязательств субъекта Российской Федерации по финансовому обеспечению (возмещению) части затрат на поддержку производства овощей открытого грунта, произведенных гражданами, ведущими личное подсобное хозяйство и применяющими специальный налоговый режим "Налог на профессиональный доход";
DV7фпрi - доля среднего объема производства овощей открытого грунта в хозяйствах населения в i-м субъекте Российской Федерации за 3 года, предшествующие году, в котором осуществляется расчет размера субсидий на очередной финансовый год, в среднем объеме производства овощей открытого грунта в хозяйствах всех категорий за 3 года, предшествующие году, в котором осуществляется расчет размера субсидий на очередной финансовый год, определяемая по формуле:
![]()
где:
Vфоввалi - средний объем производства овощей открытого грунта в хозяйствах населения в i-м субъекте Российской Федерации за 3 года, предшествующие году, в котором осуществляется расчет размера субсидий на очередной финансовый год, определяемый на основании данных Федеральной службы государственной статистики;
Hфоввалi - средний объем производства овощей открытого грунта в хозяйствах всех категорий в i-м субъекте Российской Федерации за 3 года, предшествующие году, в котором осуществляется расчет размера субсидий на очередной финансовый год, определяемый на основании данных Федеральной службы государственной статистики;
DV7плпрi - плановый объем реализации на очередной финансовый год овощей открытого грунта, произведенных гражданами, ведущими личное подсобное хозяйство и применяющими специальный налоговый режим "Налог на профессиональный доход", в i-м субъекте Российской Федерации на основании данных, представленных субъектом Российской Федерации в Министерство сельского хозяйства Российской Федерации по форме и в срок, которые устанавливаются Министерством;
n7 - количество субъектов Российской Федерации, являющихся участниками федерального проекта "Развитие отраслей овощеводства и картофелеводства" на очередной финансовый год по направлению, указанному в подпункте "в" пункта 4 настоящих Правил, в части производства овощей открытого грунта.
20. Объем бюджетных ассигнований, предусмотренных на предоставление субсидии в соответствующем финансовом году на создание и (или) модернизацию хранилищ в i-м субъекте Российской Федерации (Wki), определяется по формуле:
Wki = Bi x Yi,
где Bi - размер субсидии, необходимой для возмещения части прямых понесенных затрат по инвестиционным проектам, отобранным комиссией и предусматривающим создание и (или) модернизацию хранилищ, введенных в эксплуатацию или планируемых к вводу в эксплуатацию не позднее 1 июля года предоставления субсидии в i-м субъекте Российской Федерации, определяемый по формуле:
![]()
где:
Cj - фактическая и (или) плановая стоимость j-го хранилища;
k - процент возмещения части прямых понесенных затрат в соответствии с абзацем четвертым подпункта "г" пункта 7 настоящих Правил.
20(1). Если по состоянию на 1 мая текущего финансового года субъектом Российской Федерации перечислено получателям средств менее 50 процентов размера субсидии, предусмотренного этому субъекту Российской Федерации в федеральном бюджете на текущий финансовый год (для субъектов Российской Федерации, входящих в состав Дальневосточного федерального округа, - менее 20 процентов), размер субсидии, предусмотренный этому субъекту Российской Федерации в федеральном бюджете на текущий финансовый год, подлежит уменьшению на 10 процентов.
Если по состоянию на 15 июня 2023 г. субъектом Российской Федерации перечислено получателям средств менее 50 процентов размера субсидии, предусмотренного этому субъекту Российской Федерации в федеральном бюджете на 2023 год (для субъектов Российской Федерации, входящих в состав Дальневосточного федерального округа, - менее 20 процентов), размер субсидии, предусмотренный этому субъекту Российской Федерации в федеральном бюджете на 2023 год, подлежит уменьшению на 15 процентов.
Субъект Российской Федерации, допустивший нарушение обязательства по перечислению средств, указанного в пункте 11(1) настоящих Правил, в течение 30 календарных дней обязан обеспечить заключение дополнительного соглашения к соглашению о предоставлении субсидии об уменьшении размера субсидии, подлежащей предоставлению из федерального бюджета бюджету субъекта Российской Федерации в текущем финансовом году, в размере, установленном настоящим пунктом.
Высвобождающиеся бюджетные ассигнования перераспределяются на реализацию мероприятий, предусмотренных Правилами предоставления и распределения иных межбюджетных трансфертов из федерального бюджета бюджетам субъектов Российской Федерации в целях софинансирования расходных обязательств субъектов Российской Федерации по возмещению части прямых понесенных затрат на создание и (или) модернизацию объектов агропромышленного комплекса, а также на приобретение и ввод в промышленную эксплуатацию маркировочного оборудования для внедрения обязательной маркировки отдельных видов молочной продукции, утвержденными постановлением Правительства Российской Федерации от 24 ноября 2018 г. N 1413 "Об утверждении Правил предоставления и распределения иных межбюджетных трансфертов из федерального бюджета бюджетам субъектов Российской Федерации в целях софинансирования расходных обязательств субъектов Российской Федерации по возмещению части прямых понесенных затрат на создание и (или) модернизацию объектов агропромышленного комплекса, а также на приобретение и ввод в промышленную эксплуатацию маркировочного оборудования для внедрения обязательной маркировки отдельных видов молочной продукции", а также иных мероприятий по поручению Правительства Российской Федерации.
Положения абзаца первого настоящего пункта не применяются в отношении средств, предоставляемых на реализацию мероприятий, указанных в подпунктах "в" и "г" пункта 4 настоящих Правил.
21. В случае выделения в текущем финансовом году из федерального бюджета дополнительных бюджетных ассигнований на предоставление субсидий в соответствии с настоящими Правилами их распределение осуществляется между субъектами Российской Федерации, имеющими дополнительную потребность в субсидиях, пропорционально удельному весу дополнительной потребности субъекта Российской Федерации в субсидии в общем объеме дополнительной потребности субъектов Российской Федерации в субсидиях сверх размеров субсидии, рассчитанных в соответствии с пунктами 12 - 20 настоящих Правил, с установлением результатов их использования.
Информация о дополнительной потребности в субсидиях формируется на основании письменных обращений уполномоченных органов в Министерство сельского хозяйства Российской Федерации.
Размер предоставляемой в соответствии с абзацем первым настоящего пункта бюджету субъекта Российской Федерации субсидии не может быть больше заявленной субъектом Российской Федерации дополнительной потребности в такой субсидии.
21(1). В соглашении о предоставлении субсидии объем финансового обеспечения расходных обязательств субъекта Российской Федерации, в целях софинансирования которых предоставляется субсидия по направлениям, указанным в подпунктах "а" - "в" пункта 4 настоящих Правил, не может быть меньше расчетного размера предоставляемой бюджету соответствующего субъекта Российской Федерации субсидии, рассчитанного по соответствующему направлению в соответствии с пунктами 13 - 19 настоящих Правил.
Субъект Российской Федерации вправе не более 2 раз в год по согласованию с Министерством сельского хозяйства Российской Федерации без увеличения общего размера субсидии, предоставляемой бюджету субъекта Российской Федерации на соответствующий финансовый год, перераспределить средства, источником софинансирования которых является субсидия, между направлениями, указанными в подпунктах "а" - "в" пункта 4 настоящих Правил и определенными в соглашении о предоставлении субсидии, без уменьшения значений результатов использования субсидии, установленных в пункте 24 настоящих Правил.
22. Перечисление субсидий осуществляется в установленном порядке на единые счета бюджетов, открытые финансовым органам субъектов Российской Федерации в территориальных органах Федерального казначейства.
23. Уполномоченный орган представляет в Министерство сельского хозяйства Российской Федерации следующие документы:
а) выписка из закона субъекта Российской Федерации о бюджете субъекта Российской Федерации (сводной бюджетной росписи бюджета субъекта Российской Федерации) и (или) муниципального правового акта представительного органа муниципального образования о местном бюджете (сводной бюджетной росписи местного бюджета), подтверждающая наличие утвержденных в бюджете субъекта Российской Федерации (местном бюджете) бюджетных ассигнований на финансовое обеспечение указанных в пункте 4 настоящих Правил расходных обязательств субъекта Российской Федерации (расходных обязательств муниципальных образований, в целях софинансирования которых бюджету субъекта Российской Федерации предоставляется субсидия), - не позднее 30 дней со дня заключения соглашения о предоставлении субсидии;
б) документ, содержащий информацию об использовании средств бюджетов субъектов Российской Федерации, в целях софинансирования расходных обязательств которых предоставляются субсидии, с приложением перечня получателей средств по форме и в срок, которые устанавливаются Министерством сельского хозяйства Российской Федерации;
в) отчет о финансово-экономическом состоянии товаропроизводителей агропромышленного комплекса по форме и в срок, которые устанавливаются Министерством сельского хозяйства Российской Федерации;
г) отчет о достижении значений результатов использования субсидии и обязательствах, принятых в целях их достижения, подготавливаемый (формируемый) с использованием государственной интегрированной информационной системы управления общественными финансами "Электронный бюджет", - в порядке и сроки, которые установлены соглашением о предоставлении субсидии;
д) значения плановых показателей деятельности, необходимых для расчета размера субсидии в соответствии с пунктами 12 - 19 настоящих Правил, по форме и в срок, которые устанавливаются Министерством сельского хозяйства Российской Федерации;
е) заявочную документацию по форме и в срок, которые устанавливаются Министерством сельского хозяйства Российской Федерации;
ж) информацию о соответствии инвестиционного проекта условиям, указанным в подпункте "г" пункта 7 настоящих Правил, по форме и в срок, которые устанавливаются Министерством сельского хозяйства Российской Федерации.
24. Для оценки эффективности использования субсидии и в соответствии с показателями, установленными субъекту Российской Федерации федеральным проектом "Развитие отраслей овощеводства и картофелеводства", применяются следующие результаты использования субсидии:
а) произведено овощей открытого грунта в сельскохозяйственных организациях, крестьянских (фермерских) хозяйствах и у индивидуальных предпринимателей (тыс. тонн);
б) произведено продукции овощеводства защищенного грунта собственного производства, выращенной с применением технологии досвечивания (тыс. тонн);
в) произведено картофеля в сельскохозяйственных организациях, крестьянских (фермерских) хозяйствах и у индивидуальных предпринимателей (тыс. тонн);
г) реализовано картофеля, произведенного гражданами, ведущими личное подсобное хозяйство и применяющими специальный налоговый режим "Налог на профессиональный доход", получившими государственную поддержку (тыс. тонн);
д) реализовано овощей открытого грунта, произведенных гражданами, ведущими личное подсобное хозяйство и применяющими специальный налоговый режим "Налог на профессиональный доход", получившими государственную поддержку (тыс. тонн);
е) достигнут объем высева элитного и (или) оригинального семенного картофеля и овощных культур (тыс. тонн);
ж) посевная площадь под овощами открытого грунта в сельскохозяйственных организациях, крестьянских (фермерских) хозяйствах, включая индивидуальных предпринимателей, составила (тыс. гектаров);
з) посевная площадь под картофелем в сельскохозяйственных организациях, крестьянских (фермерских) хозяйствах, включая индивидуальных предпринимателей, составила (тыс. гектаров);
и) обеспечено увеличение мощностей по хранению картофеля и овощей (тыс. тонн).
25. В случае отсутствия в текущем финансовом году у субъекта Российской Федерации потребности в субсидии невостребованные бюджетные ассигнования на предоставление субсидии на основании письменного обращения уполномоченного органа перераспределяются между другими субъектами Российской Федерации с учетом пунктов 12 - 20 настоящих Правил.
26. Эффективность использования субсидии оценивается ежегодно Министерством сельского хозяйства Российской Федерации на основании интегральной оценки достижения значений результатов использования субсидии, предусмотренных соглашением о предоставлении субсидии, в соответствии с методикой, утверждаемой Министерством сельского хозяйства Российской Федерации.
26(1). Оценка эффективности использования субсидий по результатам, предусмотренным подпунктами "г" и "д" пункта 24 настоящих Правил, осуществляется на основании представленных уполномоченным органом в Министерство сельского хозяйства Российской Федерации отчетов об эффективности использования средств, предоставленных гражданам, ведущим личное подсобное хозяйство и применяющим специальный налоговый режим "Налог на профессиональный доход", форма и срок представления которых устанавливаются Министерством сельского хозяйства Российской Федерации.
27. Оценка соответствия инвестиционного проекта, предусматривающего создание и (или) модернизацию хранилищ, планируемых к введению в эксплуатацию не позднее 1 июля года предоставления субсидии, условиям, указанным в подпункте "г" пункта 7 настоящих Правил, и подтверждение факта ввода в эксплуатацию хранилища осуществляются комиссией на основании документов, представляемых уполномоченным органом в соответствии с подпунктами "е" и "ж" пункта 23 настоящих Правил.
Порядок проведения комиссией оценки соответствия инвестиционного проекта условиям, указанным в подпункте "г" пункта 7 настоящих Правил, утверждается Министерством сельского хозяйства Российской Федерации.
28. В случае если при формировании проекта федерального закона о федеральном бюджете на очередной финансовый год и плановый период субъектом Российской Федерации до 10 сентября текущего финансового года представлено в Министерство сельского хозяйства Российской Федерации обращение, содержащее информацию об отсутствии частичной или полной потребности в субсидии, бюджетные ассигнования на предоставление субсидии такому субъекту Российской Федерации распределяются между другими субъектами Российской Федерации, имеющими право на получение субсидии в соответствии с настоящими Правилами.
28(1). В случае нарушения субъектом Российской Федерации целей, установленных при предоставлении субсидии, применяются бюджетные меры принуждения, предусмотренные бюджетным законодательством Российской Федерации.
29. Порядок и условия возврата средств из бюджета субъекта Российской Федерации в федеральный бюджет в случае нарушения субъектом Российской Федерации обязательств, предусмотренных соглашением о предоставлении субсидии, а также основания для освобождения субъекта Российской Федерации от применения мер финансовой ответственности установлены пунктами 16 - 18 и 20 Правил формирования субсидий.
30. Ответственность за достоверность представляемых Министерству сельского хозяйства Российской Федерации сведений возлагается на уполномоченный орган и высший исполнительный орган субъекта Российской Федерации.
31. Контроль за соблюдением субъектами Российской Федерации условий предоставления субсидий осуществляется Министерством сельского хозяйства Российской Федерации и уполномоченными органами государственного финансового контроля.
Приложение N 13
к Государственной программе развития
сельского хозяйства и регулирования
рынков сельскохозяйственной продукции,
сырья и продовольствия
ПРАВИЛА
ПРЕДОСТАВЛЕНИЯ И РАСПРЕДЕЛЕНИЯ СУБСИДИЙ ИЗ ФЕДЕРАЛЬНОГО
БЮДЖЕТА БЮДЖЕТАМ СУБЪЕКТОВ РОССИЙСКОЙ ФЕДЕРАЦИИ
НА ВОЗМЕЩЕНИЕ ЧАСТИ ЗАТРАТ НА УПЛАТУ ПРОЦЕНТОВ
ПО ИНВЕСТИЦИОННЫМ КРЕДИТАМ (ЗАЙМАМ)
В АГРОПРОМЫШЛЕННОМ КОМПЛЕКСЕ
1. Настоящие Правила устанавливают цели, условия и порядок предоставления и распределения субсидий из федерального бюджета бюджетам субъектов Российской Федерации на возмещение части затрат на уплату процентов по инвестиционным кредитам, полученным при заключении инвестиционных кредитных договоров в российских кредитных организациях и государственной корпорации развития "ВЭБ.РФ", и займам, полученным при заключении договоров займа в сельскохозяйственных кредитных потребительских кооперативах (далее соответственно - кредитные организации, кредиты (займы), кредитные договоры (договоры займа), возмещение части затрат, субсидии).
2. Субсидии предоставляются в целях софинансирования расходных обязательств субъектов Российской Федерации по возмещению части затрат по кредитным договорам (договорам займа), заключенным для реализации инвестиционных проектов, отобранных по 31 декабря 2016 г. включительно, а также инвестиционных проектов, реализация которых начата ранее 2010 года и которые не проходили процедуру отбора в соответствии с пунктом 7 настоящих Правил, до дня полного погашения обязательств заемщика в соответствии с кредитным договором (договором займа):
а) по кредитам (займам), полученным:
сельскохозяйственными товаропроизводителями (за исключением граждан, ведущих личное подсобное хозяйство), организациями агропромышленного комплекса независимо от их организационно-правовой формы, крестьянскими (фермерскими) хозяйствами и сельскохозяйственными потребительскими кооперативами по кредитным договорам (договорам займа), заключенным:
с 1 января 2004 г. по 31 декабря 2012 г. включительно на срок от 2 до 8 лет (за исключением организаций агропромышленного комплекса независимо от их организационно-правовой формы, занимающихся мясным скотоводством и (или) производством молока), - на приобретение оборудования, специализированного транспорта, специальной техники в соответствии с перечнем, утверждаемым Министерством сельского хозяйства Российской Федерации, оборудования для перевода грузовых автомобилей, тракторов и сельскохозяйственных машин на газомоторное топливо, племенной продукции (материала), а также на закладку многолетних насаждений и виноградников, строительство и реконструкцию прививочных комплексов для многолетних насаждений, строительство, реконструкцию и модернизацию животноводческих комплексов (ферм), объектов животноводства и кормопроизводства, хранилищ картофеля, овощей и фруктов, тепличных комплексов по производству плодоовощной продукции в закрытом грунте, объектов по переработке льна и льноволокна, мясохладобоен, пунктов по приемке и (или) первичной переработке сельскохозяйственных животных и молока, включая холодильную обработку и хранение мясной и молочной продукции, и строительство объектов по глубокой переработке высокопротеиновых сельскохозяйственных культур (сои, пшеницы, ржи, кукурузы, рапса, нута и сорго);
с 1 января 2004 г. по 31 декабря 2007 г. включительно на срок от 2 до 8 лет, - на приобретение сельскохозяйственной техники в соответствии с перечнем, утверждаемым Министерством сельского хозяйства Российской Федерации;
с 1 января 2009 г. по 31 декабря 2012 г. включительно на срок до 8 лет, - на строительство жилья для граждан, проживающих и работающих в сельской местности;
с 1 января 2010 г. по 31 декабря 2012 г. включительно на срок до 8 лет, - на приобретение машин, установок и аппаратов дождевальных и поливных, насосных станций в соответствии с перечнем, утверждаемым Министерством сельского хозяйства Российской Федерации;
сельскохозяйственными товаропроизводителями (за исключением граждан, ведущих личное подсобное хозяйство) по кредитным договорам (договорам займа), заключенным с 1 января 2008 г. по 31 декабря 2012 г. включительно на срок до 10 лет, и по кредитным договорам (договорам займа), заключенным с 1 января 2008 г. по 31 декабря 2012 г. включительно на срок до 15 лет, на развитие мясного и (или) молочного скотоводства, в том числе на приобретение сельскохозяйственной техники в соответствии с перечнем, утверждаемым Министерством сельского хозяйства Российской Федерации;
организациями агропромышленного комплекса независимо от их организационно-правовой формы, осуществляющими подработку, хранение и перевалку зерновых и масличных культур, по кредитным договорам (договорам займа), заключенным с 1 января 2010 г. по 31 декабря 2012 г. включительно на срок до 10 лет:
на строительство, реконструкцию и модернизацию мощностей для подработки, хранения и перевалки зерновых и масличных культур;
на приобретение оборудования для подработки, хранения и перевалки зерновых и масличных культур (включая монтажные и пусконаладочные работы) в соответствии с перечнем, утверждаемым Министерством сельского хозяйства Российской Федерации;
организациями агропромышленного комплекса независимо от их организационно-правовой формы по кредитным договорам (договорам займа), заключенным:
с 1 января 2009 г. по 31 декабря 2012 г. включительно на срок до 8 лет, - на строительство, реконструкцию и модернизацию сахарных заводов;
с 1 января 2010 г. по 31 декабря 2012 г. включительно на срок до 8 лет, - на строительство, реконструкцию и модернизацию заводов по производству дражированных семян сахарной свеклы;
с 1 января 2011 г. по 31 декабря 2011 г. включительно на срок до 8 лет, - на строительство, реконструкцию, модернизацию и восстановление мелиоративных систем, заводов, комплексов по подготовке и подработке семян сельскохозяйственных растений;
организациями независимо от их организационно-правовой формы, осуществляющими товарное (промышленное) рыбоводство, по кредитным договорам (договорам займа), заключенным с 1 января 2007 г. по 31 декабря 2011 г. включительно:
на срок до 5 лет, - на приобретение племенного материала рыб, техники и оборудования для товарного (промышленного) рыбоводства в соответствии с перечнем, утверждаемым Министерством сельского хозяйства Российской Федерации;
на срок до 8 лет, - на строительство, реконструкцию и модернизацию комплексов (ферм) по осуществлению товарного (промышленного) рыбоводства;
организациями независимо от их организационно-правовой формы, осуществляющими разведение одомашненных видов и пород рыб, по кредитным договорам (договорам займа), заключенным с 1 января 2012 г. по 31 декабря 2012 г. включительно:
на срок до 5 лет, - на приобретение племенного материала рыб, техники и оборудования для разведения одомашненных видов и пород рыб в соответствии с перечнем, утверждаемым Министерством сельского хозяйства Российской Федерации;
на срок до 8 лет, - на строительство, реконструкцию и модернизацию комплексов (ферм) по разведению одомашненных видов и пород рыб;
сельскохозяйственными товаропроизводителями (за исключением граждан, ведущих личное подсобное хозяйство), организациями агропромышленного комплекса независимо от их организационно-правовой формы, крестьянскими (фермерскими) хозяйствами и сельскохозяйственными потребительскими кооперативами, занимающимися мясным скотоводством и (или) производством молока, по кредитным договорам (договорам займа), заключенным с 1 января 2004 г. по 31 декабря 2012 г. включительно на срок до 15 лет, на приобретение оборудования, специализированного транспорта, специальной техники в соответствии с перечнем, утверждаемым Министерством сельского хозяйства Российской Федерации, оборудования для перевода грузовых автомобилей, тракторов и сельскохозяйственных машин на газомоторное топливо, племенной продукции (материала), а также на строительство, реконструкцию и модернизацию животноводческих комплексов (ферм), объектов животноводства и кормопроизводства, мясохладобоен, пунктов по приемке и (или) первичной переработке сельскохозяйственных животных и молока, включая холодильную обработку и хранение мясной и молочной продукции;
б) по кредитам (займам), полученным по кредитным договорам (договорам займа), заключенным с 1 января 2013 г. по 31 июля 2015 г. включительно:
сельскохозяйственными товаропроизводителями (за исключением граждан, ведущих личное подсобное хозяйство), сельскохозяйственными потребительскими кооперативами, крестьянскими (фермерскими) хозяйствами и организациями агропромышленного комплекса независимо от их организационно-правовой формы на срок от 2 до 8 лет, - на строительство, реконструкцию, модернизацию хранилищ картофеля, овощей и фруктов, тепличных комплексов по производству плодоовощной продукции в закрытом грунте, предприятий мукомольно-крупяной, хлебопекарной и масложировой промышленности, сахарных заводов, мощностей по переработке плодоовощной, ягодной продукции, винограда и картофеля, объектов по переработке льна и льноволокна, комплексов по подготовке семян сельскохозяйственных растений, заводов по производству дражированных семян сахарной свеклы, строительство объектов по глубокой переработке высокопротеиновых сельскохозяйственных культур, мощностей для подработки, хранения и перевалки зерновых и масличных культур, на закладку и уход за многолетними насаждениями, включая виноградники, строительство и реконструкцию прививочных комплексов для многолетних насаждений (в том числе виноградников), холодильников для хранения столового винограда, а также на цели развития подотрасли растениеводства в соответствии с перечнем, утверждаемым Министерством сельского хозяйства Российской Федерации;
сельскохозяйственными товаропроизводителями (за исключением граждан, ведущих личное подсобное хозяйство), сельскохозяйственными потребительскими кооперативами, крестьянскими (фермерскими) хозяйствами и организациями агропромышленного комплекса независимо от их организационно-правовой формы (за исключением организаций, занимающихся мясным скотоводством и (или) производством молока) на срок от 2 до 8 лет, - на строительство, реконструкцию и модернизацию комплексов (ферм), объектов животноводства, мясохладобоен, пунктов по приемке, первичной и (или) последующей (промышленной) переработке сельскохозяйственных животных и молока (включая холодильную обработку и хранение мясной и молочной продукции), предприятий по производству цельномолочной продукции, сыров и сливочного масла, цехов и участков по переработке и сушке сыворотки, на строительство и реконструкцию комбикормовых предприятий и цехов, приобретение племенной продукции, а также на цели развития подотрасли животноводства в соответствии с перечнем, утверждаемым Министерством сельского хозяйства Российской Федерации;
сельскохозяйственными товаропроизводителями (за исключением граждан, ведущих личное подсобное хозяйство), сельскохозяйственными потребительскими кооперативами, крестьянскими (фермерскими) хозяйствами и организациями агропромышленного комплекса независимо от их организационно-правовой формы, занимающимися мясным скотоводством, на срок до 15 лет, - на приобретение племенной продукции (материала) крупного рогатого скота мясных пород, строительство, реконструкцию и модернизацию комплексов (ферм), объектов для мясного скотоводства, мясохладобоен, пунктов по приемке, первичной и (или) последующей (промышленной) переработке, включая холодильную обработку и хранение мясной продукции, а также на цели развития мясного скотоводства в соответствии с перечнем, утверждаемым Министерством сельского хозяйства Российской Федерации;
сельскохозяйственными товаропроизводителями (за исключением граждан, ведущих личное подсобное хозяйство), сельскохозяйственными потребительскими кооперативами, крестьянскими (фермерскими) хозяйствами и организациями агропромышленного комплекса независимо от их организационно-правовой формы, занимающимися производством молока, на срок до 15 лет, - на строительство, реконструкцию и модернизацию комплексов (ферм), объектов животноводства, пунктов по приемке, первичной переработке молока (включая холодильную обработку и хранение молочной продукции), предприятий по производству цельномолочной продукции, сыров и сливочного масла, цехов и участков по переработке и сушке сыворотки, строительство и реконструкцию комбикормовых предприятий и цехов, приобретение племенной продукции, а также на цели развития подотрасли животноводства в соответствии с перечнем, утверждаемым Министерством сельского хозяйства Российской Федерации;
в) по кредитам (займам), полученным по кредитным договорам (договорам займа), заключенным с 1 января 2015 г. по 31 декабря 2016 г. включительно сельскохозяйственными товаропроизводителями (за исключением граждан, ведущих личное подсобное хозяйство), сельскохозяйственными потребительскими кооперативами, крестьянскими (фермерскими) хозяйствами и организациями агропромышленного комплекса независимо от их организационно-правовой формы на срок до 8 лет, на строительство, реконструкцию и модернизацию объектов по производству биотехнологической продукции в растениеводстве (диагностические наборы для выявления возбудителей заболеваний растений), в животноводстве и кормопроизводстве (биодобавки для улучшения качества кормов (аминокислоты, кормовой белок, ферменты, витамины, пробиотики), в пищевой и перерабатывающей промышленности (крахмалы и глюкозно-фруктовые сиропы, ферменты и микроорганизмы для молочных, масложировых, мясоперерабатывающих производств, органические кислоты (лимонная, молочная и уксусная), продукты глубокой переработки пищевого сырья, биотопливо);
г) по кредитам (займам), полученным по кредитным договорам (договорам займа), заключенным с 1 августа 2015 г. по 31 декабря 2016 г. включительно:
сельскохозяйственными товаропроизводителями (за исключением граждан, ведущих личное подсобное хозяйство), сельскохозяйственными потребительскими кооперативами и крестьянскими (фермерскими) хозяйствами, организациями и индивидуальными предпринимателями, осуществляющими первичную и (или) последующую (промышленную) переработку сельскохозяйственной продукции, на срок от 2 до 8 лет, - на строительство, реконструкцию, модернизацию хранилищ картофеля, овощей и фруктов, тепличных комплексов по производству плодоовощной продукции в закрытом грунте, предприятий мукомольно-крупяной, хлебопекарной и масложировой промышленности, сахарных заводов, мощностей по переработке плодоовощной, ягодной продукции, винограда и картофеля, объектов по переработке льна и льноволокна, комплексов по подготовке семян сельскохозяйственных растений, заводов по производству дражированных семян сахарной свеклы, строительство объектов по глубокой переработке высокопротеиновых сельскохозяйственных культур, мощностей для подработки, хранения и перевалки зерновых и масличных культур, на закладку и уход за многолетними насаждениями, включая виноградники, строительство и реконструкцию прививочных комплексов для многолетних насаждений (в том числе виноградников), холодильников для хранения винограда, строительство, реконструкцию и модернизацию объектов по производству винодельческой продукции, произведенной из собственного винограда, выращенного на территории Российской Федерации, а также на инвестиционные расходы, в том числе на приобретение техники, оборудования и изделий автомобильной промышленности, в соответствии с перечнем, утверждаемым Министерством сельского хозяйства Российской Федерации;
сельскохозяйственными товаропроизводителями (за исключением граждан, ведущих личное подсобное хозяйство), сельскохозяйственными потребительскими кооперативами и крестьянскими (фермерскими) хозяйствами, организациями и индивидуальными предпринимателями, осуществляющими первичную и (или) последующую (промышленную) переработку сельскохозяйственной продукции, на срок от 2 до 8 лет (за исключением кредитов (займов), полученных на развитие мясного и молочного скотоводства), - на строительство, реконструкцию и модернизацию комплексов (ферм), объектов животноводства, мясохладобоен, пунктов по приемке, первичной и (или) последующей (промышленной) переработке сельскохозяйственных животных и молока (включая холодильную обработку и хранение мясной и молочной продукции), предприятий по производству цельномолочной продукции, сыров и сливочного масла, цехов и участков по переработке и сушке сыворотки, строительство и реконструкцию комбикормовых предприятий и цехов, приобретение племенной продукции, а также на инвестиционные расходы, в том числе на приобретение техники, оборудования и изделий автомобильной промышленности, в соответствии с перечнем, утверждаемым Министерством сельского хозяйства Российской Федерации;
сельскохозяйственными товаропроизводителями (за исключением граждан, ведущих личное подсобное хозяйство), сельскохозяйственными потребительскими кооперативами и крестьянскими (фермерскими) хозяйствами, организациями и индивидуальными предпринимателями, осуществляющими первичную и (или) последующую (промышленную) переработку сельскохозяйственной продукции, на срок до 15 лет, - на развитие мясного скотоводства, в том числе на приобретение племенной продукции (материала) крупного рогатого скота мясных пород, строительство, реконструкцию и модернизацию комплексов (ферм), объектов для мясного скотоводства, мясохладобоен, пунктов по приемке, первичной и (или) последующей (промышленной) переработке, включая холодильную обработку и хранение мясной продукции, а также на инвестиционные расходы, в том числе на приобретение техники, оборудования и изделий автомобильной промышленности, в соответствии с перечнем, утверждаемым Министерством сельского хозяйства Российской Федерации;
сельскохозяйственными товаропроизводителями (за исключением граждан, ведущих личное подсобное хозяйство), сельскохозяйственными потребительскими кооперативами и крестьянскими (фермерскими) хозяйствами, организациями и индивидуальными предпринимателями, осуществляющими первичную и (или) последующую (промышленную) переработку сельскохозяйственной продукции, на срок до 15 лет, - на развитие молочного скотоводства, в том числе на строительство, реконструкцию и модернизацию комплексов (ферм), объектов животноводства, пунктов по приемке, первичной переработке молока (включая холодильную обработку и хранение молочной продукции), предприятий по производству цельномолочной продукции, сыров и сливочного масла, цехов и участков по переработке и сушке сыворотки, строительство и реконструкцию комбикормовых предприятий и цехов, приобретение племенной продукции, а также на инвестиционные расходы, в том числе на приобретение техники, оборудования и изделий автомобильной промышленности, в соответствии с перечнем, утверждаемым Министерством сельского хозяйства Российской Федерации;
сельскохозяйственными товаропроизводителями (за исключением граждан, ведущих личное подсобное хозяйство), сельскохозяйственными потребительскими кооперативами и крестьянскими (фермерскими) хозяйствами, организациями и индивидуальными предпринимателями, осуществляющими первичную и (или) последующую (промышленную) переработку сельскохозяйственной продукции:
на срок от 2 до 8 лет, - на строительство, реконструкцию и модернизацию селекционно-семеноводческих центров в растениеводстве;
на срок до 15 лет, - на строительство, реконструкцию и модернизацию селекционно-генетических центров в животноводстве, а также на инвестиционные расходы, в том числе на приобретение техники, оборудования и изделий автомобильной промышленности, в соответствии с перечнем, утверждаемым Министерством сельского хозяйства Российской Федерации;
российскими организациями на срок от 2 до 8 лет, - на строительство, реконструкцию и модернизацию оптово-распределительных центров, под которыми понимается комплекс зданий, строений и сооружений, предназначенный для хранения, подработки, первичной переработки, приема, упаковки и реализации сельскохозяйственной продукции, сырья и продовольствия, в том числе в системе внутренней продовольственной помощи нуждающимся слоям населения в Российской Федерации, для ветеринарного и фитосанитарного контроля с использованием автоматизированных электронных информационных и расчетных систем, включающих в том числе внутренние и наружные сети инженерно-технического обеспечения, а также на приобретение техники и оборудования в соответствии с перечнем, утверждаемым Министерством сельского хозяйства Российской Федерации;
д) по кредитам (займам), полученным по кредитным договорам (договорам займа), заключенным по 31 декабря 2016 г. включительно, на рефинансирование кредитов (займов), предусмотренных подпунктами "а" - "г" настоящего пункта, при условии, что суммарный срок пользования кредитами (займами) не превышает сроки, указанные в этих подпунктах;
е) по кредитам (займам), полученным по кредитным договорам (договорам займа), заключенным по 31 декабря 2016 г. включительно сельскохозяйственными товаропроизводителями, организациями и индивидуальными предпринимателями, осуществляющими первичную и (или) последующую (промышленную) переработку сельскохозяйственной продукции, на рефинансирование (возмещение) затрат, понесенных по направлениям, предусмотренным подпунктами "а" - "г" настоящего пункта, источниками финансирования которых являются займы, предоставленные акционерами заемщика, или облигационные займы, и произведенных после 1 января 2015 г., при условии, что срок пользования такими кредитами (займами) не превышает срок, указанный в этих подпунктах;
ж) по кредитам (займам), полученным с 1 января 2017 г. на рефинансирование кредитов (займов), полученных на реализацию инвестиционных проектов, отобранных по 31 декабря 2016 г. включительно по направлениям, предусмотренным подпунктами "а" - "е" настоящего пункта, при условии, что суммарный срок пользования кредитами (займами) не превышает суммарные сроки, указанные в этих подпунктах, с учетом продления в соответствии с пунктом 3 настоящих Правил, а сумма кредита (займа) равна сумме рефинансируемого кредита (займа), в случае если рефинансируемый кредит (заем) не освоен заемщиком в полном объеме, или сумма кредита (займа) не превышает сумму непогашенного остатка ссудной задолженности рефинансируемого кредита (займа), в случае если рефинансируемый кредит (заем) освоен заемщиком в полном объеме и размер ключевой ставки, установленный на дату заключения такого кредита (займа), не превышает размер ставки рефинансирования (учетной ставки) Центрального банка Российской Федерации, действовавшей на дату первоначального заключения кредитного договора (договора займа);
з) по кредитам (займам), полученным с 1 января 2017 г., привлеченным в иностранной валюте на рефинансирование кредитов (займов), полученных на реализацию инвестиционных проектов, а также привлеченным в рублях на рефинансирование кредитов (займов), полученных в иностранной валюте на реализацию инвестиционных проектов, при условии, что указанные рефинансируемые кредиты (займы) предоставлены на реализацию инвестиционных проектов, отобранных по направлениям, предусмотренным подпунктами "а" - "е" настоящего пункта, и при условии, что суммарный срок пользования рефинансируемого кредита (займа) и кредита (займа) на рефинансирование не превышает сроки, указанные в этих подпунктах, а сумма кредита (займа) равна сумме рефинансируемого кредита (займа) исходя из курса иностранной валюты, устанавливаемого Центральным банком Российской Федерации, на дату заключения кредита (займа), полученного на рефинансирование, в случае если рефинансируемый кредит (заем) не освоен заемщиком в полном объеме, или сумма кредита (займа) не превышает сумму непогашенного остатка ссудной задолженности рефинансируемого кредита (займа), в случае если рефинансируемый кредит (заем) освоен заемщиком в полном объеме.
3. В случае подписания:
по 31 декабря 2012 г. включительно соглашения о продлении срока пользования кредитами (займами) в соответствии с абзацем третьим подпункта "а" пункта 2 настоящих Правил, полученными по кредитным договорам (договорам займа), заключенным с 1 января 2004 г., возмещение части затрат по таким кредитным договорам (договорам займа) осуществляется с их продлением на срок, не превышающий 3 лет;
по 31 декабря 2014 г. включительно соглашения о продлении срока пользования кредитами (займами) в соответствии с подпунктами "а" и "б" пункта 2 настоящих Правил, полученными по кредитным договорам (договорам займа), заключенным сельскохозяйственными товаропроизводителями, сельскохозяйственными потребительскими кооперативами и крестьянскими (фермерскими) хозяйствами, сельскохозяйственная продукция которых пострадала в результате воздействия крупномасштабного наводнения в 2013 году на территориях Республики Саха (Якутия), Приморского и Хабаровского краев, Амурской и Магаданской областей и Еврейской автономной области, возмещение части затрат по таким кредитным договорам (договорам займа) осуществляется с их продлением на срок, не превышающий 3 лет;
с 1 января по 31 декабря 2015 г. включительно соглашения о продлении срока пользования кредитами (займами) по кредитным договорам (договорам займа), предусмотренным подпунктами "а" - "в" пункта 2 настоящих Правил, возмещение части затрат по таким договорам осуществляется с их продлением на срок, не превышающий одного года;
после 1 июля 2019 г. дополнительного соглашения о конвертации валюты кредитного договора (договора займа), полученного в иностранной валюте, в валюту Российской Федерации возмещение части затрат по такому кредитному договору (договору займа) осуществляется исходя из размера процентной ставки по кредитному договору (договору займа), привлеченному в иностранной валюте, но не более предельных размеров, установленных пунктом 5 настоящих Правил;
после 1 июля 2020 г. соглашения о продлении срока пользования кредитами (займами) по кредитным договорам (договорам займа) на строительство, реконструкцию, модернизацию тепличных комплексов по производству плодоовощной продукции в закрытом грунте в соответствии с абзацем вторым подпункта "б" и абзацем вторым подпункта "г" пункта 2 настоящих Правил возмещение части затрат по таким договорам осуществляется при условии, что срок кредитования с учетом такого продления не превысит 12 лет;
соглашения о продлении срока пользования кредитами (займами) в соответствии с пунктом 2 настоящих Правил, полученными по кредитным договорам (договорам займа), заключенным сельскохозяйственными товаропроизводителями, сельскохозяйственными потребительскими кооперативами и крестьянскими (фермерскими) хозяйствами, пострадавшими в 2020 году, а также в последующие годы в результате установления ограничительных мероприятий (карантина) вследствие распространения африканской чумы свиней, возмещение части затрат по таким кредитным договорам (договорам займа) осуществляется при условии, что срок кредитования с учетом такого продления не превысит 12 лет;
после 1 августа 2024 г. соглашения о продлении срока пользования кредитами (займами) в соответствии с пунктом 2 настоящих Правил, полученными по кредитным договорам (договорам займа), заключенным заемщиками, пострадавшими в результате действий вооруженных формирований Украины и (или) террористических актов и (или) осуществление деятельности которых невозможно в результате действий вооруженных формирований Украины, возмещение части затрат по таким кредитным договорам (договорам займа) осуществляется с их продлением на срок, не превышающий одного года, при условии представления в кредитную организацию документов, подтверждающих факт причинения ущерба имуществу, приобретенному за счет средств такого кредита (займа), которое используется для производства, первичной и (или) последующей (промышленной) переработки сельскохозяйственной продукции и ее реализации, в результате обстрелов со стороны вооруженных формирований Украины и (или) террористических актов, и (или) документов, подтверждающих факт невозможности ведения хозяйственной деятельности в результате действий вооруженных формирований Украины, выданных исполнительным органом субъекта Российской Федерации, уполномоченным высшим исполнительным органом субъекта Российской Федерации (далее - уполномоченный орган).
Сельскохозяйственным товаропроизводителям, сельскохозяйственным потребительским кооперативам и крестьянским (фермерским) хозяйствам, сельскохозяйственная продукция которых пострадала в результате воздействия засухи в 2010 году в субъектах Российской Федерации, исполнительные органы которых ввели по факту засухи в установленном порядке режим чрезвычайной ситуации, возмещение части затрат в соответствии с подпунктом "а" пункта 2 настоящих Правил осуществляется по кредитным договорам (договорам займа), продленным на срок, не превышающий 3 лет.
Заемщики, пострадавшие в результате действий вооруженных формирований Украины и (или) террористических актов и (или) осуществление деятельности которых невозможно в результате действий вооруженных формирований Украины, с 1 августа 2024 г. имеют право заключить с кредитной организацией дополнительное соглашение к кредитному договору (договору займа) в целях предоставления отсрочки платежей по начисленным процентам и выплате основного долга по ранее предоставленному кредиту (займу) на срок до одного года при условии представления в кредитную организацию документов, подтверждающих факт причинения ущерба имуществу, приобретенному за счет средств такого кредита (займа), которое используется для производства, первичной и (или) последующей (промышленной) переработки сельскохозяйственной продукции и ее реализации, в результате обстрелов со стороны вооруженных формирований Украины и (или) террористических актов, и (или) документов, подтверждающих факт невозможности ведения хозяйственной деятельности в результате действий вооруженных формирований Украины, выданных уполномоченным органом.
4. При определении предельного срока продления кредитного договора (договора займа) в соответствии с пунктом 3 настоящих Правил продление, осуществленное в пределах сроков, установленных пунктом 2 настоящих Правил, не учитывается.
5. В случае если заемщик привлек кредит (заем) в иностранной валюте, средства бюджета субъекта Российской Федерации предоставляются исходя из курса рубля к иностранной валюте, установленного Центральным банком Российской Федерации на дату уплаты процентов по кредиту (займу). При расчете размера средств бюджета субъекта Российской Федерации, в том числе по кредитам (займам), предусмотренным подпунктом "з" пункта 2 настоящих Правил, используется процентная ставка по кредиту (займу), привлеченному в иностранной валюте, предельный размер которой устанавливается в размере 10,5 процента годовых, а по кредитам (займам), полученным с 1 января 2015 г., - не более 10 процентов годовых.
6. Расчет размера средств бюджета субъекта Российской Федерации, предоставляемых на возмещение части затрат (далее - средства бюджета субъекта Российской Федерации), осуществляется исходя из ставки рефинансирования (учетной ставки) Центрального банка Российской Федерации, ключевой ставки или ставки по кредитам (займам) в иностранной валюте с учетом ее предельных размеров, предусмотренных пунктом 5 настоящих Правил, действующим на дату заключения кредитного договора (договора займа), а в случае наличия дополнительного соглашения, банковского уведомления либо иного документа к кредитному договору (договору займа), связанных с изменением размера платы за пользование кредитом (займом), - на дату составления соответствующего документа к кредитному договору (договору займа).
Расчет размера средств бюджета субъекта Российской Федерации осуществляется исходя из ставки рефинансирования (учетной ставки) Центрального банка Российской Федерации или ключевой ставки, действующих по состоянию на 1 июля 2019 г., вне зависимости от периода, за который предоставляется расчет средств заемщику на выплату процентов по кредиту (займу), полученному в соответствии с пунктом 2 настоящих Правил. Указанное правило не распространяется на кредиты (займы), предусмотренные абзацами пятым и восьмым пункта 3 настоящих Правил, первоначально привлеченные в иностранной валюте, а также на кредиты (займы), полученные в иностранной валюте и предусмотренные пунктом 5 настоящих Правил.
В случае если значение ставки рефинансирования (учетной ставки) Центрального банка Российской Федерации или ключевой ставки по состоянию на 1 июля 2019 г. превышает значение ставки рефинансирования (учетной ставки) Центрального банка Российской Федерации или ключевой ставки на дату заключения кредитного договора (договора займа), а в случае наличия дополнительного соглашения, банковского уведомления либо иного документа к кредитному договору (договору займа), связанного с изменением размера платы за пользование кредитом (займом), - на дату составления соответствующего документа к кредитному договору (договору займа), расчет средств бюджета субъекта Российской Федерации осуществляется по ставке рефинансирования (учетной ставке) Центрального банка Российской Федерации или ключевой ставке, действующим на дату заключения кредитного договора (договора займа), а в случае наличия дополнительного соглашения, банковского уведомления либо иного документа к кредитному договору (договору займа), связанного с изменением размера платы за пользование кредитом (займом), - на дату составления соответствующего документа к кредитному договору (договору займа). Указанное правило не распространяется на кредиты, полученные в иностранной валюте и предусмотренные пунктом 5 настоящих Правил.
В отношении кредитов (займов), полученных в соответствии с подпунктом "з" пункта 2 настоящих Правил, расчет размера субсидий осуществляется исходя из размера процентной ставки по кредиту (займу) с учетом предельного размера, установленного пунктом 5 настоящих Правил. В случае конвертации валюты кредитного договора (договора займа), полученного в иностранной валюте, в валюту Российской Федерации после 1 июля 2019 г. в соответствии с абзацем пятым пункта 3 настоящих Правил, а также по кредитам (займам), предусмотренным абзацем восьмым пункта 3 настоящих Правил, первоначально привлеченным в иностранной валюте, расчет размера субсидий для таких кредитных договоров (договоров займа) осуществляется исходя из размера процентной ставки по кредитному договору (договору займа), привлеченному в иностранной валюте, но не более предельных размеров, установленных пунктом 5 настоящих Правил.
Абзац утратил силу. - Постановление Правительства РФ от 03.10.2024 N 1327.
6(1). В случае если кредитный договор (договор займа), заключенный между кредитной организацией и сельскохозяйственным товаропроизводителем, предусматривает применение фиксированной процентной ставки по кредиту (займу), увеличение такой процентной ставки по кредитному договору (договору займа) не допускается.
7. Начало пользования кредитными средствами по кредиту (займу) (кредиту в рамках кредитной линии) или его части должно быть осуществлено до 1 января 2019 г., за исключением кредитов (займов), полученных после 1 января 2019 г. на рефинансирование кредитов (займов), предусмотренных подпунктами "ж" и "з" пункта 2 настоящих Правил.
Инвестиционные проекты, прошедшие отбор по 31 декабря 2016 г. включительно в порядке, установленном Министерством сельского хозяйства Российской Федерации для предоставления субсидий, считаются отобранными для целей настоящих Правил и повторному отбору не подлежат.
Изменение направления целевого использования привлеченных в целях реализации инвестиционных проектов кредитов (займов), указанного при прохождении такими проектами отбора, в порядке, установленном Министерством сельского хозяйства Российской Федерации, не допускается.
8. Размер предоставленных средств бюджета субъекта Российской Федерации не должен превышать фактические затраты заемщиков на уплату процентов по кредитным договорам (договорам займа), предусмотренным пунктом 2 настоящих Правил.
9. Субсидии предоставляются в пределах лимитов бюджетных обязательств, доведенных до Министерства сельского хозяйства Российской Федерации как получателя средств федерального бюджета на предоставление субсидий на цели, указанные в пункте 2 настоящих Правил.
10. Субсидии предоставляются при соблюдении следующих условий:
а) наличие правовых актов субъекта Российской Федерации, утверждающих перечень мероприятий (результатов), при реализации которых возникают расходные обязательства субъекта Российской Федерации, в целях софинансирования которых предоставляются субсидии, в соответствии с требованиями нормативных правовых актов Российской Федерации;
б) наличие в бюджете субъекта Российской Федерации бюджетных ассигнований на исполнение расходного обязательства субъекта Российской Федерации, софинансирование которого осуществляется из федерального бюджета, в объеме, необходимом для его исполнения, включающем размер планируемой к предоставлению субсидии, если иное не установлено актами Президента Российской Федерации или Правительства Российской Федерации;
в) заключение соглашения о предоставлении субсидии между Министерством сельского хозяйства Российской Федерации и высшим исполнительным органом субъекта Российской Федерации в соответствии с пунктом 10 Правил формирования, предоставления и распределения субсидий из федерального бюджета бюджетам субъектов Российской Федерации, утвержденных постановлением Правительства Российской Федерации от 30 сентября 2014 г. N 999 "О формировании, предоставлении и распределении субсидий из федерального бюджета бюджетам субъектов Российской Федерации" (далее соответственно - Правила формирования субсидий, соглашение).
11. Критерием отбора субъектов Российской Федерации для предоставления субсидий является наличие правового акта субъекта Российской Федерации, предусматривающего условия и порядок предоставления средств бюджета субъекта Российской Федерации по указанным в пункте 2 настоящих Правил направлениям и включающего в том числе условие, что средства бюджета субъекта Российской Федерации предоставляются на возмещение части затрат по кредитам (займам) в размере 100 процентов ставки рефинансирования (учетной ставки) Центрального банка Российской Федерации, требования к заемщикам, перечень документов, необходимых для получения средств бюджета субъекта Российской Федерации, и сроки их рассмотрения, которые не должны превышать 10 рабочих дней.
12. Для получения средств бюджета субъекта Российской Федерации заемщик представляет в уполномоченный орган предусмотренные нормативным правовым актом субъекта Российской Федерации следующие документы:
а) заявление о получении средств бюджета субъекта Российской Федерации;
б) копии платежных поручений (иных банковских документов), подтверждающих оплату процентов за период, указанный в заявлении, заверенные кредитной организацией;
в) копии документов, подтверждающих целевое использование кредитных средств;
г) расчет средств бюджета субъекта Российской Федерации за период, указанный в заявлении.
13. Для получения средств бюджета субъекта Российской Федерации заемщик не должен находиться в процессе ликвидации, реорганизации (за исключением реорганизации в форме присоединения или преобразования при условии сохранения заемщиком статуса сельскохозяйственного товаропроизводителя).
14. Средства бюджета субъекта Российской Федерации предоставляются заемщикам при условии выполнения ими обязательств по погашению основного долга и уплаты начисленных процентов. Средства бюджета субъекта Российской Федерации на уплату процентов, начисленных и уплаченных вследствие нарушения обязательств по погашению основного долга и уплаты начисленных процентов, не предоставляются.
15. Средства из бюджета субъекта Российской Федерации предоставляются после проверки уполномоченным органом представленных заемщиком документов, подтверждающих целевое использование кредита (займа).
В случае реализации инвестиционного проекта на территории 2 и более субъектов Российской Федерации по заявлению заемщика ссудная задолженность по кредиту (займу) учитывается в соответствии с результатами отбора, предусмотренного пунктом 7 настоящих Правил, а перечисление средств бюджета субъекта Российской Федерации производится теми субъектами Российской Федерации, в которых происходит реализация соответствующего инвестиционного проекта.
В случае реализации инвестиционного проекта на территории 2 и более субъектов Российской Федерации с привлечением кредитных (заемных) средств в иностранной валюте, а также в случае, предусмотренном абзацем пятым пункта 3 настоящих Правил, положения, предусмотренные абзацем вторым настоящего пункта, не применяются. По заявлению заемщика ссудная задолженность по таким кредитам (займам) учитывается, и перечисление средств на уплату процентов по кредиту (займу) производится в одном из субъектов Российской Федерации, в котором происходит освоение кредитных средств, по выбору заемщика. При этом субсидии предоставляются одному из субъектов Российской Федерации при условии, что по кредиту (займу) не осуществляется предоставление средств бюджета субъекта Российской Федерации по тому же кредиту (займу) за счет средств федерального бюджета в других субъектах Российской Федерации, в которых реализуется соответствующий инвестиционный проект.
16. Уполномоченный орган вправе предоставить заемщику средства бюджета субъекта Российской Федерации за несколько месяцев при условии представления заемщиком документов, подтверждающих целевое использование кредита (займа), а также платежных поручений, подтверждающих уплату процентов по кредиту (займу) за период, указанный в заявлении о получении средств бюджета субъекта Российской Федерации.
17. Размер субсидии, предоставляемой бюджету i-го субъекта Российской Федерации, (Wi) определяется по формуле:
Wi = V x (Bi / SUMBi),
где:
V - объем бюджетных ассигнований, предусмотренных в федеральном бюджете на очередной финансовый год и плановый период на предоставление субсидий;
Bi - размер субсидий, предоставляемых на возмещение части затрат по кредитам (займам), предусмотренным пунктом 2 настоящих Правил.
18. Размер субсидий, предоставляемых на возмещение части затрат по кредитам (займам), предусмотренным пунктом 2 настоящих Правил, (Bi) определяется по формуле:
Bi = Si x Yi x Z,
где:
Si - среднегодовой остаток ссудной задолженности по кредитам (займам) i-го субъекта Российской Федерации;
Yi - предельный уровень софинансирования расходного обязательства i-го субъекта Российской Федерации из федерального бюджета на очередной финансовый год (в процентах), определяемый в соответствии с пунктом 13 Правил формирования субсидий;
Z - ставка рефинансирования (учетная ставка) Центрального банка Российской Федерации или ключевая ставка по состоянию на 1 июля 2019 г., а в случае наличия дополнительного соглашения, банковского уведомления либо иного документа к кредитному договору (договору займа), связанного с изменением размера платы за пользование кредитом (займом), - на дату составления соответствующего документа к кредитному договору (договору займа), в отношении кредитов (займов), предусмотренных абзацем пятым пункта 3 настоящих Правил, процентная ставка по кредиту (займу), привлеченному в иностранной валюте, предельный размер которой устанавливается в размере не более 10,5 процента годовых, а по кредитам (займам), полученным с 1 января 2015 г., - не более 10 процентов годовых.
19. В случае увеличения в текущем финансовом году бюджетных ассигнований из федерального бюджета на предоставление субсидий расчет размера субсидий осуществляется на основании данных, применяемых при расчете размера субсидий на соответствующий финансовый год в соответствии с пунктами 17 и 18 настоящих Правил.
20. Субсидии предоставляются на основании соглашения, подготавливаемого (формируемого) с использованием государственной интегрированной информационной системы управления общественными финансами "Электронный бюджет" в соответствии с типовой формой, утвержденной Министерством финансов Российской Федерации.
21. Перечисление субсидий осуществляется в установленном порядке на единые счета бюджетов, открытые финансовым органам субъектов Российской Федерации в территориальных органах Федерального казначейства.
22. Уполномоченный орган представляет в Министерство сельского хозяйства Российской Федерации следующие документы:
а) выписка из закона субъекта Российской Федерации о бюджете субъекта Российской Федерации (сводной бюджетной росписи бюджета субъекта Российской Федерации) и (или) выписка из нормативного правового акта органа местного самоуправления о местном бюджете (сводной бюджетной росписи местного бюджета), подтверждающая наличие утвержденных в бюджете субъекта Российской Федерации (местном бюджете) бюджетных ассигнований на финансовое обеспечение указанных в пункте 2 настоящих Правил расходных обязательств субъекта Российской Федерации (расходных обязательств муниципальных образований, в целях софинансирования которых бюджету субъекта Российской Федерации предоставляется субсидия), - не позднее 30 дней со дня заключения соглашения;
б) документ, содержащий информацию об использовании средств бюджетов субъектов Российской Федерации, в целях софинансирования расходных обязательств по предоставлению которых предоставляется субсидия, с приложением перечня получателей средств - по форме и в срок, которые устанавливаются Министерством сельского хозяйства Российской Федерации;
в) отчеты об осуществлении расходов бюджета субъекта Российской Федерации, в целях софинансирования которых предоставляется субсидия, а также о достижении значения результата использования субсидии и об обязательствах, принятых в целях его достижения, подготавливаемые (формируемые) с использованием государственной интегрированной информационной системы управления общественными финансами "Электронный бюджет", - в порядке и сроки, которые установлены соглашением;
г) отчет о финансово-экономическом состоянии товаропроизводителей агропромышленного комплекса - по форме и в срок, которые устанавливаются Министерством сельского хозяйства Российской Федерации.
23. В случае отсутствия в текущем финансовом году у субъекта Российской Федерации потребности в субсидиях неиспользованные субсидии на основании письменного обращения уполномоченного органа перераспределяются между бюджетами других субъектов Российской Федерации.
24. Размер субсидий, образовавшийся в соответствии с пунктом 23 настоящих Правил, перераспределяется на основании представленных уполномоченными органами в Министерство сельского хозяйства Российской Федерации письменных обращений об увеличении (уменьшении) годового размера выделяемых субсидий пропорционально удельному весу дополнительной потребности субъекта Российской Федерации в субсидиях в общем объеме дополнительной потребности субъектов Российской Федерации в субсидиях с учетом фактического освоения средств за отчетный период.
25. Для оценки эффективности использования субсидий применяется предусмотренный паспортом федерального проекта "Стимулирование инвестиционной деятельности в агропромышленном комплексе" результат использования субсидий "Достигнуто уменьшение объема ссудной задолженности по инвестиционным кредитам (займам) в агропромышленном комплексе (млрд. рублей)".
Плановое значение результата использования субсидий на соответствующую дату в рамках планового бюджетного периода, предусматриваемое соглашением, устанавливается на основании сведений об инвестиционных кредитах (займах), обеспечиваемых государственной поддержкой в виде возмещения части процентной ставки, предоставляемых в Министерство сельского хозяйства Российской Федерации уполномоченными органами по состоянию на 1 октября текущего года по форме и в срок, которые устанавливаются Министерством.
26. Оценка эффективности использования субсидий производится ежегодно на основании сравнения установленного соглашением планового значения результата использования субсидий и фактического результата использования субсидий.
В рамках оценки эффективности использования субсидий итоговое значение, превышающее 100 процентов, отражает меньшую эффективность использования субсидий.
27. Порядок и условия возврата средств из бюджета субъекта Российской Федерации в федеральный бюджет в случае нарушения субъектом Российской Федерации обязательств, предусмотренных соглашением, в том числе касающихся достижения значений результата использования субсидии, а также основания для освобождения субъекта Российской Федерации от применения мер ответственности за нарушение указанных обязательств установлены пунктами 16 - 18 и 20 Правил формирования субсидий.
В случае нарушения целей, установленных при предоставлении субсидии, применяются бюджетные меры принуждения, предусмотренные бюджетным законодательством Российской Федерации.
28. Ответственность за достоверность представляемых в Министерство сельского хозяйства Российской Федерации сведений и соблюдение условий, предусмотренных настоящими Правилами и соглашением, возлагается на уполномоченный орган и высший исполнительный орган субъекта Российской Федерации.
29. Контроль за соблюдением субъектами Российской Федерации условий предоставления субсидий осуществляется Министерством сельского хозяйства Российской Федерации и уполномоченными органами государственного финансового контроля.
Приложение N 14
к Государственной программе развития
сельского хозяйства и регулирования
рынков сельскохозяйственной продукции,
сырья и продовольствия
ПРАВИЛА
ПРЕДОСТАВЛЕНИЯ И РАСПРЕДЕЛЕНИЯ СУБСИДИЙ ИЗ ФЕДЕРАЛЬНОГО
БЮДЖЕТА БЮДЖЕТАМ СУБЪЕКТОВ РОССИЙСКОЙ ФЕДЕРАЦИИ В ЦЕЛЯХ
СОФИНАНСИРОВАНИЯ РАСХОДНЫХ ОБЯЗАТЕЛЬСТВ СУБЪЕКТОВ
РОССИЙСКОЙ ФЕДЕРАЦИИ ПО ФИНАНСОВОМУ ОБЕСПЕЧЕНИЮ (ВОЗМЕЩЕНИЮ)
ПРОИЗВОДИТЕЛЯМ ЗЕРНОВЫХ КУЛЬТУР ЧАСТИ ЗАТРАТ НА ПРОИЗВОДСТВО
И РЕАЛИЗАЦИЮ ЗЕРНОВЫХ КУЛЬТУР
1. Настоящие Правила устанавливают цели, условия и порядок предоставления и распределения субсидий из федерального бюджета бюджетам субъектов Российской Федерации в целях софинансирования расходных обязательств субъектов Российской Федерации по финансовому обеспечению (возмещению) производителям зерновых культур части затрат на производство и реализацию зерновых культур (далее - субсидия).
2. Используемые в настоящих Правилах понятия означают следующее:
"зерно" - плоды зерновых культур;
"зерновые культуры" - пшеница, рожь, кукуруза, ячмень;
"производители зерновых культур" - сельскохозяйственные товаропроизводители (за исключением граждан, ведущих личное подсобное хозяйство, и сельскохозяйственных кредитных потребительских кооперативов), зарегистрированные в Федеральной государственной информационной системе прослеживаемости зерна и продуктов переработки зерна (далее - Федеральная система прослеживаемости зерна) в соответствии с Правилами создания Федеральной государственной информационной системы прослеживаемости зерна и продуктов переработки зерна, ее развития и эксплуатации, включая правила регистрации и представления сведений и информации в Федеральную государственную информационную систему прослеживаемости зерна и продуктов переработки зерна, сроки, формы и форматы представления сведений и информации, требования к обеспечению доступа к информации, содержащейся в такой системе, а также формы и порядок направления запросов о представлении информации, в том числе с использованием информационно-телекоммуникационных сетей общего пользования, включая сеть "Интернет" и единый портал государственных и муниципальных услуг, утвержденными постановлением Правительства Российской Федерации от 9 октября 2021 г. N 1722 "О Федеральной государственной информационной системе прослеживаемости зерна и продуктов переработки зерна", а также научные организации, профессиональные образовательные организации, образовательные организации высшего образования, которые в процессе научной, научно-технической и (или) образовательной деятельности осуществляют производство сельскохозяйственной продукции (зерновых культур), ее первичную и последующую (промышленную) переработку.
3. Субсидии предоставляются в целях софинансирования расходных обязательств субъектов Российской Федерации, связанных с предоставлением средств бюджетов субъектов Российской Федерации на финансовое обеспечение (возмещение) производителям зерновых культур части затрат (без учета налога на добавленную стоимость) на производство и реализацию зерновых культур (далее соответственно - средства, получатели средств).
Для получателей средств, использующих право на освобождение от исполнения обязанностей налогоплательщика, связанных с исчислением и уплатой налога на добавленную стоимость, финансовое обеспечение (возмещение) части затрат на производство и реализацию зерновых культур осуществляется исходя из суммы расходов на приобретение товаров (работ, услуг), включая сумму налога на добавленную стоимость.
4. Субсидия предоставляется в пределах лимитов бюджетных обязательств, доведенных до Министерства сельского хозяйства Российской Федерации как получателя средств федерального бюджета на предоставление субсидии на цели, указанные в пункте 3 настоящих Правил.
5. Средства предоставляются получателям средств на финансовое обеспечение части затрат на производство и реализацию зерновых культур в текущем финансовом году и (или) возмещение части затрат на производство и реализацию зерновых культур, понесенных получателями средств в текущем финансовом году и (или) в отчетном финансовом году, по ставке на 1 тонну реализованного зерна собственного производства.
Размер указанных ставок определяется высшим исполнительным органом субъекта Российской Федерации или исполнительным органом субъекта Российской Федерации, уполномоченным высшим исполнительным органом субъекта Российской Федерации (далее - уполномоченный орган), исходя из необходимости достижения результата использования субсидии, предусмотренного пунктом 16 настоящих Правил. В случае если при производстве конкретной зерновой культуры, в целях компенсации части затрат на производство и реализацию которой предоставляются средства, не осуществлялось сельскохозяйственное страхование с государственной поддержкой имущественных интересов, связанных с риском утраты (гибели) урожая такой зерновой культуры, при расчете размера ставок, указанных в абзаце первом настоящего пункта, применяется коэффициент 0,5.
С 1 января 2025 г. средства предоставляются получателям средств при условии документального подтверждения наличия у них прав пользования земельными участками, на которых осуществляется или планируется осуществлять производство зерновых культур, в целях финансового обеспечения (возмещения) части затрат на производство и реализацию которых предоставляется субсидия.
6. Субсидия предоставляется бюджетам субъектов Российской Федерации при соблюдении следующих условий:
а) наличие правовых актов субъекта Российской Федерации, утверждающих перечень мероприятий, при реализации которых возникают расходные обязательства субъектов Российской Федерации, в целях софинансирования которых предоставляется субсидия, в соответствии с требованиями нормативных правовых актов Российской Федерации;
б) наличие в бюджете субъекта Российской Федерации бюджетных ассигнований на исполнение расходного обязательства субъекта Российской Федерации, софинансирование которого осуществляется из федерального бюджета, в объеме, необходимом для его исполнения, и порядка определения объемов указанных ассигнований, если иное не установлено актами Президента Российской Федерации или Правительства Российской Федерации;
в) заключение соглашения о предоставлении субсидии между Министерством сельского хозяйства Российской Федерации и высшим исполнительным органом субъекта Российской Федерации в соответствии с пунктом 10 Правил формирования, предоставления и распределения субсидий из федерального бюджета бюджетам субъектов Российской Федерации, утвержденных постановлением Правительства Российской Федерации от 30 сентября 2014 г. N 999 "О формировании, предоставлении и распределении субсидий из федерального бюджета бюджетам субъектов Российской Федерации" (далее соответственно - Правила формирования субсидий, соглашение).
6(1). В соглашение подлежат включению обязательство субъекта Российской Федерации по перечислению не позднее 1 мая текущего финансового года получателям средств не менее 50 процентов размера субсидии, предусмотренного этому субъекту Российской Федерации в федеральном бюджете на текущий финансовый год (для субъектов Российской Федерации, в которых в 2022 году в соответствии с Указом Президента Российской Федерации от 19 октября 2022 г. N 757 "О мерах, осуществляемых в субъектах Российской Федерации в связи с Указом Президента Российской Федерации от 19 октября 2022 г. N 756" введен средний уровень реагирования, субъектов Российской Федерации, ввоз материально-технических средств для производства сельскохозяйственной продукции (зерновых культур), ее первичной и последующей (промышленной) переработки в которые обеспечивается посредством транзита наземным транспортом через территории иностранных государств и территории, совершающие в отношении Российской Федерации, российских юридических лиц и физических лиц недружественные действия, указанные в перечне иностранных государств и территорий, совершающих в отношении Российской Федерации, российских юридических лиц и физических лиц недружественные действия, утвержденном распоряжением Правительства Российской Федерации от 5 марта 2022 г. N 430-р, и субъектов Российской Федерации, входящих в состав Сибирского и Дальневосточного федеральных округов, - не менее 30 процентов), а также обязательство по заключению в соответствии с пунктом 11(1) настоящих Правил дополнительного соглашения к соглашению (об уменьшении размера субсидии, подлежащей предоставлению в текущем финансовом году, в случае нарушения обязательства по перечислению средств, указанного в настоящем пункте).
7. Предоставление субсидии осуществляется на основании соглашения, подготавливаемого (формируемого) и заключаемого с использованием государственной интегрированной информационной системы управления общественными финансами "Электронный бюджет" в соответствии с типовой формой, утвержденной Министерством финансов Российской Федерации.
8. Критериями отбора субъектов Российской Федерации для предоставления субсидии являются:
а) наличие в субъекте Российской Федерации производителей зерновых культур согласно данным Федеральной службы государственной статистики;
б) наличие нормативного правового акта субъекта Российской Федерации, соответствующего требованиям настоящих Правил, предусматривающего условия и порядок предоставления средств и содержащего положение о том, что предельный объем государственной поддержки, предоставляемой производителям зерновых культур на финансовое обеспечение (возмещение) части затрат на производство и реализацию зерновых культур, не может составлять более 50 процентов объема таких затрат, а также перечень документов, необходимых для получения средств на финансовое обеспечение (возмещение) части затрат на производство и реализацию зерновых культур.
8(1). В перечень документов, указанный в подпункте "б" пункта 8 настоящих Правил, включаются следующие документы:
заявление о предоставлении средств из бюджета субъекта Российской Федерации;
расчет размера причитающихся производителю зерновых культур средств из бюджета субъекта Российской Федерации, расходные обязательства субъектов Российской Федерации по предоставлению которых софинансируются из федерального бюджета;
сведения из Федеральной системы прослеживаемости зерна об объемах производства зерновых культур собственного производства;
товаросопроводительные документы на партию зерна или партию продуктов переработки зерна, оформленные в соответствии с Правилами оформления товаросопроводительного документа на партию зерна или партию продуктов переработки зерна в Федеральной государственной информационной системе прослеживаемости зерна и продуктов переработки зерна, утвержденными постановлением Правительства Российской Федерации от 9 октября 2021 г. N 1721 "Об утверждении Правил оформления товаросопроводительного документа на партию зерна или партию продуктов переработки зерна в Федеральной государственной информационной системе прослеживаемости зерна и продуктов переработки зерна" (далее - Правила оформления товаросопроводительного документа), подтверждающие факт реализации зерновых культур собственного производства за период, заявленный для предоставления средств (предусматриваются в случае предоставления средств на финансовое обеспечение (возмещение) части затрат на производство и реализацию зерновых культур).
Формы указанных документов и сведений устанавливаются уполномоченным органом, за исключением товаросопроводительного документа на партию зерна или партию продуктов переработки зерна, форма которого приведена в приложении к Правилам оформления товаросопроводительного документа.
9. Общий размер субсидии, предоставляемой бюджету i-го субъекта Российской Федерации в соответствующем финансовом году, (Wi) определяется по формуле:

где:
W - общий объем бюджетных ассигнований, предусмотренных в федеральном бюджете на предоставление субсидии на соответствующий финансовый год;
ki - коэффициент увеличения показателя i-го субъекта Российской Федерации. Для субъектов Российской Федерации, входящих в состав Дальневосточного федерального округа и Сибирского федерального округа, значение коэффициента равно 1,2, для субъектов Российской Федерации, ввоз материально-технических средств для производства сельскохозяйственной продукции (зерновых культур), ее первичной и последующей (промышленной) переработки в которые обеспечивается посредством транзита наземным транспортом через территории иностранных государств и территории, которые совершают в отношении Российской Федерации, российских юридических лиц и физических лиц недружественные действия и которые указаны в перечне иностранных государств и территорий, совершающих в отношении Российской Федерации, российских юридических лиц и физических лиц недружественные действия, утвержденном распоряжением Правительства Российской Федерации от 5 марта 2022 г. N 430-р, значение коэффициента равно 5, для других субъектов Российской Федерации - 1;
Ai - объем производства сельскохозяйственными товаропроизводителями (за исключением граждан, ведущих личное подсобное хозяйство) пшеницы в i-м субъекте Российской Федерации за год, предшествующий отчетному финансовому году, (тыс. тонн) на основании данных Федеральной службы государственной статистики;
Bi - объем производства сельскохозяйственными товаропроизводителями (за исключением граждан, ведущих личное подсобное хозяйство) ржи в i-м субъекте Российской Федерации за год, предшествующий отчетному финансовому году, (тыс. тонн) на основании данных Федеральной службы государственной статистики;
Ci - объем производства сельскохозяйственными товаропроизводителями (за исключением граждан, ведущих личное подсобное хозяйство) кукурузы в i-м субъекте Российской Федерации за год, предшествующий отчетному финансовому году, (тыс. тонн) на основании данных Федеральной службы государственной статистики;
Di - объем производства сельскохозяйственными товаропроизводителями (за исключением граждан, ведущих личное подсобное хозяйство) ячменя в i-м субъекте Российской Федерации за год, предшествующий отчетному финансовому году, (тыс. тонн) на основании данных Федеральной службы государственной статистики;
Yi - предельный уровень софинансирования расходного обязательства i-го субъекта Российской Федерации из федерального бюджета на очередной финансовый год (в процентах), определяемый в соответствии с пунктом 13 Правил формирования субсидий;
n - количество субъектов Российской Федерации, соответствующих критериям, предусмотренным пунктом 8 настоящих Правил;
mi - коэффициент уменьшения показателя i-го субъекта Российской Федерации, применяемый начиная с 2025 года. Для субъекта Российской Федерации, в отношении которого по состоянию на 1 января текущего финансового года имеются неиспользованные бюджетные ассигнования федерального бюджета на предоставление субсидии в объеме, превышающем 5 процентов объема субсидии, предусмотренной такому субъекту Российской Федерации в отчетном финансовом году на указанные цели, значение коэффициента равно 0,5. Для других субъектов Российской Федерации - 1.
10. В случае если при формировании проекта федерального закона о федеральном бюджете на очередной финансовый год и плановый период субъектом Российской Федерации до 1 июля текущего финансового года представлено в Министерство сельского хозяйства Российской Федерации обращение, содержащее информацию об отсутствии частичной или полной потребности в субсидии в очередном финансовом году, бюджетные ассигнования на предоставление субсидии такому субъекту Российской Федерации распределяются между другими субъектами Российской Федерации, имеющими право на получение субсидии в соответствии с настоящими Правилами.
11. В случае выделения в текущем финансовом году из федерального бюджета дополнительных бюджетных ассигнований на предоставление субсидии в соответствии с настоящими Правилами их распределение осуществляется между субъектами Российской Федерации, имеющими дополнительную потребность в субсидиях, пропорционально удельному весу дополнительной потребности субъекта Российской Федерации в субсидии в общем объеме дополнительной потребности субъектов Российской Федерации в субсидиях.
11(1). Если по состоянию на 1 мая текущего финансового года субъектом Российской Федерации перечислено получателям средств менее 50 процентов размера субсидии, предусмотренного этому субъекту Российской Федерации в федеральном бюджете на текущий финансовый год (для субъектов Российской Федерации, в которых в 2022 году в соответствии с Указом Президента Российской Федерации от 19 октября 2022 г. N 757 "О мерах, осуществляемых в субъектах Российской Федерации в связи с Указом Президента Российской Федерации от 19 октября 2022 г. N 756" введен средний уровень реагирования, субъектов Российской Федерации, ввоз материально-технических средств для производства сельскохозяйственной продукции (зерновых культур), ее первичной и последующей (промышленной) переработки в которые обеспечивается посредством транзита наземным транспортом через территории иностранных государств и территории, совершающие в отношении Российской Федерации, российских юридических лиц и физических лиц недружественные действия, указанные в перечне иностранных государств и территорий, совершающих в отношении Российской Федерации, российских юридических лиц и физических лиц недружественные действия, утвержденном распоряжением Правительства Российской Федерации от 5 марта 2022 г. N 430-р, и субъектов Российской Федерации, входящих в состав Сибирского и Дальневосточного федеральных округов, - менее 30 процентов), размер субсидии, предусмотренный этому субъекту Российской Федерации в федеральном бюджете на текущий финансовый год, подлежит уменьшению на 10 процентов.
Субъект Российской Федерации, допустивший нарушение обязательства по перечислению средств, указанного в пункте 6(1) настоящих Правил, в течение 30 календарных дней обязан обеспечить заключение дополнительного соглашения к соглашению (об уменьшении размера субсидии, подлежащей предоставлению в текущем финансовом году, в размере, установленном настоящим пунктом).
Высвобождающиеся бюджетные ассигнования перераспределяются на иные мероприятия в соответствии с бюджетным законодательством Российской Федерации.
12. В случае отсутствия в текущем финансовом году у субъектов Российской Федерации потребности в субсидии невостребованный объем субсидии перераспределяется между субъектами Российской Федерации, имеющими право на получение субсидии, пропорционально удельному весу дополнительной потребности субъекта Российской Федерации в субсидии в общем объеме дополнительной потребности субъектов Российской Федерации в субсидиях в соответствии с настоящими Правилами и бюджетным законодательством Российской Федерации.
13. Информация о дополнительной потребности в субсидиях формируется на основании письменных обращений уполномоченных органов в Министерство сельского хозяйства Российской Федерации.
Размер предоставляемой в соответствии с пунктами 11 и 12 настоящих Правил субсидии не может быть больше заявленной субъектом Российской Федерации дополнительной потребности в субсидии.
14. Перечисление субсидии осуществляется в установленном порядке на единые счета бюджетов, открытые финансовым органам субъектов Российской Федерации в территориальных органах Федерального казначейства.
15. Уполномоченный орган представляет в Министерство сельского хозяйства Российской Федерации следующие документы:
а) выписка из закона субъекта Российской Федерации о бюджете субъекта Российской Федерации и (или) выписка из сводной бюджетной росписи бюджета субъекта Российской Федерации, подтверждающие наличие в утвержденном бюджете субъекта Российской Федерации бюджетных ассигнований на исполнение расходных обязательств субъекта Российской Федерации, в целях софинансирования которых предоставляется субсидия, - не позднее 30 дней со дня заключения соглашения;
б) документ, содержащий информацию об использовании средств, расходные обязательства субъектов Российской Федерации по предоставлению которых софинансируются из федерального бюджета, с приложением перечня получателей средств - ежеквартально, не позднее 28-го числа месяца, следующего за отчетным кварталом;
в) отчет об осуществлении расходов бюджета субъекта Российской Федерации, в целях софинансирования которых предоставляется субсидия, а также о достижении значений результатов использования субсидии, подготавливаемый (формируемый) с использованием государственной интегрированной информационной системы управления общественными финансами "Электронный бюджет", - в порядке и сроки, которые установлены соглашением;
г) отчет о финансово-экономическом состоянии товаропроизводителей агропромышленного комплекса - по форме и в срок, которые устанавливаются Министерством сельского хозяйства Российской Федерации.
16. Эффективность использования субсидии (Эi) оценивается Министерством сельского хозяйства Российской Федерации на основании достижения значения результата использования субсидии - достигнуты объемы реализованных зерновых культур собственного производства (тыс. тонн) и определяется по формуле:
![]()
где:
Хф - фактическое значение результата использования субсидии по итогам отчетного финансового года и (или) года, предшествующего отчетному финансовому году;
Хц - плановое значение результата использования субсидии, предусмотренное соглашением на отчетный финансовый год.
17. Порядок и условия возврата средств из бюджета субъекта Российской Федерации в федеральный бюджет в случае нарушения субъектом Российской Федерации обязательств, предусмотренных соглашением, а также основания для освобождения субъекта Российской Федерации от применения мер финансовой ответственности предусмотрены пунктами 16 - 18 и 20 Правил формирования субсидий.
17(1). В случае нарушения целей, установленных при предоставлении субсидии, применяются бюджетные меры принуждения, предусмотренные бюджетным законодательством Российской Федерации.
18. Ответственность за достоверность представляемых в Министерство сельского хозяйства Российской Федерации сведений и соблюдение условий, предусмотренных настоящими Правилами и соглашением, возлагается на уполномоченный орган и высший исполнительный орган субъекта Российской Федерации.
19. Контроль за соблюдением субъектами Российской Федерации условий предоставления субсидий осуществляется Министерством сельского хозяйства Российской Федерации и уполномоченными органами государственного финансового контроля.
Приложение N 15
к Государственной программе развития
сельского хозяйства и регулирования
рынков сельскохозяйственной продукции,
сырья и продовольствия
ПРАВИЛА
ПРЕДОСТАВЛЕНИЯ И РАСПРЕДЕЛЕНИЯ СУБСИДИЙ ИЗ ФЕДЕРАЛЬНОГО
БЮДЖЕТА БЮДЖЕТАМ СУБЪЕКТОВ РОССИЙСКОЙ ФЕДЕРАЦИИ В ЦЕЛЯХ
СОФИНАНСИРОВАНИЯ РАСХОДНЫХ ОБЯЗАТЕЛЬСТВ СУБЪЕКТОВ РОССИЙСКОЙ
ФЕДЕРАЦИИ ПО ВОЗМЕЩЕНИЮ ЧАСТИ ПРЯМЫХ ПОНЕСЕННЫХ ЗАТРАТ
НА СОЗДАНИЕ И (ИЛИ) МОДЕРНИЗАЦИЮ ОБЪЕКТОВ ПО ПЕРЕРАБОТКЕ
СЕЛЬСКОХОЗЯЙСТВЕННОЙ ПРОДУКЦИИ
1. Настоящие Правила устанавливают цели, условия и порядок предоставления и распределения субсидий из федерального бюджета бюджетам субъектов Российской Федерации в целях софинансирования расходных обязательств субъектов Российской Федерации по возмещению части прямых понесенных затрат на создание и (или) модернизацию объектов по переработке сельскохозяйственной продукции в соответствии с перечнями, утвержденными Правительством Российской Федерации согласно части 1 статьи 3, части 1 статьи 7 и части 2 статьи 11 Федерального закона "О развитии сельского хозяйства" (далее соответственно - продукция, субсидии), сельскохозяйственным товаропроизводителям, за исключением граждан, ведущих личное подсобное хозяйство, и российским организациям, осуществляющим создание и (или) модернизацию объектов по переработке сельскохозяйственной продукции (далее - получатели средств).
Для получателей средств, использующих право на освобождение от исполнения обязанностей налогоплательщика, связанных с исчислением и уплатой налога на добавленную стоимость, возмещение части прямых понесенных затрат на создание и (или) модернизацию объектов по переработке сельскохозяйственной продукции осуществляется исходя из суммы расходов на приобретение товаров (работ, услуг), включая сумму налога на добавленную стоимость.
2. Понятия, используемые в настоящих Правилах, означают следующее:
"инвестиционный проект" - документация, включающая обоснование экономической целесообразности, объема и сроков осуществления затрат на создание и (или) модернизацию объектов, в том числе необходимая проектная документация, разработанная в соответствии с законодательством Российской Федерации, а также описание практических действий по осуществлению таких затрат;
"модернизация" - работы, связанные с повышением технико-экономических показателей оборудования, здания, строения и сооружения;
"объект" - объект по переработке продукции, предназначенный для производства и (или) переработки продукции, транспортировка которой осуществляется до конечных пунктов назначения, предусмотренных соглашением о предоставлении субсидии, заключаемым между Министерством сельского хозяйства Российской Федерации и высшим исполнительным органом государственной власти субъекта Российской Федерации (далее - соглашение), и включающий в себя предприятия по глубокой переработке зерна, и (или) по переработке масличных культур, и (или) по переработке и консервированию рыбы, ракообразных и моллюсков, и (или) по производству сухих молочных продуктов. Подтверждением факта ввода в эксплуатацию объекта при создании является наличие разрешения на ввод объекта в эксплуатацию, при модернизации - наличие акта приемки объекта и (или) документов, подтверждающих приобретение техники и (или) оборудования;
"предприятие по глубокой переработке зерна" - комплекс зданий, строений или сооружений, предназначенный для производства продукции в соответствии с перечнем, утверждаемым Министерством сельского хозяйства Российской Федерации, введенный в эксплуатацию не ранее чем за 3 года до дня представления субъектом Российской Федерации заявки на участие в отборе на соответствующий финансовый год;
"предприятие по переработке и консервированию рыбы, ракообразных и моллюсков" - комплекс зданий, строений или сооружений, предназначенный для обеспечения переработки и консервирования рыбы, ракообразных и моллюсков, созданный и (или) модернизированный не ранее чем за 5 лет до дня представления субъектом Российской Федерации заявки на участие в отборе на соответствующий финансовый год и введенный в эксплуатацию не позднее указанного дня;
"предприятие по переработке масличных культур" - комплекс зданий, строений или сооружений, предназначенный для обеспечения переработки масличных культур, созданный и (или) модернизированный не ранее чем за 3 года до дня представления субъектом Российской Федерации заявки на участие в отборе на соответствующий финансовый год и введенный в эксплуатацию не позднее указанного дня;
"предприятие по производству сухих молочных продуктов" - комплекс зданий, строений или сооружений, предназначенный для обеспечения производства сухих молочных продуктов, созданный и (или) модернизированный не ранее чем за 3 года до дня представления субъектом Российской Федерации заявки на участие в отборе на соответствующий финансовый год и введенный в эксплуатацию не позднее указанного дня;
"прямые понесенные затраты" - выраженные в денежной форме расходы получателей средств на создание и (или) модернизацию объекта, равные фактической стоимости объекта;
"создание" - строительство зданий, строений и сооружений (в том числе на месте сносимых объектов капитального строительства) и оснащение их специальной техникой и оборудованием, предусмотренные соответствующим инвестиционным проектом;
"фактическая стоимость объекта" - сумма затрат, понесенных получателями средств на создание и (или) модернизацию объекта.
3. Настоящие Правила не применяются:
а) к получателям средств, получившим льготный инвестиционный кредит на создание и (или) модернизацию предприятий по переработке масличных культур (за исключением предприятий по переработке масличных культур, расположенных и осуществляющих деятельность на территории Дальневосточного федерального округа) в соответствии с постановлениями Правительства Российской Федерации от 29 декабря 2016 г. N 1528 "Об утверждении Правил предоставления из федерального бюджета субсидий российским кредитным организациям, международным финансовым организациям и государственной корпорации развития "ВЭБ.РФ" на возмещение недополученных ими доходов по кредитам, выданным сельскохозяйственным товаропроизводителям (за исключением сельскохозяйственных кредитных потребительских кооперативов), организациям и индивидуальным предпринимателям, осуществляющим производство, первичную и (или) последующую (промышленную) переработку сельскохозяйственной продукции и ее реализацию, по льготной ставке" и от 26 апреля 2019 г. N 512 "О предоставлении из федерального бюджета субсидий российским кредитным организациям, международным финансовым организациям и государственной корпорации развития "ВЭБ.РФ" на возмещение недополученных ими доходов по кредитам, выданным сельскохозяйственным товаропроизводителям (за исключением сельскохозяйственных кредитных потребительских кооперативов), организациям и индивидуальным предпринимателям, осуществляющим производство, первичную и (или) последующую (промышленную) переработку сельскохозяйственной продукции и ее реализацию, по льготной ставке";
б) к объектам инвестиций, построенным в соответствии с частью 1 статьи 29.3 Федерального закона "О рыболовстве и сохранении водных биологических ресурсов".
4. Порядок проведения отбора субъектов Российской Федерации для предоставления субсидий, требования к инвестиционным проектам, объектам, а также требования к составу заявочной документации, представляемой получателем средств на отбор в орган исполнительной власти субъекта Российской Федерации, уполномоченный высшим исполнительным органом государственной власти субъекта Российской Федерации (далее - уполномоченный орган), устанавливаются Министерством сельского хозяйства Российской Федерации.
5. Субсидии предоставляются в пределах лимитов бюджетных обязательств, доведенных в установленном порядке до Министерства сельского хозяйства Российской Федерации как получателя средств федерального бюджета на предоставление субсидии на цели, указанные в пункте 1 настоящих Правил.
6. Средства из бюджета субъекта Российской Федерации, источником софинансирования которых является субсидия, не предоставляются на возмещение получателям средств части прямых понесенных затрат, связанных с разработкой проектной документации и проведением инженерных изысканий, выполняемых для подготовки такой проектной документации, проведением государственной экспертизы проектной документации и результатов инженерных изысканий и проведением проверки достоверности определения сметной стоимости объектов.
7. Объем средств, предоставляемых получателям средств из бюджета субъекта Российской Федерации, софинансируемых за счет субсидии (средства федерального бюджета и бюджета субъекта Российской Федерации), в общем размере прямых понесенных затрат составляет:
а) в отношении предприятий по глубокой переработке зерна - 20 процентов фактической стоимости объекта, но не выше предельной стоимости объекта, определяемой Министерством сельского хозяйства Российской Федерации;
б) в отношении предприятий по переработке масличных культур, предприятий по переработке и консервированию рыбы, ракообразных и моллюсков и предприятий по производству сухих молочных продуктов - 25 процентов фактической стоимости объекта, но не выше предельной стоимости объекта, определяемой Министерством сельского хозяйства Российской Федерации.
8. В случае, предусмотренном пунктом 13 настоящих Правил, объем средств, предоставляемых получателям средств из бюджета субъекта Российской Федерации, софинансируемых за счет субсидии (средства федерального бюджета и бюджета субъекта Российской Федерации), в общем размере прямых понесенных затрат составляет:
а) в отношении предприятий по глубокой переработке зерна - до 20 процентов фактической стоимости объекта, но не выше предельной стоимости объекта, определяемой Министерством сельского хозяйства Российской Федерации;
б) в отношении предприятий по переработке масличных культур, предприятий по переработке и консервированию рыбы, ракообразных и моллюсков и предприятий по производству сухих молочных продуктов - до 25 процентов фактической стоимости объекта, но не выше предельной стоимости объекта, определяемой Министерством сельского хозяйства Российской Федерации.
9. Предоставление субсидии осуществляется на основании соглашения, подготавливаемого (формируемого) с использованием государственной интегрированной информационной системы управления общественными финансами "Электронный бюджет" и в соответствии с типовой формой соглашения, утвержденной Министерством финансов Российской Федерации.
10. Условиями предоставления субсидии являются:
а) наличие правового акта субъекта Российской Федерации, предусматривающего мероприятия, при реализации которых возникают расходные обязательства субъекта Российской Федерации, в целях софинансирования которых предоставляется субсидия, в соответствии с требованиями нормативных правовых актов Российской Федерации;
б) наличие в бюджете субъекта Российской Федерации бюджетных ассигнований на исполнение расходного обязательства субъекта Российской Федерации, софинансирование которого осуществляется из федерального бюджета, в объеме, необходимом для его исполнения, если иное не установлено актами Президента Российской Федерации или Правительства Российской Федерации;
в) наличие заключенного соглашения в соответствии с пунктом 10 Правил формирования, предоставления и распределения субсидий из федерального бюджета бюджетам субъектов Российской Федерации, утвержденных постановлением Правительства Российской Федерации от 30 сентября 2014 г. N 999 "О формировании, предоставлении и распределении субсидий из федерального бюджета бюджетам субъектов Российской Федерации" (далее - Правила формирования субсидий).
11. Размер субсидии, предоставляемой бюджету i-го субъекта Российской Федерации в соответствующем финансовом году (Wi), определяется по формуле:
![]()
где:
Bi - объем средств, необходимых для возмещения части прямых понесенных затрат на создание и (или) модернизацию объектов в i-м субъекте Российской Федерации;
Yi - предельный уровень софинансирования расходного обязательства i-го субъекта Российской Федерации из федерального бюджета на очередной финансовый год (в процентах), определяемый в соответствии с пунктом 13 Правил формирования субсидий.
12. Объем средств, необходимых для возмещения части прямых понесенных затрат на создание и (или) модернизацию объектов в i-м субъекте Российской Федерации, определяется по формуле:
![]()
где:
Cij - фактическая стоимость j-го объекта в i-м субъекте Российской Федерации;
k - процент возмещения части прямых понесенных затрат в соответствии с пунктом 7 настоящих Правил.
13. В случае если размер субсидий, предоставляемых бюджетам субъектов Российской Федерации в соответствующем финансовом году (Wi), превышает общий объем бюджетных ассигнований, предусмотренных в федеральном бюджете на предоставление субсидий на соответствующий финансовый год (V), размер субсидии, предоставляемой бюджету i-го субъекта Российской Федерации в соответствующем финансовом году (Wi), определяется по формуле:
![]()
14. В случае увеличения в текущем финансовом году бюджетных ассигнований федерального бюджета на предоставление субсидий Министерством сельского хозяйства Российской Федерации проводится дополнительный отбор субъектов Российской Федерации, а расчет размера субсидии бюджету субъекта Российской Федерации осуществляется в соответствии с пунктом 11 настоящих Правил.
15. Перечисление субсидий осуществляется в установленном порядке на единые счета бюджетов, открытые финансовым органам субъектов Российской Федерации в территориальных органах Федерального казначейства.
16. Уполномоченный орган представляет в Министерство сельского хозяйства Российской Федерации следующие документы:
а) выписка из закона субъекта Российской Федерации о бюджете субъекта Российской Федерации и (или) выписка из сводной бюджетной росписи бюджета субъекта Российской Федерации, подтверждающие наличие в утвержденном бюджете субъекта Российской Федерации бюджетных ассигнований;
б) документ, содержащий информацию об использовании средств бюджета субъекта Российской Федерации, в целях софинансирования расходных обязательств которого предоставляется субсидия, с приложением перечня получателей средств по форме и в срок, которые устанавливаются Министерством сельского хозяйства Российской Федерации;
в) отчет о финансово-экономическом состоянии получателей средств по форме и в срок, которые устанавливаются Министерством сельского хозяйства Российской Федерации;
г) отчет о соответствии инвестиционного проекта требованиям, предусмотренным настоящими Правилами, по форме и в срок, которые устанавливаются Министерством сельского хозяйства Российской Федерации.
17. Оценка соответствия инвестиционного проекта требованиям, предусмотренным настоящими Правилами, осуществляется образуемой Министерством сельского хозяйства Российской Федерации комиссией по вопросам проведения отбора инвестиционных проектов (далее - комиссия) на основании отчета, представляемого уполномоченным органом в соответствии с подпунктом "г" пункта 16 настоящих Правил.
Порядок проведения комиссией оценки соответствия инвестиционного проекта требованиям, предусмотренным настоящими Правилами, утверждается Министерством сельского хозяйства Российской Федерации.
18. Оценка эффективности использования субсидии осуществляется на основании отчета об эффективности использования субсидии по форме и в срок, которые устанавливаются Министерством сельского хозяйства Российской Федерации.
19. В случае отсутствия в текущем финансовом году у субъекта Российской Федерации потребности в субсидии невостребованный объем субсидии на основании письменного обращения уполномоченного органа перераспределяется между другими субъектами Российской Федерации с учетом пунктов 7 и 11 настоящих Правил и в соответствии с бюджетным законодательством Российской Федерации.
20. Результатом использования субсидии является объем продукции, произведенной на объекте, транспортировка которой осуществлялась до конечных пунктов назначения, предусмотренный соглашением (рублей), в размере:
не менее 5 процентов фактической стоимости объекта - в 1-й год, следующий за годом ввода объекта в эксплуатацию при создании объекта или за годом приемки объекта при модернизации;
не менее 10 процентов фактической стоимости объекта - во 2-й год, следующий за годом ввода объекта в эксплуатацию при создании объекта или за годом приемки объекта при модернизации;
не менее 15 процентов фактической стоимости объекта - в 3-й год, следующий за годом ввода объекта в эксплуатацию при создании объекта или за годом приемки объекта при модернизации;
не менее 25 процентов фактической стоимости объекта - в 4-й год, следующий за годом ввода объекта в эксплуатацию при создании объекта или за годом приемки объекта при модернизации;
не менее 35 процентов фактической стоимости объекта - в 5-й год, следующий за годом ввода объекта в эксплуатацию при создании объекта или за годом приемки объекта при модернизации.
21. Критериями отбора субъекта Российской Федерации для предоставления субсидии являются:
а) наличие нормативного правового акта субъекта Российской Федерации, соответствующего требованиям настоящих Правил, предусматривающего порядок и условия предоставления средств на возмещение части прямых понесенных затрат из бюджета субъекта Российской Федерации по видам объектов, указанным в пункте 2 настоящих Правил, и включающего требования к их получателям, перечень документов, необходимых для получения средств на возмещение части прямых понесенных затрат, и сроки их рассмотрения;
б) наличие отобранных субъектом Российской Федерации инвестиционных проектов, соответствующих требованиям, предусмотренным настоящими Правилами.
22. В случае несоблюдения субъектом Российской Федерации целей, установленных при предоставлении субсидии, к нему применяются бюджетные меры принуждения в соответствии с бюджетным законодательством Российской Федерации.
23. Возврат средств субъектами Российской Федерации из бюджета субъекта Российской Федерации в федеральный бюджет в случае нарушения обязательств, предусмотренных соглашением, касающихся в том числе достижения значения результата использования субсидии, включая порядок расчета размера средств, подлежащих возврату, сроки возврата и основания для освобождения субъектов Российской Федерации от применения мер ответственности за нарушение указанных обязательств, осуществляется в соответствии с пунктами 16 - 18 и 20 Правил формирования субсидий.
24. Ответственность за достоверность представляемых в Министерство сельского хозяйства Российской Федерации сведений и соблюдение условий, установленных настоящими Правилами и соглашением, возлагается на уполномоченный орган и высший исполнительный орган государственной власти субъекта Российской Федерации.
25. Контроль за соблюдением субъектами Российской Федерации условий предоставления субсидий осуществляется Министерством сельского хозяйства Российской Федерации и уполномоченными органами государственного финансового контроля.
Приложение N 16
к Государственной программе развития
сельского хозяйства и регулирования
рынков сельскохозяйственной продукции,
сырья и продовольствия
ПРАВИЛА
ПРЕДОСТАВЛЕНИЯ И РАСПРЕДЕЛЕНИЯ СУБСИДИЙ ИЗ ФЕДЕРАЛЬНОГО
БЮДЖЕТА БЮДЖЕТАМ СУБЪЕКТОВ РОССИЙСКОЙ ФЕДЕРАЦИИ В ЦЕЛЯХ
СОФИНАНСИРОВАНИЯ РАСХОДНЫХ ОБЯЗАТЕЛЬСТВ СУБЪЕКТОВ РОССИЙСКОЙ
ФЕДЕРАЦИИ ПО ФИНАНСОВОМУ ОБЕСПЕЧЕНИЮ СОЗДАНИЯ УСЛОВИЙ
ДЛЯ ПОЛУЧЕНИЯ ВЕТЕРИНАРНЫМИ ЛАБОРАТОРИЯМИ СУБЪЕКТОВ
РОССИЙСКОЙ ФЕДЕРАЦИИ АККРЕДИТАЦИИ В НАЦИОНАЛЬНОЙ СИСТЕМЕ
АККРЕДИТАЦИИ И (ИЛИ) РАСШИРЕНИЯ ИХ ОБЛАСТИ АККРЕДИТАЦИИ
1. Настоящие Правила устанавливают условия, цели и порядок предоставления и распределения субсидий из федерального бюджета бюджетам субъектов Российской Федерации в целях софинансирования расходных обязательств субъектов Российской Федерации по финансовому обеспечению создания условий для получения ветеринарными лабораториями субъектов Российской Федерации (далее - ветеринарные лаборатории) аккредитации в национальной системе аккредитации и (или) расширения их области аккредитации (далее - субсидии).
Понятие "ветеринарные лаборатории", используемое в настоящих Правилах, означает бюджетные и автономные учреждения, подведомственные уполномоченным в области ветеринарии исполнительным органам субъектов Российской Федерации.
2. Субсидии предоставляются в целях софинансирования расходных обязательств субъектов Российской Федерации, возникающих при реализации региональных проектов, обеспечивающих достижение целей, показателей и результатов федерального проекта "Экспорт продукции агропромышленного комплекса", входящего в состав национального проекта "Международная кооперация и экспорт" (далее - региональный проект).
Субсидии предоставляются в пределах лимитов бюджетных обязательств, доведенных в установленном порядке до Министерства сельского хозяйства Российской Федерации как получателя средств федерального бюджета на предоставление субсидии на цели, указанные в абзаце первом настоящего пункта.
3. Субсидии предоставляются при соблюдении субъектом Российской Федерации следующих условий:
а) наличие правовых актов субъекта Российской Федерации, утверждающих перечень мероприятий (результатов), при реализации которых возникают расходные обязательства субъекта Российской Федерации, в целях софинансирования которых предоставляются субсидии, в соответствии с требованиями нормативных правовых актов Российской Федерации;
б) наличие в бюджете субъекта Российской Федерации бюджетных ассигнований на исполнение расходного обязательства субъекта Российской Федерации, софинансирование которого осуществляется за счет средств федерального бюджета, в объеме, необходимом для его исполнения, включающем размер планируемой к предоставлению субсидии, и порядка определения объемов указанных ассигнований, если иное не установлено актами Президента Российской Федерации или Правительства Российской Федерации;
в) заключение соглашения о предоставлении субсидии между Министерством сельского хозяйства Российской Федерации и высшим исполнительным органом субъекта Российской Федерации в соответствии с пунктом 10 Правил формирования, предоставления и распределения субсидий из федерального бюджета бюджетам субъектов Российской Федерации, утвержденных постановлением Правительства Российской Федерации от 30 сентября 2014 г. N 999 "О формировании, предоставлении и распределении субсидий из федерального бюджета бюджетам субъектов Российской Федерации" (далее соответственно - соглашение, Правила формирования субсидий).
4. Критериями отбора субъектов Российской Федерации для предоставления субсидии являются:
а) наличие понесенных ветеринарными лабораториями затрат на создание условий для получения аккредитации в национальной системе аккредитации и (или) расширения их области аккредитации;
б) представление ветеринарной лабораторией информации в компонент Федеральной государственной информационной системы в области ветеринарии в соответствии с постановлением Правительства Российской Федерации от 7 ноября 2016 г. N 1140 "О порядке создания, развития и эксплуатации Федеральной государственной информационной системы в области ветеринарии".
5. Субсидии предоставляются бюджету субъекта Российской Федерации при наличии нормативного правового акта субъекта Российской Федерации, устанавливающего порядок и условия предоставления из бюджета субъекта Российской Федерации ветеринарным лабораториям субсидий в соответствии с абзацем вторым пункта 1 статьи 78.1 Бюджетного кодекса Российской Федерации на иные цели, в том числе предусматривающих возможность их направления на возмещение перечислений по операциям, содержание которых соответствует целям предоставления этих субсидий.
6. Субсидия предоставляется на основании соглашения, подготавливаемого (формируемого) и заключаемого с использованием государственной интегрированной информационной системы управления общественными финансами "Электронный бюджет" и в соответствии с типовой формой, утвержденной Министерством финансов Российской Федерации.
7. Размер субсидии, предоставляемой бюджету i-го субъекта Российской Федерации в очередном финансовом году (Wi), определяется по формуле:

где:
W - общий объем бюджетных ассигнований, предусмотренных в федеральном бюджете на предоставление субсидии на соответствующий финансовый год;
Di - заявленная потребность i-го субъекта Российской Федерации на основании понесенных затрат ветеринарными лабораториями в соответствующем субъекте Российской Федерации в соответствии с пунктами 8 и 9 настоящих Правил (рублей);
Yi - предельный уровень софинансирования расходного обязательства i-го субъекта Российской Федерации из федерального бюджета на очередной финансовый год (процентов), определяемый в соответствии с пунктом 13(1.1) Правил формирования субсидий;
n - количество субъектов Российской Федерации, заявивших потребность о понесенных затратах ветеринарными лабораториями.
8. Субсидии предоставляются в целях софинансирования расходных обязательств субъектов Российской Федерации, связанных с предоставлением субсидий в соответствии с абзацем вторым пункта 1 статьи 78.1 Бюджетного кодекса Российской Федерации на иные цели из бюджета субъекта Российской Федерации на возмещение части понесенных ветеринарными лабораториями затрат на создание условий для получения ветеринарными лабораториями аккредитации в национальной системе аккредитации и (или) расширения их области аккредитации, указанных в пункте 9 настоящих Правил.
9. Ветеринарным лабораториям возмещаются следующие затраты, понесенные начиная с 2019 года:
а) реконструкция, капитальный или текущий ремонт здания (помещения) ветеринарной лаборатории, вивария;
б) модернизация и (или) приобретение оборудования;
в) приобретение лабораторной мебели;
г) обучение сотрудников ветеринарной лаборатории;
д) проведение межлабораторных сличительных испытаний.
10. При предоставлении субсидий на цели, указанные в пункте 2 настоящих Правил, в составе понесенных затрат не учитываются затраты на мероприятия, финансовое обеспечение реализации которых осуществляется в рамках выполнения государственного задания ветеринарными лабораториями.
11. Не допускается предоставление субсидий субъектам Российской Федерации в случае, если на цели, указанные в пункте 2 настоящих Правил, предоставляются другие межбюджетные трансферты.
12. Перечисление субсидий осуществляется в установленном порядке на единые счета бюджетов, открытые финансовым органам субъектов Российской Федерации в территориальных органах Федерального казначейства.
13. В случае отсутствия у субъектов Российской Федерации в текущем финансовом году потребности в субсидиях в связи с внесением изменений в региональные проекты, которые влекут изменение объемов финансового обеспечения и (или) значений результатов использования субсидий, высвобождающиеся бюджетные ассигнования на предоставление субсидий перераспределяются пропорционально между субъектами Российской Федерации, имеющими право на получение субсидий в соответствии с настоящими Правилами, на основании письменных обращений уполномоченных органов.
14. Исполнительный орган субъекта Российской Федерации, уполномоченный высшим исполнительным органом субъекта Российской Федерации, представляет в Министерство сельского хозяйства Российской Федерации следующие документы:
а) выписка из закона субъекта Российской Федерации о бюджете субъекта Российской Федерации и (или) выписка из сводной бюджетной росписи бюджета субъекта Российской Федерации, подтверждающая наличие в утвержденном бюджете субъекта Российской Федерации бюджетных ассигнований на финансовое обеспечение указанных в пункте 2 настоящих Правил расходных обязательств субъекта Российской Федерации, - не позднее 30-го дня со дня заключения соглашения;
б) документ, содержащий информацию об использовании средств бюджета субъекта Российской Федерации, источником софинансирования которых является субсидия, с приложением перечня получателей средств - по форме и в срок, которые установлены Министерством сельского хозяйства Российской Федерации.
15. Результатом использования субсидии является количество внесенных в реестр аккредитованных лиц сведений об аккредитации и (или) расширении области аккредитации в национальной системе аккредитации ветеринарных лабораторий.
16. Эффективность использования субсидии оценивается ежегодно Министерством сельского хозяйства Российской Федерации на основании сравнения фактически достигнутых значений результата использования субсидии и его плановых значений, предусмотренных соглашением.
17. В случае если при формировании проекта федерального закона о федеральном бюджете на очередной финансовый год и плановый период субъектом Российской Федерации до 10 августа текущего финансового года представлено в Министерство сельского хозяйства Российской Федерации обращение, содержащее информацию об отсутствии частичной или полной потребности в субсидии в очередном финансовом году, высвобождающиеся бюджетные ассигнования на предоставление субсидий распределяются между субъектами Российской Федерации, имеющими право на получение субсидий в соответствии с настоящими Правилами.
18. Возврат субъектом Российской Федерации средств из бюджета субъекта Российской Федерации в доход федерального бюджета при невыполнении им условий, предусмотренных соглашением, в том числе обязательств по достижению значений результатов использования субсидии, включая порядок расчета размера средств, подлежащих возврату, сроки возврата и основания для освобождения субъекта Российской Федерации от возврата таких средств, осуществляется в соответствии с пунктами 16 - 18 и 20 Правил формирования субсидий.
19. Ответственность за достоверность представляемых в Министерство сельского хозяйства Российской Федерации сведений и соблюдение условий, предусмотренных настоящими Правилами и соглашением, возлагается на исполнительный орган субъекта Российской Федерации, уполномоченный высшим исполнительным органом субъекта Российской Федерации.
20. Контроль за соблюдением субъектами Российской Федерации условий предоставления субсидий осуществляется Министерством сельского хозяйства Российской Федерации и уполномоченными органами государственного финансового контроля.
Приложение N 17
к Государственной программе развития
сельского хозяйства и регулирования
рынков сельскохозяйственной продукции,
сырья и продовольствия
ПРАВИЛА
ПРЕДОСТАВЛЕНИЯ И РАСПРЕДЕЛЕНИЯ СУБСИДИЙ ИЗ ФЕДЕРАЛЬНОГО
БЮДЖЕТА БЮДЖЕТАМ СУБЪЕКТОВ РОССИЙСКОЙ ФЕДЕРАЦИИ В ЦЕЛЯХ
СОФИНАНСИРОВАНИЯ РАСХОДНЫХ ОБЯЗАТЕЛЬСТВ СУБЪЕКТОВ РОССИЙСКОЙ
ФЕДЕРАЦИИ ПО ВОЗМЕЩЕНИЮ ЧАСТИ ПРЯМЫХ ПОНЕСЕННЫХ ЗАТРАТ
НА СОЗДАНИЕ И (ИЛИ) МОДЕРНИЗАЦИЮ ОБЪЕКТОВ АГРОПРОМЫШЛЕННОГО
КОМПЛЕКСА, А ТАКЖЕ НА ПРИОБРЕТЕНИЕ И ВВОД В ПРОМЫШЛЕННУЮ
ЭКСПЛУАТАЦИЮ МАРКИРОВОЧНОГО ОБОРУДОВАНИЯ ДЛЯ ВНЕДРЕНИЯ
ОБЯЗАТЕЛЬНОЙ МАРКИРОВКИ ОТДЕЛЬНЫХ ВИДОВ
МОЛОЧНОЙ ПРОДУКЦИИ
1. Настоящие Правила устанавливают цели, условия и порядок предоставления и распределения субсидий из федерального бюджета бюджетам субъектов Российской Федерации в целях софинансирования расходных обязательств субъектов Российской Федерации по возмещению части прямых понесенных затрат на создание и (или) модернизацию объектов агропромышленного комплекса, а также на приобретение и ввод в промышленную эксплуатацию маркировочного оборудования для внедрения обязательной маркировки отдельных видов молочной продукции в рамках федерального проекта "Стимулирование инвестиционной деятельности в агропромышленном комплексе" Государственной программы развития сельского хозяйства и регулирования рынков сельскохозяйственной продукции, сырья и продовольствия, утвержденной постановлением Правительства Российской Федерации от 14 июля 2012 г. N 717 "О Государственной программе развития сельского хозяйства и регулирования рынков сельскохозяйственной продукции, сырья и продовольствия" (далее - субсидии).
2. Понятия, используемые в настоящих Правилах, означают следующее:
а) "затраты на маркировочное оборудование" - выраженные в денежной форме расходы сельскохозяйственных товаропроизводителей (за исключением граждан, ведущих личное подсобное хозяйство), российских организаций и индивидуальных предпринимателей, в том числе организаций и индивидуальных предпринимателей, осуществляющих производство и (или) первичную и (или) последующую (промышленную) переработку сельскохозяйственной продукции и ее реализацию, организаций и индивидуальных предпринимателей, осуществляющих переработку молока сырого крупного рогатого скота, козьего и овечьего на молочную продукцию и выпуск ее в оборот, на приобретение маркировочного оборудования и ввод его в промышленную эксплуатацию для внедрения обязательной маркировки отдельных видов молочной продукции;
б) "инвестиционный проект" - документация, включающая обоснование экономической целесообразности, объема и сроков осуществления затрат на создание и (или) модернизацию объектов агропромышленного комплекса, в том числе проектная документация, разработанная в соответствии с законодательством Российской Федерации, а также описание практических действий по осуществлению указанных затрат;
в) "маркировочное оборудование" - оборудование для нанесения и считывания средств идентификации для целей обязательной маркировки отдельных видов молочной продукции (за исключением мороженого) в соответствии с перечнем, утверждаемым Правительством Российской Федерации в соответствии с пунктом 3.1 части 1 статьи 5 Федерального закона "Об основах государственного регулирования торговой деятельности в Российской Федерации", в организациях, которые производят и осуществляют выпуск в оборот молочной продукции;
г) "модернизация" - работы, связанные с повышением технико-экономических показателей оборудования, здания, строения и сооружения (в отношении животноводческих комплексов молочного направления (молочных ферм) модернизация включает приобретение и ввод в эксплуатацию техники и оборудования в целях расширения их производственных мощностей);
д) "молочная продукция" - отдельные виды молочной продукции, выработанные из молока сырого крупного рогатого скота, козьего и овечьего, пастеризованного, ультрапастеризованного, стерилизованного, ультравысокотемпературно-обработанного молока и (или) пастеризованных, ультрапастеризованных, стерилизованных, ультравысокотемпературно-обработанных молочных продуктов, изготовленных и упакованных промышленным способом на любом этапе товаропроводящей цепи (за исключением молочной продукции, масса нетто которой составляет 30 граммов и менее, молочной продукции, упакованной непромышленным способом в организациях розничной торговли, детского питания для детей до 3 лет и специализированного диетического лечебного и диетического профилактического питания, мороженого и десертов без содержания молочных жиров и (или) молочного белка в составе), относящиеся к кодам единой Товарной номенклатуры внешнеэкономической деятельности Евразийского экономического союза 0401, 0402, 0403, 0404, 0405, 0406, 2202 99 910 0, 2202 99 950 0, 2202 99 9900, кодам Общероссийского классификатора продукции по видам экономической деятельности 10.51, 10.86.10.110, 10.86.10.140, 10.86.10.190;
е) "объекты агропромышленного комплекса" - объекты, включающие в себя следующие понятия:
"животноводческий комплекс молочного направления (молочная ферма)" - комплекс зданий, строений или сооружений, предназначенных для обеспечения производства молока и оснащенных производственными помещениями для содержания и доения коров и (или) коз и (или) выращивания молодняка крупного рогатого скота молочных пород и (или) коз молочных пород, для искусственного осеменения крупного рогатого скота молочных пород и (или) коз молочных пород, связанными единым технологическим процессом на базе комплексной механизации производственных процессов, а также специализированные фермы и (или) площадки по выращиванию и (или) откорму молодняка крупного рогатого скота молочных пород, включая здания вспомогательного назначения - ветеринарно-санитарные и хозяйственно-бытовые постройки, инженерные коммуникации, сооружения для хранения и приготовления кормов, хранения навоза, помещения для стоянки техники;
"льно-, пенькоперерабатывающее предприятие" - здание, строение или сооружение, подключенные к сетям инженерно-технического обеспечения, оснащенные оборудованием для переработки льнотресты, тресты конопли и (или) оборудованием для выработки льно-, пеньковолокна (за исключением пряжи и ткани), а также здание и (или) сооружение, предназначенные для хранения сырья и продукции;
"мощности по производству сухих молочных продуктов для детского питания и компонентов для них" - здание, строение или сооружение, цех, включая инженерные сети и (или) оборудование, предназначенные для производства сухих молочных продуктов для детского питания и компонентов для них;
"объект по производству кормов для аквакультуры" - комплекс зданий, строений и сооружений, связанных единым технологическим процессом, предназначенных для круглогодичного промышленного производства кормов и кормосмесей для лососевых и (или) осетровых видов рыб, включающих производственные и складские помещения с технологическим оборудованием, лабораторию с комплектом оборудования по оценке качества сырья и готовой продукции, при необходимости котельные с соответствующим технологическим оборудованием, внутренние и наружные сети инженерно-технического обеспечения, а также включая объекты электросетевого хозяйства (трансформаторные подстанции, линии электропередачи), аппаратные и системные программные средства, информационные технологии, системы связи и средства системы безопасности;
"овцеводческий комплекс (ферма) мясного направления" - комплекс зданий, строений или сооружений, предназначенных для содержания, выращивания и воспроизводства овец мясных пород, оснащенных производственными помещениями для содержания, выращивания (откорма), искусственного осеменения овец мясных пород, связанными единым технологическим процессом на базе комплексной механизации производственных процессов, зданиями вспомогательного назначения - ветеринарно-санитарными и хозяйственно-бытовыми постройками, инженерными коммуникациями, сооружениями для хранения и приготовления кормов, хранения навоза, помещениями для стоянки техники, а также специализированные фермы и (или) площадки по выращиванию и (или) откорму молодняка овец мясных пород, включая здания вспомогательного назначения - ветеринарно-санитарные и хозяйственно-бытовые постройки, инженерные коммуникации, сооружения для хранения и приготовления кормов, хранения навоза, помещения для стоянки техники;
"оптово-распределительный центр" - здание, строение, сооружение, предназначенные для приема, хранения, подработки, первичной переработки, упаковки и реализации сельскохозяйственной продукции, сырья и продовольствия, а также для ветеринарного и фитосанитарного контроля с использованием автоматизированных электронных информационных и расчетных систем, обеспеченные контрольно-пропускным пунктом, внутренними подъездными путями и площадками для временной стоянки автотранспорта, либо комплекс зданий, строений и сооружений, предназначенных для приема, хранения, подработки, первичной переработки, упаковки и реализации сельскохозяйственной продукции, сырья и продовольствия, а также для ветеринарного и фитосанитарного контроля с использованием автоматизированных электронных информационных и расчетных систем, включающих в том числе внутренние и наружные сети инженерно-технического обеспечения, административно-бытовые корпуса, контрольно-пропускные пункты, внутренние подъездные пути и площадки для временной стоянки автотранспорта;
"питомник по выращиванию рыбопосадочного материала лососевых видов рыб" - комплекс зданий, строений и сооружений, предназначенных для получения и (или) выращивания посадочного материала (оплодотворенная икра, развивающаяся икра, личинки, молодь) атлантического лосося (семги) и (или) форели в целях производства продукции товарной аквакультуры и (или) выпуска в природную среду обитания для сохранения водных биологических ресурсов, связанных единым технологическим циклом, включающий технологические, складские, производственные помещения, оснащенные соответствующим рыбоводным и технологическим оборудованием, лабораторию с комплектом лабораторного и аналитического оборудования для контроля количественных и качественных характеристик объектов выращивания и мониторинга среды их содержания, при необходимости насосные станции, котельные с соответствующим технологическим оборудованием, внутренние и наружные сети инженерно-технического обеспечения, в том числе объекты электросетевого хозяйства (трансформаторные подстанции, линии электропередачи), аппаратные и системные программные средства, информационные технологии, системы связи и средства системы безопасности;
"плодохранилище" - здание, строение или сооружение, предназначенные для хранения, хранения и подработки различных видов плодов и ягод и оснащенные соответствующим технологическим оборудованием;
"репродуктор первого порядка для производства родительских форм птицы яичного и (или) мясного направлений продуктивности" - комплекс зданий, строений и сооружений, предназначенных для содержания прародительских форм птицы яичного и (или) мясного направлений продуктивности, оснащенных производственными помещениями для содержания, выращивания молодняка, связанными единым технологическим процессом на базе комплексной механизации производственных процессов, зданиями вспомогательного назначения - ветеринарно-санитарными и хозяйственно-бытовыми постройками, инженерными коммуникациями, сооружениями для хранения и приготовления кормов, хранения навоза;
"репродуктор второго порядка для производства инкубационного яйца финального гибрида птицы яичного и (или) мясного направлений продуктивности" - комплекс зданий, строений и сооружений, предназначенных для содержания родительских форм птицы яичного и (или) мясного направлений продуктивности, оснащенных производственными помещениями для содержания, выращивания молодняка, связанными единым технологическим процессом на базе комплексной механизации производственных процессов, зданиями вспомогательного назначения - ветеринарно-санитарными и хозяйственно-бытовыми постройками, инженерными коммуникациями, сооружениями для хранения и приготовления кормов, хранения навоза;
"селекционно-генетический центр в птицеводстве" - комплекс зданий, строений или сооружений, созданных в рамках комплексных научно-технических проектов Федеральной научно-технической программы развития сельского хозяйства на 2017 - 2030 годы, утвержденной постановлением Правительства Российской Федерации от 25 августа 2017 г. N 996 "Об утверждении Федеральной научно-технической программы развития сельского хозяйства на 2017 - 2030 годы" (далее - Федеральная научно-техническая программа развития сельского хозяйства), и предназначенных для создания отечественных пород (кроссов, гибридов) птицы, организации учета оценки уровня продуктивности племенной птицы и качества продукции птицеводства, использования автоматизированных систем управления селекционно-племенной работой;
"селекционно-питомниководческий центр в виноградарстве" - комплекс зданий, строений или сооружений, предназначенных для создания отечественных сортов (гибридов) винограда и (или) подработки, подготовки и хранения посадочного материала отечественной селекции и включающих складские помещения с технологическим оборудованием, лабораторию с комплектом оборудования по оценке качества сортов (гибридов), а также земли сельскохозяйственного назначения, используемые для выращивания и (или) размножения посадочного материала винограда отечественной селекции, включенные в инвестиционный проект;
"селекционно-семеноводческий центр в растениеводстве" - комплекс зданий, строений или сооружений, предназначенных для создания отечественных сортов (гибридов) сельскохозяйственных растений и (или) подработки, подготовки и хранения семян и (или) посадочного материала отечественной селекции и включающих складские помещения с технологическим оборудованием, лабораторию с комплектом оборудования по оценке качества сортов (гибридов) и семян, а также земли сельскохозяйственного назначения, используемые для выращивания и (или) размножения семян и (или) посадочного материала отечественной селекции, включенные в инвестиционный проект;
ж) "подработка" - подработка сельскохозяйственной продукции, включающая технологические операции для создания товарного вида сельскохозяйственной продукции, используемой в дальнейшем для реализации потребителям без последующей промышленной переработки (сортировка, калибровка, мойка, упаковка и дозревание) или в виде сырья для последующей (промышленной) переработки;
з) "получатели средств на возмещение части прямых понесенных затрат" - сельскохозяйственные товаропроизводители, за исключением граждан, ведущих личное подсобное хозяйство, и российские организации, осуществляющие создание и (или) модернизацию объектов агропромышленного комплекса;
и) "получатели средств на возмещение части затрат на маркировочное оборудование" - сельскохозяйственные товаропроизводители (за исключением граждан, ведущих личное подсобное хозяйство), российские организации и индивидуальные предприниматели, в том числе организации и индивидуальные предприниматели, осуществляющие производство и (или) первичную и (или) последующую (промышленную) переработку сельскохозяйственной продукции и ее реализацию, организации и индивидуальные предприниматели, осуществляющие производство и (или) первичную и (или) последующую переработку молока сырого крупного рогатого скота, козьего и овечьего на молочную продукцию и выпуск ее в оборот;
к) "прямые понесенные затраты" - выраженные в денежной форме расходы сельскохозяйственных товаропроизводителей, за исключением граждан, ведущих личное подсобное хозяйство, и российских организаций на создание и (или) модернизацию объектов агропромышленного комплекса, равные фактической стоимости объекта агропромышленного комплекса;
л) "создание" - строительство зданий, строений и сооружений (в том числе на месте сносимых объектов капитального строительства) и оснащение их специальной техникой и оборудованием, предусмотренные соответствующим инвестиционным проектом;
м) "участники региональной программы повышения производительности труда" - получатели средств на возмещение части прямых понесенных затрат или получатели средств на возмещение части затрат на маркировочное оборудование, участвующие в национальном проекте "Производительность труда и поддержка занятости";
н) "участники Федеральной научно-технической программы развития сельского хозяйства" - получатели средств на возмещение части прямых понесенных затрат или получатели средств на возмещение части затрат на маркировочное оборудование, участвующие в Федеральной научно-технической программе развития сельского хозяйства;
о) "фактическая стоимость маркировочного оборудования" - сумма затрат, понесенных сельскохозяйственными товаропроизводителями (за исключением граждан, ведущих личное подсобное хозяйство), российскими организациями и индивидуальными предпринимателями, в том числе организациями и индивидуальными предпринимателями, осуществляющими производство и (или) первичную и (или) последующую (промышленную) переработку сельскохозяйственной продукции и ее реализацию, организациями и индивидуальными предпринимателями, осуществляющими переработку молока сырого крупного рогатого скота, козьего и овечьего на молочную продукцию и выпуск ее в оборот, на закупку маркировочного оборудования и ввод его в промышленную эксплуатацию;
п) "фактическая стоимость объекта агропромышленного комплекса" - сумма затрат, понесенных сельскохозяйственными товаропроизводителями, за исключением граждан, ведущих личное подсобное хозяйство, и российскими организациями на создание и (или) модернизацию объекта агропромышленного комплекса.
3. Субсидии предоставляются в целях софинансирования расходных обязательств субъектов Российской Федерации по возмещению части прямых понесенных затрат на создание и (или) модернизацию объектов агропромышленного комплекса, а также на приобретение и ввод в промышленную эксплуатацию маркировочного оборудования для внедрения обязательной маркировки отдельных видов молочной продукции по следующим направлениям:
а) создание и (или) модернизация плодохранилищ, принадлежащих на праве собственности сельскохозяйственным товаропроизводителям, за исключением граждан, ведущих личное подсобное хозяйство, и российским организациям;
б) создание животноводческих комплексов молочного направления (молочных ферм), принадлежащих на праве собственности сельскохозяйственным товаропроизводителям, за исключением граждан, ведущих личное подсобное хозяйство, и российским организациям;
в) модернизация животноводческих комплексов молочного направления (молочных ферм), принадлежащих на праве собственности сельскохозяйственным товаропроизводителям, за исключением граждан, ведущих личное подсобное хозяйство, и российским организациям;
г) создание и (или) модернизация селекционно-семеноводческих центров в растениеводстве (за исключением селекционно-семеноводческих центров, расположенных в Дальневосточном федеральном округе), принадлежащих на праве собственности сельскохозяйственным товаропроизводителям, за исключением граждан, ведущих личное подсобное хозяйство, и российским организациям;
д) создание и (или) модернизация селекционно-питомниководческих центров в виноградарстве, принадлежащих на праве собственности сельскохозяйственным товаропроизводителям, за исключением граждан, ведущих личное подсобное хозяйство, и российским организациям;
е) создание и (или) модернизация селекционно-генетических центров в птицеводстве, принадлежащих на праве собственности сельскохозяйственным товаропроизводителям, за исключением граждан, ведущих личное подсобное хозяйство, и российским организациям;
ж) создание и (или) модернизация овцеводческих комплексов (ферм) мясного направления, принадлежащих на праве собственности сельскохозяйственным товаропроизводителям, за исключением граждан, ведущих личное подсобное хозяйство, и российским организациям;
з) создание и (или) модернизация мощностей по производству сухих молочных продуктов для детского питания и компонентов для них, принадлежащих на праве собственности сельскохозяйственным товаропроизводителям, за исключением граждан, ведущих личное подсобное хозяйство, и российским организациям;
и) создание и (или) модернизация льно-, пенькоперерабатывающих предприятий, принадлежащих на праве собственности сельскохозяйственным товаропроизводителям, за исключением граждан, ведущих личное подсобное хозяйство, и российским организациям;
к) создание на территориях Республики Крым и г. Севастополя оптово-распределительных центров, принадлежащих на праве собственности сельскохозяйственным товаропроизводителям, за исключением граждан, ведущих личное подсобное хозяйство, и российским организациям;
л) создание и (или) модернизация репродукторов первого порядка для производства родительских форм птицы яичного и (или) мясного направлений продуктивности, принадлежащих на праве собственности сельскохозяйственным товаропроизводителям, за исключением граждан, ведущих личное подсобное хозяйство, и российским организациям;
м) создание и (или) модернизация репродукторов второго порядка для производства инкубационного яйца финального гибрида птицы яичного и (или) мясного направлений продуктивности, принадлежащих на праве собственности сельскохозяйственным товаропроизводителям, за исключением граждан, ведущих личное подсобное хозяйство, и российским организациям;
н) создание и (или) модернизация объектов по производству кормов для аквакультуры, принадлежащих на праве собственности сельскохозяйственным товаропроизводителям, за исключением граждан, ведущих личное подсобное хозяйство, и российским организациям, ввод в эксплуатацию которых осуществлен не ранее 2023 года;
о) приобретение маркировочного оборудования и ввод его в промышленную эксплуатацию сельскохозяйственными товаропроизводителями (за исключением граждан, ведущих личное подсобное хозяйство), российскими организациями и индивидуальными предпринимателями, в том числе организациями и индивидуальными предпринимателями, осуществляющими производство и (или) первичную и (или) последующую (промышленную) переработку сельскохозяйственной продукции и ее реализацию, организациями и индивидуальными предпринимателями, осуществляющими производство и (или) первичную и (или) последующую переработку молока сырого крупного рогатого скота, козьего и овечьего на молочную продукцию и выпуск ее в оборот;
п) создание и (или) модернизация питомников по выращиванию рыбопосадочного материала лососевых видов рыб, принадлежащих на праве собственности сельскохозяйственным товаропроизводителям, за исключением граждан, ведущих личное подсобное хозяйство, и российским организациям, ввод в эксплуатацию которых осуществлен не ранее 2024 года.
4. Субсидии предоставляются в отношении:
а) направлений, указанных в подпунктах "а" - "к" пункта 3 настоящих Правил, - в 2024 году и в последующие годы;
б) направлений, указанных в подпунктах "л" и "м" пункта 3 настоящих Правил, - в 2024 - 2025 годах;
в) направления, указанного в подпункте "н" пункта 3 настоящих Правил, - в 2024 - 2027 годах;
г) направления, указанного в подпункте "о" пункта 3 настоящих Правил, - в 2024 - 2026 годах;
д) направления, указанного в подпункте "п" пункта 3 настоящих Правил, - в 2025 - 2030 годах.
5. В целях предоставления субсидии Министерство сельского хозяйства Российской Федерации осуществляет конкурсный отбор инвестиционных проектов, а также заявок на возмещение части затрат на маркировочное оборудование (далее - отбор), представленных субъектами Российской Федерации. Порядок отбора устанавливается Министерством сельского хозяйства Российской Федерации с учетом критериев приоритетности в следующей очередности:
а) инвестиционные проекты, реализуемые участниками региональной программы повышения производительности труда, а также заявки на возмещение части затрат на маркировочное оборудование, представленные участниками региональной программы повышения производительности труда;
б) инвестиционные проекты, реализуемые участниками Федеральной научно-технической программы развития сельского хозяйства, а также заявки на возмещение части затрат на маркировочное оборудование, представленные участниками Федеральной научно-технической программы развития сельского хозяйства;
в) инвестиционные проекты, реализуемые получателями средств на возмещение части прямых понесенных затрат, а также заявки на возмещение части затрат на маркировочное оборудование, представленные получателями средств на возмещение части затрат на маркировочное оборудование.
6. Субсидии предоставляются в пределах лимитов бюджетных обязательств, доведенных до Министерства сельского хозяйства Российской Федерации как получателя средств федерального бюджета на предоставление субсидий на цели, указанные в пункте 1 настоящих Правил, на очередной финансовый год по прошедшим отбор в соответствии с пунктом 5 настоящих Правил инвестиционным проектам и (или) заявкам на возмещение части затрат на маркировочное оборудование.
В 2024 году предоставление субсидий на цели, указанные в пункте 1 настоящих Правил, осуществляется на основании решения Правительства Российской Федерации по прошедшим отбор в соответствии с пунктом 5 настоящих Правил на текущий финансовый год инвестиционным проектам и (или) заявкам на возмещение части затрат на маркировочное оборудование.
В 2025 году предоставление субсидий на цели, указанные в пункте 1 настоящих Правил, осуществляется на основании решения Правительства Российской Федерации по прошедшим отбор в соответствии с пунктом 5 настоящих Правил на текущий финансовый год инвестиционным проектам и (или) заявкам на возмещение части затрат на маркировочное оборудование.
В 2025 году предоставление субсидий на цели, указанные в пункте 1 настоящих Правил, осуществляется в том числе по отобранным в 2024 году инвестиционным проектам и (или) заявкам на возмещение части затрат на маркировочное оборудование без проведения повторного отбора с учетом установленного в году предоставления субсидий уровня софинансирования объема расходного обязательства субъекта Российской Федерации при условии письменного подтверждения высшим исполнительным органом субъекта Российской Федерации по запросу Министерства сельского хозяйства Российской Федерации актуальности инвестиционного проекта и (или) заявки на возмещение части затрат на маркировочное оборудование.
В случае недостаточности лимитов бюджетных обязательств в 2025 году, в том числе на отобранные в 2024 году инвестиционные проекты и (или) заявки на возмещение части затрат на маркировочное оборудование, такие инвестиционные проекты и (или) заявки на возмещение части затрат на маркировочное оборудование принимаются в целях распределения субсидий на очередной финансовый год без проведения повторного отбора с учетом установленного в году предоставления субсидий уровня софинансирования объема расходного обязательства субъекта Российской Федерации при условии письменного подтверждения, указанного в абзаце четвертом настоящего пункта.
Средства из бюджета субъекта Российской Федерации, источником софинансирования которых является субсидия, предоставляются в отношении отобранных инвестиционных проектов, реализация которых начата не ранее чем за 3 года до года проведения отбора, и объекты агропромышленного комплекса, создание и (или) модернизация которых включены в такие инвестиционные проекты, введены в эксплуатацию не позднее дня предоставления субъектом Российской Федерации инвестиционного проекта для участие в отборе.
В случае если в отношении объекта агропромышленного комплекса в соответствии с Градостроительным кодексом Российской Федерации при осуществлении строительства предусмотрен государственный строительный надзор, годом начала создания объекта агропромышленного комплекса является год направления в соответствии с частью 5 статьи 52 Градостроительного кодекса Российской Федерации извещения о начале строительства такого объекта агропромышленного комплекса.
В случае если в отношении объекта агропромышленного комплекса в соответствии с Градостроительным кодексом Российской Федерации при осуществлении строительства не предусмотрен государственный строительный надзор, годом начала создания объекта агропромышленного комплекса является год выдачи разрешения на строительство такого объекта агропромышленного комплекса.
Годом начала модернизации объекта агропромышленного комплекса является год заключения договора на приобретение техники и (или) оборудования.
Подтверждением факта ввода в эксплуатацию объекта агропромышленного комплекса при создании является наличие разрешения на ввод его в эксплуатацию, при модернизации - наличие акта его приемки и (или) документов, подтверждающих приобретение техники и (или) оборудования.
Средства из бюджета субъекта Российской Федерации, источником софинансирования которых является субсидия, не предоставляются на возмещение части прямых понесенных затрат, связанных с разработкой проектной документации и проведением инженерных изысканий, выполняемых для подготовки такой проектной документации, проведением государственной экспертизы проектной документации и результатов инженерных изысканий, и проведением проверки достоверности определения сметной стоимости объектов агропромышленного комплекса.
Средства из бюджета субъекта Российской Федерации, источником софинансирования которых является субсидия, в отношении заявок на возмещение части затрат на маркировочное оборудование предоставляются в случае, если затраты на маркировочное оборудование произведены в 2021 - 2023 годах и маркировочное оборудование введено в промышленную эксплуатацию не позднее дня представления субъектом Российской Федерации заявки на возмещение части затрат на маркировочное оборудование для участия в отборе.
Подтверждением факта ввода в промышленную эксплуатацию маркировочного оборудования является наличие документов, подтверждающих приобретение, и акта ввода его в эксплуатацию.
7. Критерием отбора субъектов Российской Федерации для предоставления субсидии является наличие в субъекте Российской Федерации отобранных в соответствии с пунктом 5 настоящих Правил инвестиционных проектов и (или) заявок на возмещение части затрат на маркировочное оборудование.
8. Объем средств, предоставляемых получателям средств на возмещение части прямых понесенных затрат и получателям средств на возмещение части затрат на маркировочное оборудование из бюджета субъекта Российской Федерации, составляет:
а) в отношении направлений, указанных в подпунктах "а", "д" - "з", "к" - "н" и "п" пункта 3 настоящих Правил, - 25 процентов фактической стоимости объекта агропромышленного комплекса (но не выше предельной стоимости объекта агропромышленного комплекса);
б) в отношении направления, указанного в подпункте "б" пункта 3 настоящих Правил, - 30 процентов фактической стоимости объекта агропромышленного комплекса (но не выше предельной стоимости объекта агропромышленного комплекса). К указанному объему возмещения прямых понесенных затрат применяется коэффициент 1,4 для инвестиционных проектов, реализуемых в субъектах Российской Федерации, соответствующих одновременно следующим условиям:
в субъекте Российской Федерации имеется прирост производства молока в сельскохозяйственных организациях, крестьянских (фермерских) хозяйствах и у индивидуальных предпринимателей в году, предшествующем году проведения отбора, по отношению к среднему объему производства молока за 3 года, предшествующих указанному году, в сельскохозяйственных организациях, крестьянских (фермерских) хозяйствах и у индивидуальных предпринимателей по данным Федеральной службы государственной статистики;
в субъекте Российской Федерации в общей посевной площади сельскохозяйственных культур в хозяйствах всех категорий доля кормовых культур составляет не менее 20 процентов в году, предшествующем году проведения отбора, по данным Федеральной службы государственной статистики;
в) в отношении направления, указанного в подпункте "в" пункта 3 настоящих Правил, - 50 процентов фактической стоимости объекта агропромышленного комплекса (но не выше предельной стоимости объекта агропромышленного комплекса);
г) в отношении направления, указанного в подпункте "г" пункта 3 настоящих Правил, - 25 процентов фактической стоимости объекта агропромышленного комплекса (но не выше предельной стоимости объекта агропромышленного комплекса), если создание и (или) модернизация объекта агропромышленного комплекса осуществлены не позднее 2021 года, или 50 процентов фактической стоимости объекта агропромышленного комплекса (но не выше предельной стоимости объекта агропромышленного комплекса), если создание и (или) модернизация объекта агропромышленного комплекса начаты не ранее 2022 года;
д) в отношении направления, указанного в подпункте "и" пункта 3 настоящих Правил, - 30 процентов фактической стоимости объекта агропромышленного комплекса (но не выше предельной стоимости объекта агропромышленного комплекса);
е) в отношении направления, указанного в подпункте "о" пункта 3 настоящих Правил, - 70 процентов фактической стоимости маркировочного оборудования (но не выше предельной стоимости маркировочного оборудования).
9. Предельная стоимость объектов агропромышленного комплекса и маркировочного оборудования определяется исходя из:
предельных значений стоимости единиц мощности объектов агропромышленного комплекса, установленных Министерством сельского хозяйства Российской Федерации на основании сведений об объектах - аналогах по функциональному назначению и (или) по конструктивным и объемно-планировочным решениям, - для объектов агропромышленного комплекса;
предельных значений стоимости единиц мощности маркировочного оборудования, установленных Министерством сельского хозяйства Российской Федерации на основании сведений об оборудовании - аналоге по функциональному назначению, исходя из мощности линии фасовочного оборудования и (или) линии основного производства, дооборудованной приобретенным маркировочным оборудованием, - для маркировочного оборудования.
10. Предоставление субсидии осуществляется на основании соглашения, заключенного между Министерством сельского хозяйства Российской Федерации и высшим исполнительным органом субъекта Российской Федерации, подготавливаемого (формируемого) с использованием государственной интегрированной информационной системы управления общественными финансами "Электронный бюджет" в соответствии с типовой формой соглашения, утвержденной Министерством финансов Российской Федерации (далее - соглашение).
11. Условиями предоставления субсидии являются:
а) наличие правового акта субъекта Российской Федерации, утверждающего перечень мероприятий (результатов), при реализации которых возникают расходные обязательства субъекта Российской Федерации, в целях софинансирования которых предоставляется субсидия, в соответствии с требованиями нормативных правовых актов Российской Федерации;
б) наличие в бюджете субъекта Российской Федерации бюджетных ассигнований на исполнение расходного обязательства субъекта Российской Федерации, софинансирование которого осуществляется из федерального бюджета, в объеме, необходимом для его исполнения, включающем размер планируемой к предоставлению субсидии, если иное не установлено актами Президента Российской Федерации или Правительства Российской Федерации;
в) заключение соглашения в соответствии с пунктом 10 Правил формирования, предоставления и распределения субсидий из федерального бюджета бюджетам субъектов Российской Федерации, утвержденных постановлением Правительства Российской Федерации от 30 сентября 2014 г. N 999 "О формировании, предоставлении и распределении субсидий из федерального бюджета бюджетам субъектов Российской Федерации" (далее - Правила формирования субсидий).
12. Размер субсидии, предоставляемой бюджету i-го субъекта Российской Федерации в соответствующем финансовом году (Wi), определяется по формуле:

где:
V - объем бюджетных ассигнований, предусмотренных в федеральном бюджете на соответствующий финансовый год на предоставление субсидии (тыс. рублей);
Ni - размер субсидии бюджету i-го субъекта Российской Федерации по отобранным инвестиционным проектам и (или) заявкам на возмещение части затрат на маркировочное оборудование на соответствующий финансовый год (тыс. рублей), который рассчитывается по формуле:
![]()
где:
Cij - фактическая стоимость j-го объекта агропромышленного комплекса или маркировочного оборудования (но не выше предельной стоимости объекта агропромышленного комплекса или маркировочного оборудования) в i-м субъекте Российской Федерации;
Dij - коэффициент для j-го объекта агропромышленного комплекса по направлению, указанному в подпункте "б" пункта 3 настоящих Правил, в случае выполнения i-м субъектом Российской Федерации условий, указанных в подпункте "б" пункта 8 настоящих Правил, равный 1,4, в иных случаях - 1;
k - процент возмещения части прямых понесенных затрат в соответствии с пунктом 8 настоящих Правил;
Yi - предельный уровень софинансирования расходного обязательства i-го субъекта Российской Федерации из федерального бюджета на очередной финансовый год (в процентах), определяемый в соответствии с пунктом 13 Правил формирования субсидий;
n - количество субъектов Российской Федерации, отвечающих критерию, установленному пунктом 7 настоящих Правил.
13. Размер субсидии бюджетам субъектов Российской Федерации не может превышать размер средств на исполнение в очередном финансовом году расходного обязательства субъекта Российской Федерации, в целях софинансирования которого предоставляется субсидия.
14. Перечисление субсидий осуществляется в установленном порядке на единые счета бюджетов, открытые финансовым органам субъектов Российской Федерации в территориальных органах Федерального казначейства.
15. Орган, уполномоченный высшим исполнительным органом субъекта Российской Федерации, представляет в Министерство сельского хозяйства Российской Федерации следующие документы:
а) выписка из закона субъекта Российской Федерации о бюджете субъекта Российской Федерации и (или) выписка из сводной бюджетной росписи бюджета субъекта Российской Федерации, подтверждающая наличие в утвержденном бюджете субъекта Российской Федерации бюджетных ассигнований на финансовое обеспечение указанных в пункте 3 настоящих Правил расходных обязательств субъекта Российской Федерации;
б) документ, содержащий информацию об использовании средств бюджетов субъектов Российской Федерации, в целях софинансирования расходных обязательств которых предоставляются субсидии, с приложением перечня получателей указанных средств - по форме и в срок, которые устанавливаются Министерством сельского хозяйства Российской Федерации;
в) отчет о финансово-экономическом состоянии товаропроизводителей агропромышленного комплекса - по форме и в срок, которые устанавливаются Министерством сельского хозяйства Российской Федерации;
г) отчетность об осуществлении расходов бюджета субъекта Российской Федерации, в целях софинансирования которых предоставляется субсидия, а также о достижении субъектом Российской Федерации значений результатов использования субсидии, подготавливаемая (формируемая) с использованием государственной интегрированной информационной системы управления общественными финансами "Электронный бюджет" по форме и в срок, которые устанавливаются соглашением.
16. Для оценки эффективности использования субсидии применяются следующие результаты использования субсидии:
а) созданы и (или) модернизированы объекты агропромышленного комплекса (единиц);
б) обеспечено количество произведенной и маркированной молочной продукции, подлежащей обязательной маркировке средствами идентификации отдельных видов молочной продукции (тыс. штук).
17. Эффективность использования субсидии оценивается ежегодно Министерством сельского хозяйства Российской Федерации на основании сравнения установленного соглашением результата использования субсидии и фактического результата использования субсидии.
18. В случае нарушения целей, установленных при предоставлении субсидии, применяются бюджетные меры принуждения, предусмотренные бюджетным законодательством Российской Федерации.
19. Порядок и условия возврата средств из бюджета субъекта Российской Федерации в федеральный бюджет в случае нарушения субъектом Российской Федерации обязательств, предусмотренных соглашением, в том числе касающихся достижения значений результатов использования субсидии, а также основания для освобождения субъекта Российской Федерации от применения мер ответственности за нарушение указанных обязательств установлены пунктами 16 - 18 и 20 Правил формирования субсидий.
В случае нарушения целей, установленных при предоставлении субсидии, применяются бюджетные меры принуждения, предусмотренные бюджетным законодательством Российской Федерации.
20. Ответственность за достоверность представляемых в Министерство сельского хозяйства Российской Федерации сведений и соблюдение условий, предусмотренных настоящими Правилами и соглашением, возлагается на высший исполнительный орган субъекта Российской Федерации и (или) орган, уполномоченный высшим исполнительным органом субъекта Российской Федерации.
21. Контроль за соблюдением субъектами Российской Федерации условий предоставления субсидий осуществляется Министерством сельского хозяйства Российской Федерации и уполномоченными органами государственного финансового контроля.
Приложение N 17(1)
к Государственной программе развития
сельского хозяйства и регулирования
рынков сельскохозяйственной продукции,
сырья и продовольствия
ПРАВИЛА
ПРЕДОСТАВЛЕНИЯ И РАСПРЕДЕЛЕНИЯ СУБСИДИЙ ИЗ ФЕДЕРАЛЬНОГО
БЮДЖЕТА БЮДЖЕТАМ СУБЪЕКТОВ РОССИЙСКОЙ ФЕДЕРАЦИИ, ВХОДЯЩИХ
В СОСТАВ ДАЛЬНЕВОСТОЧНОГО ФЕДЕРАЛЬНОГО ОКРУГА, В ЦЕЛЯХ
СОФИНАНСИРОВАНИЯ РАСХОДНЫХ ОБЯЗАТЕЛЬСТВ УКАЗАННЫХ СУБЪЕКТОВ
РОССИЙСКОЙ ФЕДЕРАЦИИ ПО ВОЗМЕЩЕНИЮ ЧАСТИ ПРЯМЫХ ПОНЕСЕННЫХ
ЗАТРАТ НА СОЗДАНИЕ И (ИЛИ) МОДЕРНИЗАЦИЮ ТЕПЛИЧНЫХ
КОМПЛЕКСОВ ДЛЯ ПРОИЗВОДСТВА ОВОЩЕЙ В ЗАЩИЩЕННОМ ГРУНТЕ
И СЕЛЕКЦИОННО-СЕМЕНОВОДЧЕСКИХ ЦЕНТРОВ В РАСТЕНИЕВОДСТВЕ
В ДАЛЬНЕВОСТОЧНОМ ФЕДЕРАЛЬНОМ ОКРУГЕ
1. Настоящие Правила устанавливают цели, условия и порядок предоставления и распределения субсидий из федерального бюджета бюджетам субъектов Российской Федерации, входящих в состав Дальневосточного федерального округа, в целях софинансирования расходных обязательств указанных субъектов Российской Федерации по возмещению части прямых понесенных затрат на создание и (или) модернизацию тепличных комплексов для производства овощей в защищенном грунте и селекционно-семеноводческих центров в растениеводстве в Дальневосточном федеральном округе в рамках федерального проекта "Стимулирование инвестиционной деятельности в агропромышленном комплексе" Государственной программы развития сельского хозяйства и регулирования рынков сельскохозяйственной продукции, сырья и продовольствия, утвержденной постановлением Правительства Российской Федерации от 14 июля 2012 г. N 717 "О Государственной программе развития сельского хозяйства и регулирования рынков сельскохозяйственной продукции, сырья и продовольствия" (далее - субсидии).
2. Понятия, используемые в настоящих Правилах, означают следующее:
"инвестиционный проект" - документация, включающая обоснование экономической целесообразности, объема и сроков осуществления затрат на создание и (или) модернизацию объектов агропромышленного комплекса, в том числе проектная документация, разработанная в соответствии с законодательством Российской Федерации, а также описание практических действий по осуществлению указанных затрат;
"модернизация" - работы, связанные с повышением технико-экономических показателей оборудования, здания, строения и сооружения;
"объекты агропромышленного комплекса" - объекты, включающие в себя селекционно-семеноводческие центры в растениеводстве и тепличные комплексы для производства овощей в защищенном грунте, расположенные на территории Дальневосточного федерального округа и принадлежащие на праве собственности получателям средств;
"получатели средств" - сельскохозяйственные товаропроизводители, за исключением граждан, ведущих личное подсобное хозяйство, и российские организации, осуществляющие создание и (или) модернизацию объектов агропромышленного комплекса;
"прямые понесенные затраты" - выраженные в денежной форме расходы сельскохозяйственных товаропроизводителей, за исключением граждан, ведущих личное подсобное хозяйство, и российских организаций на создание и (или) модернизацию объектов агропромышленного комплекса, равные фактической стоимости объекта агропромышленного комплекса;
"селекционно-семеноводческий центр в растениеводстве" - комплекс зданий, строений или сооружений, предназначенных для создания отечественных сортов (гибридов) сельскохозяйственных растений и (или) подработки, подготовки и хранения семян и (или) посадочного материала отечественной селекции и включающих складские помещения с технологическим оборудованием, лабораторию с комплектом оборудования по оценке качества сортов (гибридов) и семян, а также имеющих собственные и (или) арендованные земли сельскохозяйственного назначения, используемые для выращивания и (или) размножения семян и (или) посадочного материала отечественной селекции;
"создание" - строительство зданий, строений и сооружений (в том числе на месте сносимых объектов капитального строительства) и оснащение их специальной техникой и оборудованием, предусмотренных соответствующим инвестиционным проектом;
"тепличный комплекс для производства овощей в защищенном грунте" - комплекс зданий, строений или сооружений, в том числе остекленных, и (или) с пленочным покрытием, и (или) с покрытием из поликарбоната, предназначенных для круглогодичного промышленного производства овощей в защищенном грунте, оснащенных необходимым технологическим и агротехническим оборудованием и включающих при необходимости теплоэнергетические центры, котельные с соответствующим технологическим оборудованием, внутренние сети инженерно-технического обеспечения и наружные сети инженерно-технического обеспечения, в том числе объекты электросетевого хозяйства (подстанции, распределительные пункты, распределительные трансформаторные подстанции, линии электропередачи);
"фактическая стоимость объекта агропромышленного комплекса" - сумма затрат, понесенных сельскохозяйственными товаропроизводителями, за исключением граждан, ведущих личное подсобное хозяйство, и российскими организациями на создание и (или) модернизацию объекта агропромышленного комплекса.
3. Субсидии предоставляются в целях софинансирования расходных обязательств субъектов Российской Федерации, входящих в состав Дальневосточного федерального округа, по возмещению части прямых понесенных затрат на создание и (или) модернизацию объектов агропромышленного комплекса.
4. Порядок отбора инвестиционных проектов для последующего возмещения части прямых понесенных затрат (далее - отбор), а также требования к объектам агропромышленного комплекса устанавливаются Министерством Российской Федерации по развитию Дальнего Востока и Арктики по согласованию с Министерством сельского хозяйства Российской Федерации.
В отношении инвестиционных проектов, ранее не отобранных Министерством Российской Федерации по развитию Дальнего Востока и Арктики в связи с отсутствием бюджетных ассигнований и лимитов бюджетных обязательств, доведенных до Министерства Российской Федерации по развитию Дальнего Востока и Арктики на цели, указанные в пункте 3 настоящих Правил, в течение 1 года со дня подачи заявки на участие в отборе не распространяется указанное в абзаце третьем пункта 5 настоящих Правил требование к сроку начала создания и (или) модернизации объектов агропромышленного комплекса и указанные инвестиционные проекты рассматриваются в приоритетном порядке.
5. Субсидии предоставляются в пределах лимитов бюджетных обязательств, доведенных до Министерства Российской Федерации по развитию Дальнего Востока и Арктики как получателя средств федерального бюджета на предоставление субсидий на цели, указанные в пункте 3 настоящих Правил, в текущем финансовом году и на очередной финансовый год по инвестиционным проектам, прошедшим отбор в соответствии с пунктом 4 настоящих Правил.
В 2024 и 2025 годах предоставление субсидий осуществляется на основании решения Правительства Российской Федерации по инвестиционным проектам, прошедшим отбор в соответствии с пунктом 4 настоящих Правил на текущий финансовый год.
Средства из бюджета субъекта Российской Федерации, входящего в состав Дальневосточного федерального округа, источником софинансирования которых является субсидия, предоставляются в отношении инвестиционных проектов, прошедших отбор в соответствии с пунктом 4 настоящих Правил, создание и (или) модернизация объектов агропромышленного комплекса по которым начаты не ранее чем за 5 лет до года проведения отбора, а также если такие объекты агропромышленного комплекса введены в эксплуатацию и (или) составлены акты приемки таких объектов и (или) документы, подтверждающие приобретение техники и (или) оборудования, предусмотренных соответствующим инвестиционным проектом, не позднее дня представления субъектом Российской Федерации, входящим в состав Дальневосточного федерального округа, заявки на участие в отборе.
В случае если в отношении объекта агропромышленного комплекса в соответствии с Градостроительным кодексом Российской Федерации при осуществлении строительства предусмотрен государственный строительный надзор, годом начала создания объекта агропромышленного комплекса является год направления в соответствии с частью 5 статьи 52 Градостроительного кодекса Российской Федерации извещения о начале строительства такого объекта агропромышленного комплекса.
В случае если в отношении объекта агропромышленного комплекса в соответствии с Градостроительным кодексом Российской Федерации при осуществлении строительства не предусмотрен государственный строительный надзор, годом начала создания объекта агропромышленного комплекса является год выдачи разрешения на строительство объекта агропромышленного комплекса.
Годом начала модернизации объекта агропромышленного комплекса является год заключения договора на приобретение техники и (или) оборудования, предусмотренных соответствующим инвестиционным проектом.
Подтверждением факта ввода в эксплуатацию объекта агропромышленного комплекса при создании является наличие разрешения на ввод объекта в эксплуатацию, при модернизации - наличие акта приемки объекта и (или) документов, подтверждающих приобретение техники и (или) оборудования, предусмотренных соответствующим инвестиционным проектом.
Средства из бюджета субъекта Российской Федерации, входящего в состав Дальневосточного федерального округа, источником софинансирования которых является субсидия, не предоставляются на возмещение части прямых понесенных затрат, связанных с разработкой проектной документации и проведением инженерных изысканий, выполняемых для подготовки такой проектной документации, проведением государственной экспертизы проектной документации и результатов инженерных изысканий и проведением проверки достоверности определения сметной стоимости объектов агропромышленного комплекса.
6. Объем средств, предоставляемых получателям средств из бюджета субъекта Российской Федерации, входящего в состав Дальневосточного федерального округа, составляет:
а) в отношении тепличных комплексов для производства овощей в защищенном грунте в Дальневосточном федеральном округе - 20 процентов фактической стоимости объекта агропромышленного комплекса (но не выше предельной стоимости объекта агропромышленного комплекса);
б) в отношении селекционно-семеноводческих центров в растениеводстве в Дальневосточном федеральном округе - 50 процентов фактической стоимости объекта агропромышленного комплекса (но не выше предельной стоимости объекта агропромышленного комплекса).
7. Предельная стоимость объектов агропромышленного комплекса определяется исходя из предельных значений стоимости единиц мощности объектов агропромышленного комплекса, установленных Министерством Российской Федерации по развитию Дальнего Востока и Арктики по согласованию с Министерством сельского хозяйства Российской Федерации, Министерством экономического развития Российской Федерации и Министерством финансов Российской Федерации на основании сведений об объектах - аналогах по функциональному назначению и (или) по конструктивным и объемно-планировочным решениям.
8. Критерием отбора субъектов Российской Федерации, входящих в состав Дальневосточного федерального округа, является наличие в субъекте Российской Федерации, входящем в состав Дальневосточного федерального округа, отобранных в соответствии с пунктом 4 настоящих Правил инвестиционных проектов.
9. Предоставление субсидии осуществляется на основании соглашения, подготавливаемого (формируемого) с использованием государственной интегрированной информационной системы управления общественными финансами "Электронный бюджет" в соответствии с типовой формой соглашения, утвержденной Министерством финансов Российской Федерации (далее - соглашение).
10. Условиями предоставления субсидии являются:
а) наличие правового акта субъекта Российской Федерации, входящего в состав Дальневосточного федерального округа, предусматривающего мероприятия (результаты), при реализации которых возникают расходные обязательства субъекта Российской Федерации, входящего в состав Дальневосточного федерального округа, в целях софинансирования которых предоставляется субсидия, в соответствии с требованиями нормативных правовых актов Российской Федерации;
б) наличие в бюджете субъекта Российской Федерации, входящего в состав Дальневосточного федерального округа, бюджетных ассигнований на исполнение расходного обязательства субъекта Российской Федерации, входящего в состав Дальневосточного федерального округа, софинансирование которого осуществляется из федерального бюджета, в объеме, необходимом для его исполнения, включающем размер планируемой к предоставлению из федерального бюджета субсидии;
в) заключение соглашения в соответствии с пунктом 10 Правил формирования, предоставления и распределения субсидий из федерального бюджета бюджетам субъектов Российской Федерации, утвержденных постановлением Правительства Российской Федерации от 30 сентября 2014 г. N 999 "О формировании, предоставлении и распределении субсидий из федерального бюджета бюджетам субъектов Российской Федерации" (далее - Правила формирования субсидий).
11. Размер субсидии, предоставляемой бюджету i-го субъекта Российской Федерации, входящего в состав Дальневосточного федерального округа, в соответствующем финансовом году (Vi), определяется по формуле:
,
где:
V - общий объем бюджетных ассигнований, предусмотренный в федеральном бюджете на цели, установленные пунктом 3 настоящих Правил, или объем бюджетных ассигнований, не распределенный по результатам прошедших отборов;
Ai - сумма части прямых понесенных затрат на создание и (или) модернизацию объектов агропромышленного комплекса, предусмотренных инвестиционными проектами, прошедшими отбор в соответствии с пунктом 4 настоящих Правил, в i-м субъекте Российской Федерации, входящем в состав Дальневосточного федерального округа;
Yi - предельный уровень софинансирования расходного обязательства i-го субъекта Российской Федерации, входящего в состав Дальневосточного федерального округа, из федерального бюджета на соответствующий финансовый год (в процентах), определяемый в соответствии с пунктом 13 Правил формирования субсидий;
n - количество субъектов Российской Федерации, входящих в состав Дальневосточного федерального округа, соответствующих критерию, предусмотренному пунктом 8 настоящих Правил.
12. Сумма части прямых понесенных затрат на создание и (или) модернизацию объектов агропромышленного комплекса, предусмотренных инвестиционными проектами, прошедшими отбор в соответствии с пунктом 4 настоящих Правил, в i-м субъекте Российской Федерации, входящем в состав Дальневосточного федерального округа (Ai), определяется по формуле:
,
где:
Cij - фактическая стоимость j-го объекта агропромышленного комплекса, предусмотренного инвестиционным проектом, прошедшим отбор в соответствии с пунктом 4 настоящих Правил, в i-м субъекте Российской Федерации, входящем в состав Дальневосточного федерального округа. В случае превышения фактической стоимости j-го объекта агропромышленного комплекса, предусмотренного инвестиционным проектом, прошедшим отбор в соответствии с пунктом 4 настоящих Правил, над предельной стоимостью объекта агропромышленного комплекса, определенной в соответствии с пунктом 7 настоящих Правил, размер Cij устанавливается равным такой предельной стоимости j-го объекта агропромышленного комплекса, предусмотренного инвестиционным проектом, прошедшим отбор в соответствии с пунктом 4 настоящих Правил;
kj - процент возмещения части прямых понесенных затрат по j-му объекту агропромышленного комплекса, предусмотренному инвестиционным проектом, прошедшим отбор в соответствии с пунктом 4 настоящих Правил, указанный в пункте 6 настоящих Правил.
13. Размер субсидии, предоставляемой бюджету i-го субъекта Российской Федерации, входящего в состав Дальневосточного федерального округа, в соответствующем финансовом году, не может превышать размера софинансирования расходных обязательств соответствующего субъекта Российской Федерации, входящего в состав Дальневосточного федерального округа, на компенсацию понесенных затрат на создание и (или) модернизацию объектов агропромышленного комплекса, предусмотренных инвестиционными проектами, прошедшими отбор в соответствии с пунктом 4 настоящих Правил (Bi), который определяется по формуле:
Bi = Ai x Yi.
14. В случае если в текущем финансовом году после проведения отбора имеется остаток бюджетных ассигнований, предусмотренных Министерству Российской Федерации по развитию Дальнего Востока и Арктики на цели, установленные пунктом 3 настоящих Правил, или доведены дополнительные бюджетные ассигнования на данные цели, Министерством Российской Федерации по развитию Дальнего Востока и Арктики проводится дополнительный отбор в соответствии с настоящими Правилами не позднее 1 сентября текущего финансового года.
15. Перечисление субсидий осуществляется на единые счета бюджетов, открытые финансовым органам субъектов Российской Федерации, входящих в состав Дальневосточного федерального округа, в территориальных органах Федерального казначейства.
16. Орган, уполномоченный высшим исполнительным органом субъекта Российской Федерации, входящего в состав Дальневосточного федерального округа, представляет в Министерство Российской Федерации по развитию Дальнего Востока и Арктики следующие документы:
а) выписка из закона субъекта Российской Федерации, входящего в состав Дальневосточного федерального округа, о бюджете этого субъекта Российской Федерации и (или) выписка из сводной бюджетной росписи бюджета субъекта Российской Федерации, входящего в состав Дальневосточного федерального округа, подтверждающая наличие в утвержденном бюджете субъекта Российской Федерации бюджетных ассигнований на исполнение расходных обязательств субъекта Российской Федерации, в целях софинансирования которых предоставляется субсидия;
б) документ, содержащий информацию об использовании средств бюджета субъекта Российской Федерации, входящего в состав Дальневосточного федерального округа, в целях софинансирования расходных обязательств которого предоставляется субсидия, с приложением перечня получателей средств - по форме и в срок, которые устанавливаются Министерством Российской Федерации по развитию Дальнего Востока и Арктики;
в) отчетность об осуществлении расходов бюджета субъекта Российской Федерации, входящего в состав Дальневосточного федерального округа, в целях софинансирования которых предоставляется субсидия, а также о достижении субъектом Российской Федерации, входящим в состав Дальневосточного федерального округа, значений результата использования субсидии, подготавливаемая (формируемая) с использованием государственной интегрированной информационной системы управления общественными финансами "Электронный бюджет", - по форме и в срок, которые устанавливаются соглашением.
17. Для оценки эффективности использования субсидии применяется результат использования субсидии - созданы и (или) модернизированы объекты агропромышленного комплекса в Дальневосточном федеральном округе (единиц).
18. Эффективность использования субсидии оценивается ежегодно Министерством Российской Федерации по развитию Дальнего Востока и Арктики на основании сравнения установленного соглашением значения результата использования субсидии и фактического значения результата использования субсидии.
19. В случае нарушения целей, установленных при предоставлении субсидии, применяются бюджетные меры принуждения в соответствии с бюджетным законодательством Российской Федерации.
20. Порядок и условия возврата средств из бюджета субъекта Российской Федерации, входящего в состав Дальневосточного федерального округа, в федеральный бюджет в случае нарушения субъектом Российской Федерации, входящим в состав Дальневосточного федерального округа, условий соглашения и обязательств субъекта Российской Федерации, входящего в состав Дальневосточного федерального округа, по достижению результата использования субсидии, а также сроки и основания для освобождения субъекта Российской Федерации, входящего в состав Дальневосточного федерального округа, от применения мер финансовой ответственности установлены пунктами 16 - 18 и 20 Правил формирования субсидий.
21. Ответственность за достоверность представляемых в Министерство Российской Федерации по развитию Дальнего Востока и Арктики сведений и соблюдение условий, предусмотренных настоящими Правилами и соглашением, возлагается на орган, уполномоченный высшим исполнительным органом субъекта Российской Федерации, входящего в состав Дальневосточного федерального округа, и высший исполнительный орган субъекта Российской Федерации, входящего в состав Дальневосточного федерального округа.
22. Контроль за соблюдением субъектами Российской Федерации, входящими в состав Дальневосточного федерального округа, условий предоставления субсидий осуществляется Министерством Российской Федерации по развитию Дальнего Востока и Арктики и уполномоченными органами государственного финансового контроля.
Приложение N 18
к Государственной программе развития
сельского хозяйства и регулирования
рынков сельскохозяйственной продукции,
сырья и продовольствия
ПРАВИЛА
ПРЕДОСТАВЛЕНИЯ И РАСПРЕДЕЛЕНИЯ СУБСИДИЙ ИЗ ФЕДЕРАЛЬНОГО
БЮДЖЕТА БЮДЖЕТАМ СУБЪЕКТОВ РОССИЙСКОЙ ФЕДЕРАЦИИ
НА СТИМУЛИРОВАНИЕ РАЗВИТИЯ ВИНОГРАДАРСТВА И ВИНОДЕЛИЯ
1. Настоящие Правила устанавливают цели, условия и порядок предоставления и распределения субсидий из федерального бюджета бюджетам субъектов Российской Федерации в целях софинансирования расходных обязательств субъектов Российской Федерации, возникающих при реализации региональных проектов, направленных на реализацию федерального проекта "Стимулирование развития виноградарства и виноделия" Государственной программы развития сельского хозяйства и регулирования рынков сельскохозяйственной продукции, сырья и продовольствия, утвержденной постановлением Правительства Российской Федерации от 14 июля 2012 г. N 717 "О Государственной программе развития сельского хозяйства и регулирования рынков сельскохозяйственной продукции, сырья и продовольствия" (далее соответственно - федеральный проект, субсидия).
2. Понятия, используемые в настоящих Правилах, означают следующее:
"виноградный питомник" - виноградная школка, маточник корнесобственных лоз винограда либо виноградная школка, маточник подвойных и (или) привойных лоз винограда с прививочным комплексом, заложенный и возделываемый по специальной технологии в целях получения чистосортных, высококачественных черенков, используемых для выращивания саженцев винограда. Совокупность мероприятий, необходимых для создания виноградного питомника, содержится в разделе 2.3 национального стандарта Российской Федерации ГОСТ Р 52681-2006 "Виноградарство. Термины и определения", утвержденного приказом Федерального агентства по техническому регулированию и метрологии от 27 декабря 2006 г. N 452-ст и введенного в действие с 1 января 2008 г.;
"закладка виноградных насаждений" - создание виноградных насаждений для целей производства продукции виноградарства и продукции виноделия, а также для научных целей путем их высадки на землях или земельных участках, включающее в себя выполнение предшествующих высадке виноградных насаждений взаимосвязанных мероприятий по предпосадочной подготовке земель или земельных участков, производству и (или) приобретению саженцев, осуществлению мелиоративных мероприятий, установке шпалер;
"мелиоративные мероприятия" - проектирование, строительство, реконструкция, капитальный ремонт и эксплуатация мелиоративных систем и отдельно расположенных гидротехнических сооружений, создание агролесомелиоративных насаждений и агрофитомелиоративных насаждений, проведение культуртехнических работ, работ по улучшению химических и физических свойств почв;
"получатели средств" - субъекты виноградарства и виноделия, за исключением личных подсобных хозяйств;
"средства" - бюджетные ассигнования бюджета субъекта Российской Федерации, источником софинансирования которых является субсидия;
"субъекты виноградарства и виноделия" - виноградарские хозяйства и винодельческие хозяйства, а также научные организации, профессиональные образовательные организации, образовательные организации высшего образования, которые в процессе научной, научно-технической и (или) образовательной деятельности осуществляют производство продукции виноградарства и (или) продукции виноделия, первичную и последующую (промышленную) переработку этой продукции в соответствии с законодательством Российской Федерации.
3. Субсидии предоставляются в пределах лимитов бюджетных обязательств, доведенных до Министерства сельского хозяйства Российской Федерации как получателя средств федерального бюджета на предоставление субсидии на направления, указанные в пункте 4 настоящих Правил.
4. Средства предоставляются на финансовое обеспечение части затрат получателей средств и (или) на возмещение части затрат получателей средств, произведенных ими в году, предшествующем году получения субсидии, а также в текущем финансовом году:
а) на молодые виноградники возрастом до 4 лет включительно (за исключением мероприятий в целях ухода за виноградниками, предусмотренных подпунктом "в" настоящего пункта) по следующим направлениям:
обеспечение закладки виноградных насаждений;
приобретение получателями средств посадочного материала виноградных растений отечественного производства для закладки виноградных насаждений;
организация виноградных питомников, производящих посадочный материал виноградных растений, отвечающий требованиям, установленным Министерством сельского хозяйства Российской Федерации для каждой виноградо-винодельческой зоны, каждого виноградо-винодельческого района и каждого виноградо-винодельческого терруара;
создание инфраструктуры, включая селекционно-питомниководческие центры (за исключением создания объектов капитального строительства) с участием научных организаций, для производства посадочного материала виноградных растений высших категорий качества, обеспечения виноградных насаждений транспортной доступностью, водными ресурсами для организации систем орошения, проведения мелиоративных мероприятий и рекультивации виноградников;
применение (приобретение и внесение) удобрений и использование биологических и экологических технологий и методов возделывания виноградных насаждений, исключающих использование химических средств и иных веществ, оказывающих негативное воздействие на жизнь и здоровье человека и окружающую среду, в соответствии с Государственным каталогом пестицидов и агрохимикатов, разрешенных к применению на территории Российской Федерации;
приобретение и обновление (приобретение новых) основных средств (промышленной продукции, в том числе техники, транспортных средств) и оборудования (промышленной продукции, в том числе приборов и устройств), используемого для производства продукции виноградарства и винодельческой продукции, а также развитие промышленного производства основных технологических средств и оборудования, используемого для производства продукции виноградарства и винодельческой продукции. Перечень указанных техники, транспортных средств и оборудования определяется высшим исполнительным органом субъекта Российской Федерации или исполнительным органом субъекта Российской Федерации, уполномоченным высшим исполнительным органом субъекта Российской Федерации (далее - уполномоченный орган);
б) на виноградники в плодоносящем возрасте (за исключением мероприятий в целях ухода за виноградниками, предусмотренных подпунктом "в" настоящего пункта) по следующим направлениям:
организация виноградных питомников, производящих посадочный материал виноградных растений, отвечающий требованиям, установленным Министерством сельского хозяйства Российской Федерации для каждой виноградо-винодельческой зоны, каждого виноградо-винодельческого района и каждого виноградо-винодельческого терруара;
создание инфраструктуры, включая селекционно-питомниководческие центры (за исключением создания объектов капитального строительства) с участием научных организаций, для производства посадочного материала виноградных растений высших категорий качества, обеспечения виноградных насаждений транспортной доступностью, водными ресурсами для организации систем орошения, проведения мелиоративных мероприятий и рекультивации виноградников;
применение (приобретение и внесение) удобрений и использование биологических и экологических технологий и методов возделывания виноградных насаждений, исключающих использование химических средств и иных веществ, оказывающих негативное воздействие на жизнь и здоровье человека и окружающую среду, в соответствии с Государственным каталогом пестицидов и агрохимикатов, разрешенных к применению на территории Российской Федерации;
приобретение и обновление (приобретение новых) основных средств (промышленной продукции, в том числе техники, транспортных средств) и оборудования (промышленной продукции, в том числе приборов и устройств), используемого для производства продукции виноградарства и винодельческой продукции, а также развитие промышленного производства основных технологических средств и оборудования, используемого для производства продукции виноградарства и винодельческой продукции. Перечень указанных техники, транспортных средств и оборудования определяется высшим исполнительным органом субъекта Российской Федерации или уполномоченным органом;
в) на виноградники в целях обеспечения ухода за ними по следующим направлениям:
уходные работы в течение 4 лет с даты высадки виноградных насаждений, включая приобретение и установку шпалер, противоградной сетки, осуществление мелиоративных мероприятий, в том числе по установке систем ирригации и орошения, независимо от происхождения используемого посадочного материала. Перечень уходных работ за виноградниками утверждается Министерством сельского хозяйства Российской Федерации;
уход за виноградниками в плодоносящем возрасте, включая приобретение и установку шпалер, противоградной сетки, осуществление мелиоративных мероприятий, в том числе по установке систем ирригации и орошения, раскорчевку выбывших из эксплуатации виноградников и рекультивацию раскорчеванных площадей независимо от происхождения используемого посадочного материала.
5. Не допускается возмещения получателям средств затрат, указанных в пункте 4 настоящих Правил, в случае, если на те же цели им предоставляются средства в соответствии с иными нормативными правовыми актами, предусматривающими предоставление и распределение межбюджетных трансфертов из федерального бюджета бюджетам субъектов Российской Федерации.
Финансовое обеспечение (возмещение) части затрат получателей средств на приобретение основных средств и оборудования, которые указаны в абзаце седьмом подпункта "а" и абзаце пятом подпункта "б" пункта 4 настоящих Правил, осуществляется при наличии заключения о подтверждении производства промышленной продукции на территории Российской Федерации, выданного в соответствии с Правилами выдачи заключения о подтверждении производства промышленной продукции на территории Российской Федерации, утвержденными постановлением Правительства Российской Федерации от 17 июля 2015 г. N 719 "О подтверждении производства российской промышленной продукции", и действительного до окончания срока действия такого заключения, либо заключения об отнесении продукции к промышленной продукции, не имеющей произведенных в Российской Федерации аналогов, выданного в соответствии с Правилами отнесения продукции к промышленной продукции, не имеющей произведенных в Российской Федерации аналогов, утвержденными постановлением Правительства Российской Федерации от 20 сентября 2017 г. N 1135 "Об отнесении продукции к промышленной продукции, не имеющей произведенных в Российской Федерации аналогов, и внесении изменений в некоторые акты Правительства Российской Федерации".
Для получателей средств, использующих право на освобождение от исполнения обязанностей налогоплательщика, связанных с исчислением и уплатой налога на добавленную стоимость, финансовое обеспечение (возмещение) части затрат осуществляется исходя из суммы расходов на приобретение товаров (работ, услуг), включая сумму налога на добавленную стоимость.
Средства по направлениям, указанным в пункте 4 настоящих Правил, предоставляются получателям средств при условии документального подтверждения наличия у них прав пользования земельными участками, на которых осуществляется или планируется осуществлять производство продукции виноградарства и (или) винодельческой продукции.
Средства на возмещение части затрат по направлениям, указанным в пункте 4 настоящих Правил, предоставляются получателям средств при условии наличия паспортов виноградных насаждений, составленных и размещенных в соответствии с частями 5 и 6 статьи 12 Федерального закона "О виноградарстве и виноделии в Российской Федерации", содержащих сведения о виноградных насаждениях, в отношении которых были понесены затраты, предусмотренные пунктом 4 настоящих Правил.
Условием предоставления средств на финансовое обеспечение части затрат, указанных в пункте 4 настоящих Правил, является предоставление получателем средств по результатам проведенных мероприятий паспортов виноградных насаждений, составленных и размещенных в соответствии с частями 5 и 6 статьи 12 Федерального закона "О виноградарстве и виноделии в Российской Федерации", содержащих сведения о виноградных насаждениях, в отношении которых будут понесены затраты, предусмотренные пунктом 4 настоящих Правил.
6. По направлениям, указанным в пункте 4 настоящих Правил, средства предоставляются по ставкам для получателей средств, которые определяются высшим исполнительным органом субъекта Российской Федерации или уполномоченным органом.
При определении ставок устанавливается повышающий коэффициент на один гектар площади закладки виноградных насаждений, включая виноградные питомники:
для виноградных насаждений с плотностью посадки свыше 2222 растений на один гектар - не менее 1,4;
для виноградных насаждений с плотностью посадки свыше 3333 растений на один гектар - не менее 1,7;
для виноградных питомников - не менее 2;
для виноградных насаждений, в отношении которых получателями средств осуществляется страхование рисков утраты (гибели) урожая сельскохозяйственных культур и (или) утраты (гибели) посадок многолетних насаждений, - 1,15;
для виноградных насаждений, в отношении которых получателями средств осуществляется использование автохтонных (аборигенных) сортов при посадке виноградных насаждений, - не менее 1,3;
для виноградных насаждений, в целях возделывания которых используются земельные участки, в отношении которых внесены сведения в федеральный реестр виноградопригодных земель, - не менее 1,1;
для виноградных насаждений, в отношении которых получателями средств являются производители вина, крепленого вина и игристого вина, имеющие сертификат качества Федеральной саморегулируемой организации виноградарей и виноделов России и право на использование эмблем (знаков) "Вино России", "Коньяк России" в соответствии с пунктом 5 части 10 статьи 9 Федерального закона "О виноградарстве и виноделии в Российской Федерации", - не менее 1,2.
7. Предоставление субсидии осуществляется на основании соглашения о предоставлении субсидии, подготавливаемого (формируемого) и заключаемого с использованием государственной интегрированной информационной системы управления общественными финансами "Электронный бюджет" в соответствии с типовой формой, утвержденной Министерством финансов Российской Федерации (далее - соглашение).
8. Субсидии предоставляются бюджетам субъектов Российской Федерации при соблюдении следующих условий:
а) наличие правовых актов субъекта Российской Федерации, предусматривающих перечень мероприятий (результатов), при реализации которых возникают расходные обязательства субъекта Российской Федерации, в целях софинансирования которых предоставляются субсидии;
б) наличие в бюджете субъекта Российской Федерации бюджетных ассигнований на исполнение расходного обязательства субъекта Российской Федерации, софинансирование которого осуществляется из федерального бюджета, в объеме, необходимом для его исполнения;
в) заключение между Министерством сельского хозяйства Российской Федерации и высшим исполнительным органом субъекта Российской Федерации соглашения в соответствии с пунктом 10 Правил формирования, предоставления и распределения субсидий из федерального бюджета бюджетам субъектов Российской Федерации, утвержденных постановлением Правительства Российской Федерации от 30 сентября 2014 г. N 999 "О формировании, предоставлении и распределении субсидий из федерального бюджета бюджетам субъектов Российской Федерации" (далее - Правила формирования субсидий).
9. В случае отсутствия в текущем финансовом году у субъектов Российской Федерации потребности в субсидиях на реализацию направлений, указанных в пункте 4 настоящих Правил, высвобождающиеся бюджетные ассигнования перераспределяются по решению Правительства Российской Федерации.
В случае выделения в текущем финансовом году из федерального бюджета дополнительных бюджетных ассигнований на предоставление субсидий в соответствии с настоящими Правилами их распределение осуществляется между субъектами Российской Федерации, имеющими дополнительную потребность в субсидиях, пропорционально удельному весу дополнительной потребности субъекта Российской Федерации в субсидии в общем объеме дополнительной потребности субъектов Российской Федерации в субсидиях сверх размеров субсидии, рассчитанных в соответствии с настоящими Правилами, с установлением результатов их использования.
Информация о дополнительной потребности в субсидиях формируется на основании письменных обращений высших исполнительных органов субъектов Российской Федерации или уполномоченных органов, направленных в Министерство сельского хозяйства Российской Федерации.
Объем предоставляемой бюджету субъекта Российской Федерации субсидии не может быть больше заявленной субъектом Российской Федерации дополнительной потребности в субсидии.
10. Критерием отбора субъектов Российской Федерации для предоставления субсидии является факт реализации федерального проекта на территории субъекта Российской Федерации в соответствующем финансовом году.
11. Размер субсидии, предоставляемой бюджету i-го субъекта Российской Федерации, на территории которого осуществляется реализация федерального проекта, в соответствующем финансовом году (Wi), определяется по формуле:
![]()
где:
W - объем бюджетных ассигнований, предусмотренных в федеральном бюджете на предоставление субсидии на соответствующий финансовый год;
ai - доля i-го субъекта Российской Федерации в плановых показателях развития виноградарства и виноделия.
12. Доля i-го субъекта Российской Федерации в плановых показателях развития виноградарства и виноделия (ai) определяется по формуле:

где:
DSpli - доля плановой площади виноградных насаждений в плодоносящем возрасте в i-м субъекте Российской Федерации на соответствующий финансовый год в общей плановой площади виноградных насаждений в плодоносящем возрасте на соответствующий финансовый год, определяемая по формуле:

где:
ki - коэффициент увеличения показателя i-го субъекта Российской Федерации. Для Республики Крым и г. Севастополя значение коэффициента равно 1,5, для других субъектов Российской Федерации - 1;
PSpli - плановые показатели на соответствующий финансовый год размера площади виноградных насаждений в плодоносящем возрасте у получателей средств в i-м субъекте Российской Федерации на основании представленных в Министерство сельского хозяйства Российской Федерации по форме и в срок, которые устанавливаются Министерством сельского хозяйства Российской Федерации, данных субъектов Российской Федерации, на территориях которых осуществляется реализация федерального проекта, на соответствующий финансовый год;
DSzi - доля плановой площади закладки виноградных насаждений на соответствующий финансовый год в i-м субъекте Российской Федерации в общей плановой площади закладки виноградных насаждений на соответствующий финансовый год, определяемая по формуле:

где PSzi - плановые показатели на соответствующий финансовый год размера площади закладки виноградных насаждений у получателей средств в i-м субъекте Российской Федерации на основании представленных в Министерство сельского хозяйства Российской Федерации по форме и в срок, которые устанавливаются Министерством сельского хозяйства Российской Федерации, данных субъектов Российской Федерации, на территориях которых осуществляется реализация федерального проекта, на соответствующий финансовый год;
DShi - доля плановой площади уходных работ на винограднике на соответствующий финансовый год в i-м субъекте Российской Федерации в общей плановой площади уходных работ на винограднике на соответствующий финансовый год, определяемая по формуле:

где PShi - плановые показатели на соответствующий финансовый год размера площади уходных работ на винограднике у получателей средств в i-м субъекте Российской Федерации на основании представленных в Министерство сельского хозяйства Российской Федерации по форме и в срок, которые устанавливаются Министерством сельского хозяйства Российской Федерации, данных субъектов Российской Федерации, на территориях которых осуществляется реализация федерального проекта, на соответствующий финансовый год;
Yi - предельный уровень софинансирования расходного обязательства i-го субъекта Российской Федерации из федерального бюджета на очередной финансовый год (в процентах), определяемый в соответствии с пунктом 13 Правил формирования субсидий;
n - количество субъектов Российской Федерации, на территориях которых осуществляется реализация федерального проекта на соответствующий финансовый год.
13. Перечисление субсидий осуществляется в установленном порядке на единые счета бюджетов, открытые финансовым органам субъектов Российской Федерации в территориальных органах Федерального казначейства.
14. Уполномоченный орган представляет в Министерство сельского хозяйства Российской Федерации следующие документы:
а) выписка из закона субъекта Российской Федерации о бюджете субъекта Российской Федерации (сводной бюджетной росписи бюджета субъекта Российской Федерации), подтверждающая наличие утвержденных в бюджете субъекта Российской Федерации бюджетных ассигнований на финансовое обеспечение указанных в пункте 1 настоящих Правил расходных обязательств субъекта Российской Федерации, в целях софинансирования которых бюджету субъекта Российской Федерации предоставляется субсидия, - не позднее 30 дней со дня заключения соглашения;
б) документ, содержащий информацию об использовании средств, с приложением перечня получателей средств - по форме и в срок, установленные Министерством сельского хозяйства Российской Федерации;
в) отчет о финансово-экономическом состоянии товаропроизводителей агропромышленного комплекса - по форме и в срок, установленные Министерством сельского хозяйства Российской Федерации;
г) отчетность о достижении значений результатов использования субсидии и об обязательствах, принятых в целях их достижения, подготавливаемая (формируемая) с использованием государственной интегрированной информационной системы управления общественными финансами "Электронный бюджет", - в порядке и сроки, установленные соглашением;
д) отчет об эффективности использования субсидии - по форме и в срок, установленные Министерством сельского хозяйства Российской Федерации;
е) отчетность об осуществлении расходов бюджета субъекта Российской Федерации, в целях софинансирования которых предоставляется субсидия, подготавливаемая (формируемая) с использованием государственной интегрированной информационной системы управления общественными финансами "Электронный бюджет", - в порядке и сроки, установленные соглашением.
15. Результатами использования субсидии являются:
сохранена площадь виноградных насаждений в плодоносящем возрасте у получателей средств (тыс. гектаров);
осуществлена закладка виноградников у получателей средств (тыс. гектаров);
проведены уходные работы на винограднике у получателей средств (тыс. гектаров).
Результаты, указанные в абзацах втором и третьем настоящего пункта, подтверждаются данными федерального реестра виноградных насаждений.
16. Оценка эффективности использования субсидии по результатам использования субсидии, предусмотренным пунктом 15 настоящих Правил, осуществляется на основании отчета об эффективности использования субсидии, представляемого уполномоченным органом в Министерство сельского хозяйства Российской Федерации, который формируется на основании данных, представляемых получателями средств в уполномоченный орган в отчетах.
17. Эффективность использования субсидии оценивается ежегодно Министерством сельского хозяйства Российской Федерации на основании интегральной оценки достижения значений результатов использования субсидии, установленных соглашением i-му субъекту Российской Федерации, и отчетности о достижении значений результатов использования субсидии и об обязательствах, принятых в целях их достижения.
Эффективность использования субсидии оценивается на основании достижения значений результатов использования субсидии, установленных соглашением i-му субъекту Российской Федерации, исходя из индекса, отражающего уровень достижения j-го результата использования субсидии (Эj), определяемого по формуле:
![]()
где:
Хфj - фактическое значение j-го результата использования субсидии по итогам отчетного финансового года;
Хпj - плановое значение j-го результата использования субсидии за отчетный финансовый год.
Интегральная оценка достижения результатов использования субсидии осуществляется на основании интегрального результата эффективности использования субсидии (Э), определяемого по формуле:

где p - количество результатов использования субсидии, установленных соглашением, значения которых больше 0.
В случае если индекс, отражающий уровень достижения j-го результата использования субсидии (Эj), составляет более 100 процентов, при расчете интегрального результата эффективности использования субсидии (Э) применяется значение, равное 100 процентам.
Использование субсидии считается эффективным в случае, если значение интегрального результата эффективности использования субсидии (Э) достигает 100 процентов.
18. В случае если при формировании проекта федерального закона о федеральном бюджете на очередной финансовый год и плановый период субъектом Российской Федерации до 10 августа текущего финансового года представлено в Министерство сельского хозяйства Российской Федерации обращение, содержащее информацию об отсутствии частичной или полной потребности в субсидии, бюджетные ассигнования на предоставление субсидии такому субъекту Российской Федерации распределяются между другими субъектами Российской Федерации, имеющими право на получение субсидии в соответствии с настоящими Правилами.
19. Порядок и условия возврата средств из бюджета субъекта Российской Федерации в федеральный бюджет в случае нарушения субъектом Российской Федерации обязательств, предусмотренных соглашением, в том числе касающихся достижения значений результов использования субсидии, а также основания для освобождения субъекта Российской Федерации от применения мер ответственности за нарушение указанных обязательств установлены пунктами 16 - 18 и 20 Правил формирования субсидий.
20. В случае нарушения целей, установленных при предоставлении субсидии, применяются бюджетные меры принуждения, предусмотренные бюджетным законодательством Российской Федерации.
21. Ответственность за достоверность представляемых Министерству сельского хозяйства Российской Федерации сведений возлагается на уполномоченный орган и высший исполнительный орган субъекта Российской Федерации.
22. Контроль за соблюдением субъектами Российской Федерации условий предоставления субсидий осуществляется Министерством сельского хозяйства Российской Федерации и уполномоченными органами государственного финансового контроля.
Приложение N 19
к Государственной программе развития
сельского хозяйства и регулирования
рынков сельскохозяйственной продукции,
сырья и продовольствия
ПРАВИЛА
ПРЕДОСТАВЛЕНИЯ И РАСПРЕДЕЛЕНИЯ СУБСИДИЙ ИЗ ФЕДЕРАЛЬНОГО
БЮДЖЕТА БЮДЖЕТАМ ДОНЕЦКОЙ НАРОДНОЙ РЕСПУБЛИКИ, ЛУГАНСКОЙ
НАРОДНОЙ РЕСПУБЛИКИ, ЗАПОРОЖСКОЙ ОБЛАСТИ И ХЕРСОНСКОЙ
ОБЛАСТИ НА ПОДДЕРЖКУ СЕЛЬСКОХОЗЯЙСТВЕННОГО ПРОИЗВОДСТВА
ПО ОТДЕЛЬНЫМ ПОДОТРАСЛЯМ РАСТЕНИЕВОДСТВА, ЖИВОТНОВОДСТВА
И ПЕРЕРАБАТЫВАЮЩЕЙ ПРОМЫШЛЕННОСТИ
1. Настоящие Правила устанавливают цели, условия и порядок предоставления и распределения субсидий из федерального бюджета бюджетам Донецкой Народной Республики, Луганской Народной Республики, Запорожской области и Херсонской области (далее - субъекты Российской Федерации) в целях софинансирования расходных обязательств субъектов Российской Федерации, возникающих при реализации мероприятий по поддержке сельскохозяйственного производства по отдельным подотраслям растениеводства, животноводства и перерабатывающей промышленности в субъектах Российской Федерации в рамках федерального проекта "Развитие отраслей и техническая модернизация агропромышленного комплекса" Государственной программы развития сельского хозяйства и регулирования рынков сельскохозяйственной продукции, сырья и продовольствия, утвержденной постановлением Правительства Российской Федерации от 14 июля 2012 г. N 717 "О Государственной программе развития сельского хозяйства и регулирования рынков сельскохозяйственной продукции, сырья и продовольствия" (далее - субсидии).
2. Используемые в настоящих Правилах понятия означают следующее:
"агротехнологические работы" - комплекс мероприятий по обработке почв, внесению удобрений (включая стоимость удобрений), подготовке семян, посеву (включая стоимость семян), уходу за посевами, а также по уборке урожая;
"научные и образовательные организации" - научные организации, профессиональные образовательные организации, образовательные организации высшего образования, которые в процессе научной, научно-технической и (или) образовательной деятельности осуществляют производство сельскохозяйственной продукции, ее первичную и последующую (промышленную) переработку в соответствии с перечнем, указанным в части 1 статьи 3 Федерального закона "О развитии сельского хозяйства";
"средства" - бюджетные ассигнования бюджета субъекта Российской Федерации, источником софинансирования которых является субсидия;
"хлеб и хлебобулочные изделия" - хлеб недлительного хранения, булочные изделия недлительного хранения, изделия хлебобулочные для детского питания (со сроком годности менее 5 суток) (коды продукции в соответствии с Общероссийским классификатором продукции по видам экономической деятельности (ОКПД 2) - 10.71.11.110, 10.71.11.120, 10.86.10.700).
3. Субсидии предоставляются в целях софинансирования расходных обязательств субъектов Российской Федерации по финансовому обеспечению (возмещению) части затрат (без учета налога на добавленную стоимость) получателей средств, указанных в пункте 7 настоящих Правил, понесенных ими при реализации направлений, указанных в пункте 5 настоящих Правил. Средства предоставляются на финансовое обеспечение части затрат, понесенных указанными получателями средств в текущем финансовом году, а также на возмещение части затрат, понесенных указанными получателями средств в текущем финансовом году и (или) финансовом году, предшествующем текущему финансовому году.
Для получателей средств, указанных в пункте 7 настоящих Правил, использующих право на освобождение от исполнения обязанностей налогоплательщика, связанных с исчислением и уплатой налога на добавленную стоимость, финансовое обеспечение (возмещение) части их затрат осуществляется исходя из суммы расходов на приобретение товаров (работ, услуг), включая сумму налога на добавленную стоимость.
4. Субсидии предоставляются в пределах лимитов бюджетных обязательств, доведенных в установленном порядке до Министерства сельского хозяйства Российской Федерации как получателя средств федерального бюджета на предоставление субсидии на цели, указанные в пункте 3 настоящих Правил.
5. Средства предоставляются на финансовое обеспечение (возмещение) части затрат по следующим направлениям поддержки сельскохозяйственного производства и перерабатывающей промышленности:
а) проведение агротехнологических работ - по ставке на 1 гектар посевной площади, занятой зерновыми, зернобобовыми, масличными (за исключением рапса и сои), кормовыми сельскохозяйственными культурами;
б) производство картофеля и овощей - по ставке на 1 тонну произведенных картофеля и овощей открытого грунта;
в) производство молока - по ставке на 1 килограмм реализованного и (или) отгруженного на собственную переработку коровьего и (или) козьего молока;
г) производство и реализация хлеба и хлебобулочных изделий - по ставке на 1 тонну произведенных и реализованных хлеба и хлебобулочных изделий;
д) переработка молока сырого крупного рогатого скота, козьего и овечьего на пищевую продукцию - по ставке на 1 тонну переработанного на пищевую продукцию молока сырого крупного рогатого скота, козьего и овечьего (в физическом весе);
е) переработка мяса сельскохозяйственных животных и птицы, а также прочих продуктов убоя на пищевую продукцию - по ставке на 1 тонну мяса сырого сельскохозяйственных животных и птиц, а также прочих продуктов убоя, переработанных на пищевую продукцию.
6. Ставки по направлениям, указанным в пункте 5 настоящих Правил, определяются высшим исполнительным органом субъекта Российской Федерации или исполнительным органом субъекта Российской Федерации, уполномоченным высшим исполнительным органом субъекта Российской Федерации (далее - уполномоченный орган), исходя из необходимости достижения результатов использования субсидий, предусмотренных пунктом 33 настоящих Правил.
7. Средства по направлениям, указанным в пункте 5 настоящих Правил, предоставляются следующим категориям получателей средств:
а) сельскохозяйственные товаропроизводители (за исключением граждан, ведущих личное подсобное хозяйство, и сельскохозяйственных кредитных потребительских кооперативов) - по направлениям, указанным в подпунктах "а" - "в" пункта 5 настоящих Правил;
б) научные и образовательные организации - по направлению, указанному в подпункте "в" пункта 5 настоящих Правил;
в) организации и индивидуальные предприниматели, осуществляющие первичную и (или) последующую (промышленную) переработку сельскохозяйственной продукции, а именно производство хлеба и хлебобулочных изделий (коды видов экономической деятельности в соответствии с Общероссийским классификатором видов экономической деятельности (ОК 029-2014 (КДЕС Ред. 2) - 10.71.1, 10.86.9), - по направлению, указанному в подпункте "г" пункта 5 настоящих Правил;
г) организации и индивидуальные предприниматели, осуществляющие производство и (или) первичную и (или) последующую (промышленную) переработку молока сырого крупного рогатого скота, козьего и овечьего на пищевую продукцию (коды видов экономической деятельности в соответствии с Общероссийским классификатором видов экономической деятельности (ОК 029-2014 (КДЕС Ред. 2) - 10.5, 10.86.1), - по направлению, указанному в подпункте "д" пункта 5 настоящих Правил;
д) организации и индивидуальные предприниматели, осуществляющие производство и (или) первичную и (или) последующую (промышленную) переработку мяса сырого сельскохозяйственных животных и птицы, а также прочих продуктов убоя для производства пищевой продукции (коды видов экономической деятельности в соответствии с Общероссийским классификатором видов экономической деятельности (ОК 029-2014 (КДЕС Ред. 2) - 10.13, 10.86.3), - по направлению, указанному в подпункте "е" пункта 5 настоящих Правил.
8. Средства предоставляются получателям средств, указанным в пункте 7 настоящих Правил:
а) по направлениям, указанным в подпунктах "а" - "е" пункта 5 настоящих Правил, при условии принятия получателем средств обязательств по достижению в году получения средств результатов использования средств в соответствии с заключенным между уполномоченным органом и получателем средств соглашением;
б) по направлениям, указанным в подпунктах "а" - "в" пункта 5 настоящих Правил, при условии отсутствия в году, предшествующем году получения субсидии, случаев привлечения к ответственности получателя средств за несоблюдение запрета на выжигание сухой травянистой растительности, стерни, пожнивных остатков (за исключением рисовой соломы) на землях сельскохозяйственного назначения, установленного Правилами противопожарного режима в Российской Федерации, утвержденными постановлением Правительства Российской Федерации от 16 сентября 2020 г. N 1479 "Об утверждении Правил противопожарного режима в Российской Федерации";
в) по направлению, указанному в подпункте "в" пункта 5 настоящих Правил, при следующих условиях:
наличие у получателя средств поголовья коров и (или) коз на 1-е число месяца, в котором он обратился в уполномоченный орган за получением средств;
подтверждение информации об объеме реализованного молока данными, содержащимися в ветеринарных сопроводительных документах, оформленных в электронной форме с использованием Федеральной государственной информационной системы в области ветеринарии (по решению субъекта Российской Федерации);
г) по направлениям, указанным в подпунктах "а" и "б" пункта 5 настоящих Правил, начиная с 1 января 2026 г., при следующих условиях:
наличие у получателя средств прав пользования земельными участками, на которых осуществляется или планируется осуществлять сельскохозяйственное производство (документальное подтверждение);
использование семян и посадочного материала сельскохозяйственных культур, сорта или гибриды которых внесены в Государственный реестр сортов и гибридов сельскохозяйственных растений, допущенных к использованию.
9. Субсидии предоставляются субъектам Российской Федерации при соблюдении следующих условий:
а) наличие нормативного правового акта субъекта Российской Федерации, утверждающего перечень мероприятий (результатов), при реализации которых возникают расходные обязательства субъекта Российской Федерации, в целях софинансирования которых предоставляется субсидия, в соответствии с требованиями нормативных правовых актов Российской Федерации;
б) наличие в бюджете субъекта Российской Федерации бюджетных ассигнований на исполнение расходного обязательства субъекта Российской Федерации, софинансирование которого осуществляется из федерального бюджета, в объеме, необходимом для его исполнения;
в) заключение между Министерством сельского хозяйства Российской Федерации и высшим исполнительным органом субъекта Российской Федерации соглашения о предоставлении субсидии из федерального бюджета бюджету субъекта Российской Федерации в соответствии с пунктом 10 Правил формирования, предоставления и распределения субсидий из федерального бюджета бюджетам субъектов Российской Федерации, утвержденных постановлением Правительства Российской Федерации от 30 сентября 2014 г. N 999 "О формировании, предоставлении и распределении субсидий из федерального бюджета бюджетам субъектов Российской Федерации" (далее соответственно - Правила формирования субсидий, соглашение о предоставлении субсидии).
10. Критерием отбора субъектов Российской Федерации для предоставления субсидий является наличие нормативного правового акта субъекта Российской Федерации, предусматривающего предоставление средств из бюджета субъекта Российской Федерации получателям средств, указанным в пункте 7 настоящих Правил.
11. Предоставление субсидии осуществляется на основании соглашения о предоставлении субсидии, заключаемого с использованием государственной интегрированной информационной системы управления общественными финансами "Электронный бюджет" в соответствии с типовой формой, утвержденной Министерством финансов Российской Федерации.
12. Размер субсидии, предоставляемой бюджету i-го субъекта Российской Федерации в соответствующем финансовом году (Wi), определяется по формуле:
Wi = W1i + W2i + W3i + W4i + W5i + W6i,
где:
W1i - размер субсидии, предоставляемой бюджету i-го субъекта Российской Федерации по направлению, указанному в подпункте "а" пункта 5 настоящих Правил;
W2i - размер субсидии, предоставляемой бюджету i-го субъекта Российской Федерации по направлению, указанному в подпункте "б" пункта 5 настоящих Правил;
W3i - размер субсидии, предоставляемой бюджету i-го субъекта Российской Федерации по направлению, указанному в подпункте "в" пункта 5 настоящих Правил;
W4i - размер субсидии, предоставляемой бюджету i-го субъекта Российской Федерации по направлению, указанному в подпункте "г" пункта 5 настоящих Правил;
W5i - размер субсидии, предоставляемой бюджету i-го субъекта Российской Федерации по направлению, указанному в подпункте "д" пункта 5 настоящих Правил;
W6i - размер субсидии, предоставляемой бюджету i-го субъекта Российской Федерации по направлению, указанному в подпункте "е" пункта 5 настоящих Правил.
13. Размер субсидии, предоставляемой бюджету i-го субъекта Российской Федерации по направлению, указанному в подпункте "а" пункта 5 настоящих Правил (W1i), рассчитывается по формуле:

где:
W - объем бюджетных ассигнований, предусмотренный в федеральном бюджете на предоставление субсидии на соответствующий финансовый год;
D1i - доля i-го субъекта Российской Федерации в плановом показателе размера посевных площадей, занятых зерновыми, зернобобовыми, масличными (за исключением рапса и сои), кормовыми сельскохозяйственными культурами в соответствующем финансовом году, рассчитываемая на основании данных, представленных уполномоченными органами в Министерство сельского хозяйства Российской Федерации;
n - количество субъектов Российской Федерации;
Yi - предельный уровень софинансирования расходного обязательства i-го субъекта Российской Федерации из федерального бюджета на очередной финансовый год (в процентах), определяемый в соответствии с пунктом 13 Правил формирования субсидий.
14. Доля i-го субъекта Российской Федерации в плановом показателе размера посевных площадей, занятых зерновыми, зернобобовыми, масличными (за исключением рапса и сои), кормовыми сельскохозяйственными культурами в соответствующем финансовом году, рассчитываемая на основании данных, представленных уполномоченными органами в Министерство сельского хозяйства Российской Федерации (D1i), рассчитывается по формуле:

где Sплi - плановый размер посевных площадей, занятых зерновыми, зернобобовыми, масличными (за исключением рапса и сои), кормовыми сельскохозяйственными культурами в соответствующем финансовом году у получателей средств, указанных в пункте 7 настоящих Правил, в i-м субъекте Российской Федерации.
15. Размер субсидии, предоставляемой бюджету i-го субъекта Российской Федерации по направлению, указанному в подпункте "б" пункта 5 настоящих Правил (W2i), рассчитывается по формуле:

где D2овкi - доля i-го субъекта Российской Федерации в плановых показателях производства картофеля и овощей открытого грунта на соответствующий финансовой год, рассчитываемая на основании данных, представленных уполномоченными органами в Министерство сельского хозяйства Российской Федерации.
16. Доля i-го субъекта Российской Федерации в плановых показателях производства картофеля и овощей открытого грунта на соответствующий финансовый год, рассчитываемая на основании данных, представленных уполномоченными органами в Министерство сельского хозяйства Российской Федерации (D2овкi), рассчитывается по формуле:

где:
Vовi - плановый объем производства овощей открытого грунта у получателей средств, указанных в пункте 7 настоящих Правил, в соответствующем финансовом году в i-м субъекте Российской Федерации;
Vкi - плановый объем производства картофеля у получателей средств, указанных в пункте 7 настоящих Правил, в соответствующем финансовом году в i-м субъекте Российской Федерации.
17. Размер субсидии, предоставляемой бюджету i-го субъекта Российской Федерации по направлению, указанному в подпункте "в" пункта 5 настоящих Правил (W3i), рассчитывается по формуле:

где D3i - доля i-го субъекта Российской Федерации в плановом показателе производства молока на соответствующий финансовый год, рассчитываемая на основании данных, представленных уполномоченными органами в Министерство сельского хозяйства Российской Федерации.
18. Доля i-го субъекта Российской Федерации в плановом показателе производства молока на соответствующий финансовый год, рассчитываемая на основании данных, представленных уполномоченными органами в Министерство сельского хозяйства Российской Федерации (D3i), рассчитывается по формуле:

где Vмолi - плановый объем производства молока у получателей средств, указанных в пункте 7 настоящих Правил, на соответствующий финансовый год в i-м субъекте Российской Федерации.
19. Размер субсидии, предоставляемой бюджету i-го субъекта Российской Федерации по направлению, указанному в подпункте "г" пункта 5 настоящих Правил (W4i), рассчитывается по формуле:

где D4i - доля i-го субъекта Российской Федерации в плановых показателях производства и реализации хлеба и хлебобулочных изделий на соответствующий финансовый год, рассчитываемая на основании данных, представленных уполномоченными органами в Министерство сельского хозяйства Российской Федерации.
20. Доля i-го субъекта Российской Федерации в плановых показателях производства и реализации хлеба и хлебобулочных изделий на соответствующий финансовый год, рассчитываемая на основании данных, представленных уполномоченными органами в Министерство сельского хозяйства Российской Федерации (D4i), рассчитывается по формуле:

где V4i - плановый объем производства и реализации хлеба и хлебобулочных изделий получателями средств, указанными в пункте 7 настоящих Правил, на соответствующий финансовый год в i-м субъекте Российской Федерации.
21. Размер субсидии, предоставляемой бюджету i-го субъекта Российской Федерации по направлению, указанному в подпункте "д" пункта 5 настоящих Правил (W5i), рассчитывается по формуле:

где D5i - доля i-го субъекта Российской Федерации в плановых показателях объема молока сырого крупного рогатого скота, козьего и овечьего, переработанного на пищевую продукцию получателями средств, указанными в пункте 7 настоящих Правил, на соответствующий финансовый год, рассчитываемая на основании данных, представленных уполномоченными органами в Министерство сельского хозяйства Российской Федерации.
22. Доля i-го субъекта Российской Федерации в плановых показателях объема молока сырого крупного рогатого скота, козьего и овечьего, переработанного на пищевую продукцию получателями средств, указанными в пункте 7 настоящих Правил, на соответствующий финансовый год, рассчитываемая на основании данных, представленных уполномоченными органами в Министерство сельского хозяйства Российской Федерации (D5i), рассчитывается по формуле:

где V5i - плановый объем молока сырого крупного рогатого скота, козьего и овечьего, переработанного на пищевую продукцию получателями средств, указанными в пункте 7 настоящих Правил, на соответствующий финансовый год в i-м субъекте Российской Федерации.
23. Размер субсидии, предоставляемой бюджету i-го субъекта Российской Федерации по направлению, указанному в подпункте "е" пункта 5 настоящих Правил (W6i), рассчитывается по формуле:

где D6i - доля i-го субъекта Российской Федерации в плановых показателях объема мяса сырого сельскохозяйственных животных и птицы, а также прочих продуктов убоя, переработанных на пищевую продукцию, на соответствующий финансовый год, рассчитываемая на основании данных, представленных уполномоченными органами в Министерство сельского хозяйства Российской Федерации.
24. Доля i-го субъекта Российской Федерации в плановых показателях объема мяса сырого сельскохозяйственных животных и птицы, а также прочих продуктов убоя, переработанных на пищевую продукцию, на соответствующий финансовый год, рассчитываемая на основании данных, представленных уполномоченными органами в Министерство сельского хозяйства Российской Федерации (D6i), рассчитывается по формуле:

где V6i - плановый объем мяса сырого сельскохозяйственных животных и птицы, а также прочих продуктов убоя, переработанных на пищевую продукцию получателями средств, указанными в пункте 7 настоящих Правил, на соответствующий финансовый год в i-м субъекте Российской Федерации.
25. Данные для расчета размера субсидий, указанные в пунктах 12 - 24 настоящих Правил, представляются уполномоченными органами в Министерство сельского хозяйства Российской Федерации по форме и в сроки, указанные в письме Министерства сельского хозяйства Российской Федерации о представлении информации в рамках проводимой работы по подготовке проекта федерального бюджета на очередной финансовый год и плановый период, направленном в адрес уполномоченных органов.
26. Объем бюджетных ассигнований, предусмотренных в бюджете субъекта Российской Федерации на исполнение расходного обязательства субъекта Российской Федерации, в целях софинансирования которого предоставляется субсидия, может быть увеличен в одностороннем порядке субъектом Российской Федерации, что не влечет обязательств Российской Федерации по увеличению размера субсидии.
27. В случае выделения в текущем финансовом году из федерального бюджета дополнительных бюджетных ассигнований на предоставление субсидий в соответствии с настоящими Правилами их распределение осуществляется между субъектами Российской Федерации, имеющими дополнительную потребность в субсидиях, пропорционально удельному весу дополнительной потребности субъекта Российской Федерации в субсидии по каждому направлению, указанному в пункте 5 настоящих Правил, в общем объеме дополнительной потребности субъектов Российской Федерации в субсидиях по каждому направлению, указанному в пункте 5 настоящих Правил, с установлением результатов их использования.
Информация о дополнительной потребности в субсидиях формируется на основании письменных обращений уполномоченных органов в адрес Министерства сельского хозяйства Российской Федерации.
Размер предоставляемой в соответствии с абзацем первым настоящего пункта бюджету субъекта Российской Федерации субсидии не может быть больше заявленной субъектом Российской Федерации дополнительной потребности в такой субсидии.
28. В случае отсутствия в текущем финансовом году у субъектов Российской Федерации потребности в субсидии невостребованный объем субсидии перераспределяется между субъектами Российской Федерации, имеющими право на получение субсидии, пропорционально удельному весу дополнительной потребности субъекта Российской Федерации в субсидии в общем объеме дополнительной потребности субъектов Российской Федерации в субсидиях в соответствии с настоящими Правилами и бюджетным законодательством Российской Федерации.
Информация об отсутствии потребности в субсидиях формируется на основании письменных обращений уполномоченных органов в Министерство сельского хозяйства Российской Федерации.
Объем предоставляемой в соответствии с абзацем первым настоящего пункта бюджету субъекта Российской Федерации субсидии не может быть больше заявленной субъектом Российской Федерации дополнительной потребности в субсидии.
29. Перечисление субсидий осуществляется в установленном порядке на единые счета бюджетов, открытые финансовым органам субъектов Российской Федерации в территориальных органах Федерального казначейства.
30. Уполномоченный орган представляет в Министерство сельского хозяйства Российской Федерации следующие документы:
документ, содержащий информацию об использовании средств бюджета субъекта Российской Федерации, в целях софинансирования расходных обязательств которого предоставляются субсидии, с приложением перечня получателей средств, указанных в пункте 7 настоящих Правил, - ежеквартально, не позднее 10-го числа месяца, следующего за отчетным кварталом;
отчет о финансово-экономическом состоянии товаропроизводителей агропромышленного комплекса - по форме и в срок, которые устанавливаются Министерством сельского хозяйства Российской Федерации;
отчетность об осуществлении расходов бюджета субъекта Российской Федерации, в целях софинансирования которых предоставляется субсидия, а также о достижении значений результатов использования субсидии, указанных в пункте 33 настоящих Правил, подготавливаемую (формируемую) с использованием государственной интегрированной информационной системы управления общественными финансами "Электронный бюджет", - по форме и в сроки, установленные соглашением о предоставлении субсидии.
31. Эффективность использования субсидии оценивается ежегодно Министерством сельского хозяйства Российской Федерации по итогам отчетного финансового года на основании интегральной оценки достижения значений результатов использования субсидии, установленных соглашением о предоставлении субсидии, исходя из индекса, отражающего уровень достижения j-го результата использования субсидии (Эj), определяемого по формуле:
![]()
где:
Хфj - фактическое значение j-го результата использования субсидии по итогам отчетного финансового года, указанное в отчете о достижении значений результатов использования субсидии;
Хпj - плановое значение j-го результата использования субсидии за отчетный финансовый год, установленное соглашением о предоставлении субсидии.
32. Интегральная оценка достижения значений результатов использования субсидии осуществляется на основании интегрального результата эффективности использования субсидий (Э), определяемого по формуле:
![]()
где k - количество результатов использования субсидии, установленных соглашением о предоставлении субсидии, значения которых больше 0.
При расчете интегрального результата эффективности использования субсидий в случае, если индекс, отражающий достижение j-го результата использования субсидии, составляет более 100 процентов, то применяется его значение, равное 100 процентам.
Использование субсидии считается эффективным в случае, если значение интегрального результата эффективности использования субсидий достигает 100 процентов.
33. Для оценки эффективности использования субсидии применяются следующие результаты использования субсидии, сформированные по категориям получателей средств, указанных в пункте 7 настоящих Правил:
по направлению, указанному в подпункте "а" пункта 5 настоящих Правил, - посеяно зерновых, зернобобовых, масличных (за исключением рапса и сои) и кормовых сельскохозяйственных культур (тыс. гектаров);
по направлению, указанному в подпункте "б" пункта 5 настоящих Правил, - произведено овощей и картофеля (тыс. тонн);
по направлению, указанному в подпункте "в" пункта 5 настоящих Правил, - произведено молока (тыс. тонн);
по направлению, указанному в подпункте "г" пункта 5 настоящих Правил, - произведено и реализовано хлеба и хлебобулочных изделий (тыс. тонн);
по направлению, указанному в подпункте "д" пункта 5 настоящих Правил, - переработано на пищевую продукцию молока сырого крупного рогатого скота, козьего и овечьего (тыс. тонн);
по направлению, указанному в подпункте "е" пункта 5 настоящих Правил, - переработано на пищевую продукцию мяса сырого сельскохозяйственных животных и птиц, а также прочих продуктов убоя на пищевую продукцию (тыс. тонн).
34. Возврат субъектами Российской Федерации средств из бюджета субъекта Российской Федерации в доход федерального бюджета в случае нарушения обязательств, предусмотренных соглашением о предоставлении субсидий, в части, касающейся достижения результатов использования субсидии, включая порядок расчета размера средств, подлежащих возврату, сроки возврата и основания для освобождения субъектов Российской Федерации от применения мер ответственности за нарушение указанных обязательств, осуществляется в соответствии с пунктами 16 - 18 и 20 Правил формирования субсидий.
35. В случае несоблюдения целей, установленных при предоставлении субсидии, применяются бюджетные меры принуждения в соответствии с бюджетным законодательством Российской Федерации.
36. Ответственность за достоверность представляемых в Министерство сельского хозяйства Российской Федерации сведений и документов, предусмотренных настоящими Правилами и соглашением о предоставлении субсидии, возлагается на уполномоченный орган и высший исполнительный орган субъекта Российской Федерации.
37. Контроль за соблюдением субъектами Российской Федерации условий предоставления субсидий осуществляется Министерством сельского хозяйства Российской Федерации и уполномоченными органами государственного финансового контроля.
Приложение N 20
к Государственной программе развития
сельского хозяйства и регулирования
рынков сельскохозяйственной продукции,
сырья и продовольствия
ПРАВИЛА
ПРЕДОСТАВЛЕНИЯ И РАСПРЕДЕЛЕНИЯ СУБСИДИЙ
ИЗ ФЕДЕРАЛЬНОГО БЮДЖЕТА БЮДЖЕТАМ СУБЪЕКТОВ
РОССИЙСКОЙ ФЕДЕРАЦИИ В ЦЕЛЯХ СОФИНАНСИРОВАНИЯ
РАСХОДНЫХ ОБЯЗАТЕЛЬСТВ СУБЪЕКТОВ РОССИЙСКОЙ ФЕДЕРАЦИИ
ПО ВОЗМЕЩЕНИЮ ЧАСТИ ЗАТРАТ ОРГАНИЗАЦИЙ НА ПРОВЕДЕНИЕ
НАУЧНО-ИССЛЕДОВАТЕЛЬСКИХ И ОПЫТНО-КОНСТРУКТОРСКИХ РАБОТ
И (ИЛИ) ОПЫТНО-КОНСТРУКТОРСКИХ РАБОТ В РАМКАХ РЕАЛИЗАЦИИ
ТАКИМИ ОРГАНИЗАЦИЯМИ ИННОВАЦИОННО-ТЕХНОЛОГИЧЕСКИХ ПРОЕКТОВ
1. Настоящие Правила устанавливают цели, условия и порядок предоставления и распределения субсидий из федерального бюджета бюджетам субъектов Российской Федерации в целях софинансирования расходных обязательств субъектов Российской Федерации по возмещению части затрат организаций на проведение научно-исследовательских и опытно-конструкторских работ и (или) опытно-конструкторских работ в рамках реализации такими организациями инновационно-технологических проектов, обеспечивающих достижение целей, показателей и мероприятий (результатов) федерального проекта "Производство критически важных ферментных препаратов, пищевых и кормовых добавок, технологических вспомогательных средств", входящего в состав национального проекта по обеспечению технологического лидерства "Технологическое обеспечение продовольственной безопасности" (далее - субсидии).
Субсидии предоставляются в целях софинансирования расходных обязательств субъектов Российской Федерации по возмещению части затрат организаций на проведение научно-исследовательских и опытно-конструкторских работ и (или) опытно-конструкторских работ, непосредственно связанных с последующим производством критически важных ферментных препаратов, пищевых и кормовых добавок, технологических вспомогательных средств, в соответствии с перечнем, утверждаемым Министерством сельского хозяйства Российской Федерации, в рамках реализации такими организациями инновационно-технологических проектов (далее - научно-исследовательские и опытно-конструкторские работы и (или) опытно-конструкторские работы).
2. Понятия, используемые в настоящих Правилах, означают следующее:
"затраты на проведение научно-исследовательских и опытно-конструкторских работ и (или) опытно-конструкторских работ" - выраженные в денежной форме расходы, направления которых указаны в пункте 4 настоящих Правил, на проведение прикладных научно-исследовательских и опытно-конструкторских работ и (или) опытно-конструкторских работ (включая технологические работы в рамках научно-исследовательских и опытно-конструкторских работ и (или) опытно-конструкторских работ) для создания опытных образцов критически важных ферментных препаратов, пищевых и кормовых добавок, технологических вспомогательных средств;
"инновационно-технологический проект" - региональный инновационный проект, который содержит комплекс мероприятий по проведению научно-исследовательских и опытно-конструкторских работ и (или) опытно-конструкторских работ, оценке соответствия непосредственно связанных с созданием и производством критически важных ферментных препаратов, пищевых и кормовых добавок, технологических вспомогательных средств;
"научно-исследовательское учреждение" - научная организация или образовательная организация высшего образования, выполняющая научно-исследовательские, опытно-конструкторские и технологические работы в отношении создания ферментных препаратов, пищевых и кормовых добавок, технологических вспомогательных средств;
"объект по производству критически важных ферментных препаратов, пищевых и кормовых добавок, технологических вспомогательных средств" - здание, строение или сооружение, цех (объект), участок, включая инженерные сети и (или) оборудование, предназначенные для производства критически важных ферментных препаратов, пищевых и кормовых добавок, технологических вспомогательных средств;
"организация" - организация, являющаяся налоговым резидентом Российской Федерации, которая производит критически важные ферментные препараты, пищевые и кормовые добавки, технологические вспомогательные средства и (или) планирует их производить и реализует инновационно-технологический проект;
"получатель средств" - организация, реализующая инновационно-технологический проект в соответствии с паспортом инновационно-технологического проекта по форме согласно приложению.
3. Субсидии предоставляются в пределах лимитов бюджетных обязательств, доведенных в установленном порядке до Министерства сельского хозяйства Российской Федерации как получателя средств федерального бюджета на предоставление субсидий на цели, указанные в пункте 1 настоящих Правил.
Средства из бюджета субъекта Российской Федерации, источником софинансирования которых является субсидия, предоставляются получателям средств на возмещение части затрат на проведение научно-исследовательских и опытно-конструкторских работ и (или) опытно-конструкторских работ в рамках реализации такими организациями инновационно-технологических проектов в размере 50 процентов таких затрат без учета налога на добавленную стоимость, за исключением получателей средств, использующих право на освобождение от обязанностей налогоплательщика, связанных с исчислением и уплатой налога на добавленную стоимость. Для заявителей, использующих право на освобождение от обязанностей налогоплательщика, связанных с исчислением и уплатой налога на добавленную стоимость, расчет части объема возмещаемых затрат осуществляется исходя из суммы расходов на приобретение товаров (работ, услуг), включая сумму налога на добавленную стоимость.
Средства из бюджета субъекта Российской Федерации, источником софинансирования которых является субсидия, предоставляются получателю средств на возмещение части затрат на проведение научно-исследовательских и опытно-конструкторских работ и (или) опытно-конструкторских работ, понесенных получателем средств в текущем финансовом году и (или) в течение 2 лет, предшествующих текущему финансовому году.
Средства из бюджета субъекта Российской Федерации, источником софинансирования которых является субсидия, не предоставляются организациям, получившим финансовое обеспечение затрат на проведение научно-исследовательских и опытно-конструкторских работ, непосредственно связанных с последующим производством идентичных ферментных препаратов, пищевых и кормовых добавок, технологических вспомогательных средств, в рамках реализации Правил предоставления субсидий из федерального бюджета российским организациям на финансовое обеспечение затрат на проведение научно-исследовательских и опытно-конструкторских работ по современным технологиям в рамках реализации такими организациями инновационных проектов, утвержденных постановлением Правительства Российской Федерации от 12 декабря 2019 г. N 1649 "Об утверждении Правил предоставления субсидий из федерального бюджета российским организациям на финансовое обеспечение затрат на проведение научно-исследовательских и опытно-конструкторских работ по современным технологиям в рамках реализации такими организациями инновационных проектов и о признании утратившими силу некоторых актов Правительства Российской Федерации", и (или) организациям, получившим субсидии из федерального бюджета на возмещение части затрат на реализацию комплексных научно-технических проектов в агропромышленном комплексе, а также грантов в форме субсидий из федерального бюджета на реализацию комплексных научно-технических проектов в агропромышленном комплексе, непосредственно связанных с последующим производством идентичных ферментных препаратов, пищевых и кормовых добавок, технологических вспомогательных средств и реализуемых в рамках подпрограммы "Развитие производства кормов и кормовых добавок для животных" Федеральной научно-технической программы развития сельского хозяйства на 2017 - 2030 годы, утвержденной постановлением Правительства Российской Федерации от 25 августа 2017 г. N 996 "Об утверждении Федеральной научно-технической программы развития сельского хозяйства на 2017 - 2030 годы".
4. Средства из бюджета субъекта Российской Федерации, источником софинансирования которых является субсидия, предоставляются получателям средств на возмещение части затрат на проведение научно-исследовательских и опытно-конструкторских работ и (или) опытно-конструкторских работ в рамках реализации такими организациями инновационно-технологических проектов, виды которых определяются субъектами Российской Федерации самостоятельно в рамках следующих направлений:
а) расходы на оплату услуг, непосредственно связанных с проведением научно-исследовательских и опытно-конструкторских работ и (или) опытно-конструкторских работ (не более 50 процентов общего размера возмещаемых затрат на проведение научно-исследовательских и опытно-конструкторских работ и (или) опытно-конструкторских работ);
б) расходы на приобретение оборудования, включая расходы на приобретение права использования программ для электронных вычислительных машин и других нематериальных активов, в том числе на уплату вознаграждения за отчуждение исключительного права или предоставление права использования программ для электронных вычислительных машин (не более 50 процентов общего размера возмещаемых затрат на проведение научно-исследовательских и опытно-конструкторских работ и (или) опытно-конструкторских работ);
в) материальные расходы, непосредственно связанные с проведением научно-исследовательских и опытно-конструкторских работ и (или) опытно-конструкторских работ, тестированием экспериментальных образцов, в том числе расходы на подготовку пилотного, испытательного, контрольно-измерительного и вспомогательного оборудования, закупку комплектующих изделий, сырья и материалов, изготовление опытных образцов, сырья и материалов, изготовление опытных образцов, не менее 50 процентов общей стоимости которых составляют оборудование, сырье, материалы и комплектующие изделия (не более 50 процентов общего размера возмещаемых затрат на проведение научно-исследовательских и опытно-конструкторских работ и (или) опытно-конструкторских работ);
г) расходы на содержание и эксплуатацию научно-исследовательского оборудования, установок и сооружений, других объектов основных средств, непосредственно связанных с проведением научно-исследовательских и опытно-конструкторских работ и (или) опытно-конструкторских работ (не более 50 процентов общего размера возмещаемых затрат на проведение научно-исследовательских и опытно-конструкторских работ и (или) опытно-конструкторских работ);
д) расходы на государственную регистрацию в Российской Федерации ферментных препаратов, пищевых и кормовых добавок, технологических вспомогательных средств (включая расходы на лабораторные исследования (испытания), полученных в рамках проведения научно-исследовательских и опытно-конструкторских работ и (или) опытно-конструкторских работ (не более 15 процентов общего размера возмещаемых затрат на проведение научно-исследовательских и опытно-конструкторских работ и (или) опытно-конструкторских работ).
5. Критериями отбора субъектов Российской Федерации для предоставления субсидии являются:
а) наличие организаций, реализующих инновационно-технологические проекты;
б) наличие у организаций согласованного исполнительным органом субъекта Российской Федерации, уполномоченным высшим исполнительным органом субъекта Российской Федерации (далее - уполномоченный орган), паспорта инновационно-технологического проекта, подписанного руководителем и главным бухгалтером (при наличии) организации, по форме, предусмотренной приложением к настоящим Правилам.
6. Размер средств, предоставляемых из бюджета субъекта Российской Федерации, источником софинансирования которых является субсидия, получателям средств на соответствующий финансовый год, не может превышать 50 процентов суммарно понесенных получателями средств затрат на проведение научно-исследовательских и опытно-конструкторских работ и (или) опытно-конструкторских работ в рамках реализации инновационно-технологических проектов. Средства предоставляются из бюджета субъекта Российской Федерации, источником софинансирования которого является субсидия, получателям средств при наличии одного (нескольких) из следующих оснований:
а) наличие документов об оценке соответствия пищевых добавок, ферментных препаратов, технологических вспомогательных средств обязательным требованиям, установленным техническим регламентом Таможенного союза "О безопасности пищевой продукции" (ТР ТС 021/2011), принятым решением Комиссии Таможенного союза от 9 декабря 2011 г. N 880, техническим регламентом Таможенного союза "Требования безопасности пищевых добавок, ароматизаторов и технологических вспомогательных средств" (ТР ТС 029/2012), принятым решением Совета Евразийской экономической комиссии от 20 июля 2012 г. N 58, техническим регламентом Таможенного союза "О безопасности молока и молочной продукции" (ТР ТС 033/2013), принятым решением Совета Евразийской экономической комиссии от 9 октября 2013 г. N 67;
б) наличие документов об оценке соответствия кормовых добавок обязательным требованиям в соответствии с постановлением Правительства Российской Федерации от 24 июля 2021 г. N 1265 "Об утверждении Правил обязательного подтверждения соответствия продукции, указанной в абзаце первом пункта 3 статьи 46 Федерального закона "О техническом регулировании" и (или) выписки из государственного реестра кормовых добавок, выданной Федеральной службой по ветеринарному и фитосанитарному надзору в соответствии с пунктом 4 статьи 11.6 Закона Российской Федерации "О ветеринарии";
в) наличие патентов на результаты интеллектуальной деятельности (непосредственно связанных с созданием и последующим производством критически важных ферментных препаратов, пищевых и кормовых добавок, технологических вспомогательных средств).
7. Для проведения научно-исследовательских и опытно-конструкторских работ и (или) опытно-конструкторских работ в рамках реализации инновационно-технологических проектов организациями (получателями средств) допускается привлечение научно-исследовательских учреждений.
8. Предоставление субсидии осуществляется на основании соглашения о предоставлении субсидии из федерального бюджета бюджету субъекта Российской Федерации, подготавливаемого (формируемого) с использованием государственной интегрированной информационной системы управления общественными финансами "Электронный бюджет" в соответствии с типовой формой соглашения, утвержденной Министерством финансов Российской Федерации (далее - соглашение).
В соглашение подлежит включению обязательство субъекта Российской Федерации по обеспечению получателем средств в течение 3 лет после окончания научно-исследовательских и опытно-конструкторских работ и (или) опытно-конструкторских работ производства соответствующих критически важных ферментных препаратов, пищевых и кормовых добавок, технологических вспомогательных средств.
Обеспечение производства критически важных ферментных препаратов, пищевых и кормовых добавок, технологических вспомогательных средств подтверждается фактом ввода в эксплуатацию объекта по производству критически важных ферментных препаратов, пищевых и кормовых добавок, технологических вспомогательных средств с представлением разрешения на ввод его в эксплуатацию.
9. Условиями предоставления субсидии являются:
а) наличие правовых актов субъекта Российской Федерации, предусматривающих мероприятия (результаты), при реализации которых возникают расходные обязательства субъекта Российской Федерации, в целях софинансирования которых предоставляется субсидия, в соответствии с требованиями нормативных правовых актов Российской Федерации;
б) наличие в бюджете субъекта Российской Федерации бюджетных ассигнований на исполнение расходного обязательства субъекта Российской Федерации, софинансирование которого осуществляется из федерального бюджета, в объеме, необходимом для его исполнения, включающем размер планируемой к предоставлению из федерального бюджета субсидии, если иное не установлено актами Президента Российской Федерации или Правительства Российской Федерации;
в) заключение соглашения в соответствии с пунктом 10 Правил формирования, предоставления и распределения субсидий из федерального бюджета бюджетам субъектов Российской Федерации, утвержденных постановлением Правительства Российской Федерации от 30 сентября 2014 г. N 999 "О формировании, предоставлении и распределении субсидий из федерального бюджета бюджетам субъектов Российской Федерации" (далее - Правила формирования субсидий).
10. Размер субсидии, предоставляемой бюджету i-го субъекта Российской Федерации в соответствующем финансовом году (Wi), определяется по формуле:

где:
V - объем бюджетных ассигнований, предусмотренных в федеральном бюджете на соответствующий финансовый год на предоставление субсидии (тыс. рублей);
n - количество субъектов Российской Федерации, отвечающих критериям, указанным в пункте 5 настоящих Правил;
Ni - размер субсидии бюджету i-го субъекта Российской Федерации на соответствующий финансовый год (тыс. рублей), который рассчитывается по формуле:
![]()
где:
Cij - размер затрат на проведение научно-исследовательских и опытно-конструкторских работ и (или) опытно-конструкторских работ в рамках j-го инновационно-технологического проекта в i-м субъекте Российской Федерации;
K - процент возмещения части затрат в размере, указанном в абзаце втором пункта 3 настоящих Правил;
Yi - предельный уровень софинансирования расходного обязательства i-го субъекта Российской Федерации из федерального бюджета на очередной финансовый год (в процентах), определяемый в соответствии с пунктом 13(1.1) Правил формирования субсидий.
11. В случае увеличения в текущем финансовом году бюджетных ассигнований федерального бюджета на предоставление субсидий Министерством сельского хозяйства Российской Федерации проводится дополнительный отбор субъектов Российской Федерации, а расчет размера субсидии бюджету субъекта Российской Федерации осуществляется в соответствии с пунктом 10 настоящих Правил.
12. Перечисление субсидий осуществляется в установленном порядке на единые счета бюджетов, открытые финансовым органам субъектов Российской Федерации в территориальных органах Федерального казначейства.
13. Уполномоченный орган представляет в Министерство сельского хозяйства Российской Федерации следующие документы:
а) выписка из закона субъекта Российской Федерации о бюджете субъекта Российской Федерации и (или) выписка из сводной бюджетной росписи бюджета субъекта Российской Федерации, подтверждающая наличие в утвержденном бюджете субъекта Российской Федерации бюджетных ассигнований, - не позднее 30 дней со дня заключения соглашения о предоставлении субсидии;
б) документ, содержащий информацию об использовании средств бюджетов субъектов Российской Федерации, в целях софинансирования расходных обязательств которых предоставляются субсидии, с приложением перечня получателей указанных средств по форме и в срок, которые устанавливаются Министерством сельского хозяйства Российской Федерации;
в) отчетность об осуществлении расходов бюджета субъекта Российской Федерации, в целях софинансирования которых предоставляется субсидия, а также о достижении значений результатов использования субсидии, подготавливаемая (формируемая) с использованием государственной интегрированной информационной системы управления общественными финансами "Электронный бюджет" по форме и в срок, которые устанавливаются соглашением.
14. Результатом использования субсидии является количество реализованных мероприятий в рамках инновационно-технологических проектов для последующего создания производства критически важных ферментных препаратов, пищевых и кормовых добавок, технологических вспомогательных средств.
15. Эффективность использования субсидии оценивается ежегодно Министерством сельского хозяйства Российской Федерации на основании сравнения установленного соглашением результата использования субсидии и фактического результата использования субсидии.
16. Порядок и условия возврата средств из бюджета субъекта Российской Федерации в федеральный бюджет в случае нарушения субъектом Российской Федерации обязательств, предусмотренных соглашением, а также основания для освобождения субъекта Российской Федерации от применения мер финансовой ответственности установлены пунктами 16 - 18 и 20 Правил формирования субсидий.
В случае нарушения субъектом Российской Федерации обязательства по соглашению, указанного в абзаце втором пункта 8 настоящих Правил, субсидия, предоставленная субъекту Российской Федерации в целях софинансирования расходных обязательств по возмещению части затрат получателя средств, который не обеспечил по истечении 3 лет после окончания научно-исследовательских и опытно-конструкторских работ и (или) опытно-конструкторских работ производство соответствующих критически важных ферментных препаратов, пищевых и кормовых добавок, технологических вспомогательных средств, подлежит возврату в доход федерального бюджета.
17. В случае если при формировании проекта федерального закона о федеральном бюджете на очередной финансовый год и плановый период субъектом Российской Федерации до 10 августа текущего финансового года представлено в Министерство сельского хозяйства Российской Федерации обращение, содержащее информацию об отсутствии частичной или полной потребности в субсидии, бюджетные ассигнования на предоставление субсидии такому субъекту Российской Федерации распределяются между бюджетами других субъектов Российской Федерации, имеющих право на получение субсидии в соответствии с настоящими Правилами.
18. В случае нарушения целей, установленных при предоставлении субсидии, применяются бюджетные меры принуждения, предусмотренные бюджетным законодательством Российской Федерации.
19. В случае отсутствия в текущем финансовом году у субъектов Российской Федерации потребности в субсидиях невостребованный объем субсидий перераспределяется на иные мероприятия в соответствии с бюджетным законодательством Российской Федерации.
20. Ответственность за достоверность представляемых в Министерство сельского хозяйства Российской Федерации сведений и соблюдение условий, предусмотренных настоящими Правилами и соглашением, возлагается на уполномоченный орган и высший исполнительный орган субъекта Российской Федерации.
21. Контроль за соблюдением субъектами Российской Федерации условий предоставления субсидий осуществляется Министерством сельского хозяйства Российской Федерации и уполномоченными органами государственного финансового контроля.
Приложение
к Правилам предоставления и распределения
субсидий из федерального бюджета бюджетам
субъектов Российской Федерации в целях
софинансирования расходных обязательств
субъектов Российской Федерации
по возмещению части затрат организаций
на проведение научно-исследовательских
и опытно-конструкторских работ и (или)
опытно-конструкторских работ в рамках
реализации такими организациями
инновационно-технологических проектов
(форма)
|
ПАСПОРТ
инновационно-технологического проекта
|
|
(наименование организации)
|
|
(наименование научно-исследовательского учреждения)
|
|
1. Цель реализации инновационно-технологического проекта
|
|
2. Период реализации инновационно-технологического проекта
|
|
3. Затраты, связанные с реализацией инновационно-технологического проекта, __________________________________________________________________________
|
4. Продукция, создаваемая в рамках реализации
инновационно-технологического проекта, ___________________________
(ферментные препараты,
пищевые и кормовые добавки,
технологические
вспомогательные средства)
|
|
5. Объем инвестиций и описание процесса подготовки и организации производства продукции ____________________________________________________
|
|
Руководитель организации
|
|||
|
(подпись)
|
(фамилия, имя, отчество (при наличии)
|
||
|
Главный бухгалтер (при наличии)
|
|||
|
(подпись)
|
(фамилия, имя, отчество (при наличии)
|
|
СОГЛАСОВАНО:
|
|||
|
Достоверность представляемых сведений гарантируется.
|
|||
|
Руководитель исполнительного органа субъекта Российской Федерации, уполномоченного высшим исполнительным органом субъекта Российской Федерации
|
|||
|
"__" _____________ 20__ г.
|
|||
|
МП (при наличии)
|
|||
Приложение N 1
к паспорту
инновационно-технологического проекта
(форма)
|
ПЛАН-ГРАФИК
реализации инновационно-технологического проекта
|
|
Наименование инновационно-технологического проекта
|
|
Номер этапа инновационно-технологического проекта
|
Описание этапа инновационно-технологического проекта (3 - 4 этапы инновационно-технологического проекта являются обязательными), 5 этап относится к обязательствам по реализации инновационно-технологического проекта
|
Срок реализации этапа инновационно-технологического проекта (сроки реализации 2 и 3 этапов инновационно-технологического проекта не могут превышать 12 месяцев, 1 - 3 этапы инновационно-технологического проекта должны быть завершены до года предоставления субсидии)
|
Мероприятие (мероприятия) по реализации этапа инновационно-технологического проекта
|
Научно-исследовательское учреждение, привлекаемое к реализации этапа (при необходимости)
|
Результат проведения мероприятия (мероприятий) по реализации этапа инновационно-технологического проекта
|
Документы, подтверждающие реализацию мероприятия (мероприятий)
|
Организация, утвердившая документы, подтверждающие реализацию мероприятия (мероприятий)
|
|
1.
|
Научно-исследовательская разработка (доработка) технологии получения продукта
|
||||||
|
2.
|
Разработка (доработка) лабораторной технологии получения продукта
|
||||||
|
3.
|
Разработка опытно-промышленной технологии получения продукта
|
||||||
|
4.
|
Продолжение исследований и оценка соответствия продукта
|
||||||
|
5.
|
Организация промышленного производства
|
|
Руководитель организации
|
|||
|
(подпись)
|
(фамилия, имя, отчество (при наличии)
|
||
|
Главный бухгалтер (при наличии)
|
|||
|
(подпись)
|
(фамилия, имя, отчество (при наличии)
|
|
СОГЛАСОВАНО:
|
|||
|
Достоверность представляемых сведений гарантируется.
|
|||
|
Руководитель исполнительного органа субъекта Российской Федерации, уполномоченного высшим исполнительным органом субъекта Российской Федерации
|
|||
|
(подпись)
|
(фамилия, имя, отчество (при наличии)
|
||
|
"__" _____________ 20__ г.
|
|||
|
МП (при наличии)
|
|||
Приложение N 2
к паспорту
инновационно-технологического проекта
(форма)
|
ПЛАН-ГРАФИК
финансирования инновационно-технологического проекта
|
|
Наименование инновационно-технологического проекта
|
|
Номер этапа инновационно-технологического проекта
|
Срок реализации этапа инновационно-технологического проекта
|
Мероприятие (мероприятия) по реализации этапа инновационно-технологического проекта
|
Размер собственных и (или) заемных средств, привлеченных организацией для реализации инновационно-технологического проекта, рублей (без учета налога на добавленную стоимость)
|
Размер возмещения части затрат организации на проведение научно-исследовательских и опытно-конструкторских и (или) опытно-конструкторских работ, в том числе по статьям затрат, рублей
|
|
Итого
|
|
Руководитель
организации
|
|||
|
(подпись)
|
(фамилия, имя, отчество (при наличии)
|
||
|
Главный бухгалтер
(при наличии)
|
|||
|
(подпись)
|
(фамилия, имя, отчество (при наличии)
|
|
СОГЛАСОВАНО:
|
|||
|
Достоверность представляемых сведений гарантируется.
|
|||
|
Руководитель исполнительного органа субъекта Российской Федерации, уполномоченного высшим исполнительным органом субъекта Российской Федерации
|
|||
|
(подпись)
|
(фамилия, имя, отчество (при наличии)
|
||
|
"__" _____________ 20__ г.
|
|||
|
МП (при наличии)
|
|||
Приложение N 21
к Государственной программе развития
сельского хозяйства и регулирования
рынков сельскохозяйственной продукции,
сырья и продовольствия
ПРАВИЛА
ПРЕДОСТАВЛЕНИЯ И РАСПРЕДЕЛЕНИЯ СУБСИДИЙ ИЗ ФЕДЕРАЛЬНОГО
БЮДЖЕТА БЮДЖЕТАМ СУБЪЕКТОВ РОССИЙСКОЙ ФЕДЕРАЦИИ НА ОКАЗАНИЕ
ГОСУДАРСТВЕННОЙ ПОДДЕРЖКИ ВЕТЕРАНАМ И УЧАСТНИКАМ СПЕЦИАЛЬНОЙ
ВОЕННОЙ ОПЕРАЦИИ, СВЯЗАННОЙ С НАЧАЛОМ ОСУЩЕСТВЛЕНИЯ
ИМИ ПРЕДПРИНИМАТЕЛЬСКОЙ ДЕЯТЕЛЬНОСТИ
В АГРОПРОМЫШЛЕННОМ КОМПЛЕКСЕ
1. Настоящие Правила устанавливают цели, условия и порядок предоставления и распределения субсидий из федерального бюджета бюджетам субъектов Российской Федерации на оказание государственной поддержки ветеранам и участникам специальной военной операции, связанной с началом осуществления ими предпринимательской деятельности в агропромышленном комплексе, в целях софинансирования расходных обязательств субъектов Российской Федерации, возникающих при реализации мероприятий, направленных на увеличение производства сельскохозяйственной продукции, путем предоставления средств из бюджетов субъектов Российской Федерации (далее - субсидии).
2. Понятия, используемые в настоящих Правилах, означают следующее:
"грант "Агромотиватор" - средства, перечисляемые из бюджета субъекта Российской Федерации грантополучателю для финансового обеспечения его затрат, не возмещаемых в рамках иных направлений государственной поддержки, связанных с реализацией проекта создания и (или) развития хозяйства, направленного на организацию и (или) увеличение производства сельскохозяйственной продукции, представляемого заявителем в региональную комиссию по отбору проектов;
"грантополучатель" - заявитель, отобранный региональной комиссией по отбору проектов для предоставления гранта "Агромотиватор", зарегистрированный в качестве крестьянского (фермерского) хозяйства или индивидуального предпринимателя, являющегося главой крестьянского (фермерского) хозяйства, в соответствии с Федеральным законом "О государственной регистрации юридических лиц и индивидуальных предпринимателей";
"заявитель" - гражданин Российской Федерации из числа ветеранов боевых действий, осуществлявших выполнение задач в ходе специальной военной операции на территориях Донецкой Народной Республики, Луганской Народной Республики и Украины с 24 февраля 2022 г., на территориях Запорожской области и Херсонской области - с 30 сентября 2022 г., уволенный с военной службы (службы, работы), а также принимавший в соответствии с решениями органов публичной власти Донецкой Народной Республики и Луганской Народной Республики участие в боевых действиях в составе Вооруженных Сил Донецкой Народной Республики, Народной милиции Луганской Народной Республики, воинских формирований и органов Донецкой Народной Республики и Луганской Народной Республики начиная с 11 мая 2014 г., зарегистрированный в качестве крестьянского (фермерского) хозяйства или индивидуального предпринимателя, являющегося главой крестьянского (фермерского) хозяйства на сельской территории или на территории сельской агломерации субъекта Российской Федерации, который обязуется осуществлять деятельность на сельской территории или на территории сельской агломерации в течение не менее чем 3 лет со дня получения средств и достигнуть показателей деятельности, предусмотренных проектом. Заявители, осуществляющие деятельность в субъектах Российской Федерации, относящихся к районам Крайнего Севера и местностям, приравненным к районам Крайнего Севера, предусмотренным постановлением Правительства Российской Федерации от 16 ноября 2021 г. N 1946 "Об утверждении перечня районов Крайнего Севера и местностей, приравненных к районам Крайнего Севера, в целях предоставления государственных гарантий и компенсаций для лиц, работающих и проживающих в этих районах и местностях, признании утратившими силу некоторых актов Правительства Российской Федерации и признании не действующими на территории Российской Федерации некоторых актов Совета Министров СССР", в субъектах Российской Федерации, входящих в состав Дальневосточного федерального округа, могут быть зарегистрированы на территориях городов и поселков городского типа с численностью населения не более 100 тыс. человек.
К понятию "заявитель" также относится гражданин Российской Федерации, обязующийся в срок, не превышающий 30 календарных дней с даты принятия решения региональной комиссии по отбору проектов о предоставлении ему гранта "Агромотиватор", осуществить государственную регистрацию крестьянского (фермерского) хозяйства или зарегистрироваться в качестве индивидуального предпринимателя, являющегося главой крестьянского (фермерского) хозяйства, которые отвечают условиям, предусмотренным абзацем четвертым настоящего пункта, в органах Федеральной налоговой службы;
"плановые показатели деятельности" - производственные и экономические показатели, предусмотренные проектом. В состав плановых показателей деятельности включаются в том числе количество принятых новых постоянных работников, сведения о которых подтверждаются справкой налогового органа, и объем производства и реализации сельскохозяйственной продукции, выраженный в натуральных и денежных показателях;
"проект" - документ (бизнес-план), составленный по форме, определяемой исполнительным органом субъекта Российской Федерации, уполномоченным высшим исполнительным органом субъекта Российской Федерации (далее - уполномоченный орган), в который включаются в том числе направления расходования гранта "Агромотиватор", обязательство по принятию в срок, определяемый высшим исполнительным органом субъекта Российской Федерации или уполномоченным органом, но не позднее срока использования гранта "Агромотиватор", не менее одного нового постоянного работника, а также обязательство по сохранению созданных новых постоянных рабочих мест в течение 3 лет с даты получения гранта "Агромотиватор" и по достижению плановых показателей деятельности, предусмотренных соглашением о предоставлении средств, заключаемым между грантополучателем и уполномоченным органом;
"региональная комиссия по отбору проектов" - комиссия, создаваемая высшим исполнительным органом субъекта Российской Федерации или уполномоченным органом, не менее 50 процентов членов которой составляют члены, не являющиеся государственными или муниципальными служащими, осуществляющая отбор заявителей для предоставления им гранта "Агромотиватор", в том числе в форме очного собеседования и (или) видео-конференц-связи;
"сельские агломерации" - примыкающие друг к другу сельские территории и (или) граничащие с сельскими территориями поселки городского типа и (или) малые города. Численность населения, постоянно проживающего на территории каждого населенного пункта, входящего в состав сельской агломерации, не может превышать 30 тыс. человек. Под примыкающими друг к другу сельскими территориями понимаются сельские территории, имеющие смежные границы муниципальных образований. Перечень сельских агломераций на территории субъекта Российской Федерации определяется высшим исполнительным органом субъекта Российской Федерации или уполномоченным органом. В указанное понятие не входят внутригородские муниципальные образования гг. Москвы и Санкт-Петербурга;
"сельские территории" - сельские поселения или сельские поселения и межселенные территории, объединенные общей территорией в границах муниципального района, сельские населенные пункты, входящие в состав городских поселений, муниципальных округов, городских округов (за исключением городских округов, на территории которых находятся административные центры субъектов Российской Федерации), сельские населенные пункты, входящие в состав внутригородских муниципальных образований г. Севастополя, рабочие поселки, наделенные статусом городских поселений, рабочие поселки, входящие в состав городских поселений, муниципальных округов, городских округов (за исключением городских округов, на территории которых находятся административные центры субъектов Российской Федерации). Перечень таких сельских населенных пунктов и рабочих поселков на территории субъекта Российской Федерации определяется высшим исполнительным органом субъекта Российской Федерации или уполномоченным органом. В указанное понятие не входят внутригородские муниципальные образования гг. Москвы и Санкт-Петербурга.
3. Субсидии предоставляются в пределах лимитов бюджетных обязательств, доведенных до Министерства сельского хозяйства Российской Федерации как получателя средств федерального бюджета на предоставление субсидий на цели, указанные в пункте 1 настоящих Правил.
4. Для грантополучателей, использующих право на освобождение от исполнения обязанностей налогоплательщика, связанных с исчислением и уплатой налога на добавленную стоимость, финансовое обеспечение (возмещение) части их затрат осуществляется исходя из суммы расходов на приобретение товаров (работ, услуг), включая сумму налога на добавленную стоимость.
5. Грант "Агромотиватор" предоставляется грантополучателю на реализацию проекта:
а) по разведению крупного рогатого скота мясного или молочного направления продуктивности - в размере, не превышающем 7 млн. рублей, но не более 90 процентов затрат;
б) по иным направлениям - в размере, не превышающем 5 млн. рублей, но не более 90 процентов затрат.
6. Грант "Агромотиватор" предоставляется грантополучателю с учетом следующих условий:
а) грант "Агромотиватор" предоставляется однократно на основании решения региональной комиссии по отбору проектов по результатам конкурсного отбора заявителей;
б) максимальный размер гранта "Агромотиватор" утверждается уполномоченным органом. В случае если уполномоченный орган утверждает максимальный размер гранта "Агромотиватор" в размере, превышающем размер, указанный в пункте 5 настоящих Правил, расходные обязательства субъекта Российской Федерации по выплате такого гранта в сумме, превышающей указанный размер, из федерального бюджета не софинансируются;
в) размер гранта "Агромотиватор", предоставляемого конкретному грантополучателю, определяется решением региональной комиссии по отбору проектов с учетом размера собственных средств грантополучателя, направляемых на реализацию проекта;
г) перечень затрат, финансовое обеспечение которых допускается осуществлять за счет гранта "Агромотиватор", определяется Министерством сельского хозяйства Российской Федерации;
д) финансовое обеспечение затрат грантополучателя, предусмотренных пунктом 5 настоящих Правил, за счет иных направлений государственной поддержки не допускается;
е) реализация, передача в аренду, залог и (или) отчуждение имущества, приобретенного с использованием гранта "Агромотиватор", допускаются только при согласовании с уполномоченным органом, а также при условии неухудшения плановых показателей деятельности, предусмотренных проектом и соглашением о предоставлении средств, заключаемым между грантополучателем и уполномоченным органом;
ж) приобретение имущества, ранее приобретенного с использованием средств государственной поддержки, за счет гранта "Агромотиватор" не допускается;
з) срок использования гранта "Агромотиватор" составляет не более 18 месяцев со дня его получения. В случае наступления обстоятельств непреодолимой силы, препятствующих использованию гранта "Агромотиватор" в установленный срок, продление срока использования гранта "Агромотиватор" осуществляется по решению уполномоченного органа, но не более чем на 6 месяцев, в установленном уполномоченным органом порядке. Основанием для принятия уполномоченным органом решения о продлении срока использования гранта "Агромотиватор" является документальное подтверждение грантополучателем наступления обстоятельств непреодолимой силы, препятствующих использованию средств гранта в установленный срок. В субъектах Российской Федерации, пострадавших в результате обстрелов со стороны вооруженных формирований Украины и (или) террористических актов, срок использования гранта "Агромотиватор" составляет не более 30 месяцев со дня его получения;
и) на дату, определяемую уполномоченным органом, у заявителя должны отсутствовать неисполненные обязанности по уплате налогов, сборов, страховых взносов, пеней, штрафов и процентов, подлежащих уплате в соответствии с законодательством Российской Федерации о налогах и сборах, в сумме, превышающей 10 тыс. рублей;
к) случаи, в которых допускается внесение изменений в проект, методика оценки достижения грантополучателем плановых показателей деятельности, а также меры ответственности за недостижение плановых показателей деятельности определяются уполномоченным органом. В случае недостижения плановых показателей деятельности грантополучатель обязуется представить до 1 апреля года, следующего за годом, в котором показатель деятельности не был исполнен, письменное обоснование недостижения плановых показателей деятельности. В случае принятия уполномоченным органом решения о необходимости внесения изменений в проект и соглашение о предоставлении средств, заключенное между грантополучателем и уполномоченным органом, глава крестьянского (фермерского) хозяйства или индивидуальный предприниматель, являющийся главой крестьянского (фермерского) хозяйства, представляет актуализированный проект в уполномоченный орган в срок, не превышающий 45 календарных дней со дня получения соответствующего решения;
л) грантополучатели не должны являться получателями средств финансовой поддержки (за исключением социальных выплат и выплат на организацию начального этапа предпринимательской деятельности, субсидий, предоставляемых гражданам, ведущим личные подсобные хозяйства, в соответствии с Государственной программой развития сельского хозяйства и регулирования рынков сельскохозяйственной продукции, сырья и продовольствия, утвержденной постановлением Правительства Российской Федерации от 14 июля 2012 г. N 717 "О Государственной программе развития сельского хозяйства и регулирования рынков сельскохозяйственной продукции, сырья и продовольствия"), субсидий или грантов, а также гранта на поддержку начинающего фермера и гранта "Агростартап" в рамках указанной Государственной программы;
м) грант "Агромотиватор" предоставляется при условии документального подтверждения права собственности и (или) иных прав заявителя на срок не менее 3 лет на земельный участок (земельные участки), на котором осуществляется или планируется осуществлять сельскохозяйственное производство;
н) допускается смена индивидуального предпринимателя, являющегося главой крестьянского (фермерского) хозяйства и грантополучателем, в процессе реализации проекта в соответствии со статьей 18 Федерального закона "О крестьянском (фермерском) хозяйстве";
о) грант "Агромотиватор" предоставляется за счет средств бюджета того субъекта Российской Федерации, на сельской территории или территории сельской агломерации которого зарегистрирован и осуществляет деятельность грантополучатель;
п) размер гранта "Агромотиватор" не может быть менее 3 млн. рублей. В случае если заявителем на рассмотрение региональной комиссии по отбору проектов представлен проект, где в стоимость проекта включена сумма гранта менее 3 млн. рублей, проект региональной комиссией по отбору проектов не рассматривается.
7. В случае призыва грантополучателя на военную службу в Вооруженные Силы Российской Федерации или введения в субъекте Российской Федерации среднего уровня реагирования в соответствии с Указом Президента Российской Федерации от 19 октября 2022 г. N 757 "О мерах, осуществляемых в субъектах Российской Федерации в связи с Указом Президента Российской Федерации от 19 октября 2022 г. N 756" (далее соответственно - призыв на военную службу, средний уровень реагирования) уполномоченный орган принимает одно из следующих решений:
признание проекта завершенным, в случае если грант "Агромотиватор" использован в полном объеме, а в отношении грантополучателя в связи с призывом на военную службу осуществлена государственная регистрация прекращения деятельности в качестве индивидуального предпринимателя или государственная регистрация прекращения крестьянского (фермерского) хозяйства. При этом грантополучатель освобождается от ответственности за недостижение плановых показателей деятельности;
обеспечение возврата средств гранта "Агромотиватор" в бюджет субъекта Российской Федерации, из которого были перечислены средства гранта "Агромотиватор", в объеме неиспользованных средств гранта "Агромотиватор", в случае если средства гранта "Агромотиватор" не использованы или использованы не в полном объеме, а в отношении грантополучателя в связи с призывом на военную службу осуществлена государственная регистрация прекращения деятельности в качестве индивидуального предпринимателя или государственная регистрация прекращения крестьянского (фермерского) хозяйства. При этом проект признается завершенным, а грантополучатель освобождается от ответственности за недостижение плановых показателей деятельности.
Указанные в абзацах втором и третьем настоящего пункта решения принимаются уполномоченным органом по заявлению грантополучателя при представлении им документа, подтверждающего призыв на военную службу, или по заявлению грантополучателя при введении в субъекте Российской Федерации среднего уровня реагирования в порядке, установленном уполномоченным органом.
8. В процессе реализации проекта создания и (или) развития хозяйства допускается смена главы крестьянского (фермерского) хозяйства, являющегося грантополучателем, по решению членов данного крестьянского (фермерского) хозяйства в соответствии с пунктом 1 статьи 18 Федерального закона "О крестьянском (фермерском) хозяйстве" или в случае призыва грантополучателя на военную службу в Вооруженные Силы Российской Федерации, что не влечет изменения (прекращения) статуса крестьянского (фермерского) хозяйства в качестве грантополучателя. При этом уполномоченный орган осуществляет замену главы такого крестьянского (фермерского) хозяйства в соглашении о предоставлении средств, заключенном между уполномоченным органом и грантополучателем, а новый глава крестьянского (фермерского) хозяйства осуществляет дальнейшую реализацию проекта в соответствии с указанным соглашением.
Получатели гранта "Агромотиватор", пострадавшие в результате обстрелов со стороны вооруженных формирований Украины и (или) террористических актов, освобождаются от ответственности за недостижение плановых показателей деятельности в порядке, определяемом уполномоченным органом, при условии документального подтверждения факта причинения ущерба имуществу, которое используется для производства, первичной и (или) последующей (промышленной) переработки сельскохозяйственной продукции, в результате обстрелов со стороны вооруженных формирований Украины и (или) террористических актов.
9. Субсидии предоставляются при соблюдении следующих условий:
а) наличие правовых актов субъекта Российской Федерации, утверждающих перечень мероприятий (результатов), при реализации которых возникают расходные обязательства субъекта Российской Федерации, в целях софинансирования которых предоставляется субсидия, в соответствии с требованиями нормативных правовых актов Российской Федерации;
б) наличие в бюджете субъекта Российской Федерации бюджетных ассигнований на исполнение расходного обязательства субъекта Российской Федерации, софинансирование которого осуществляется из федерального бюджета, в объеме, необходимом для его исполнения;
в) заключение между Министерством сельского хозяйства Российской Федерации и высшим исполнительным органом субъекта Российской Федерации соглашения о предоставлении субсидии из федерального бюджета бюджету субъекта Российской Федерации (далее - соглашение о предоставлении субсидии) в соответствии с пунктом 10 Правил формирования, предоставления и распределения субсидий из федерального бюджета бюджетам субъектов Российской Федерации, утвержденных постановлением Правительства Российской Федерации от 30 сентября 2014 г. N 999 "О формировании, предоставлении и распределении субсидий из федерального бюджета бюджетам субъектов Российской Федерации" (далее - Правила формирования субсидий).
10. Критерием отбора субъектов Российской Федерации для предоставления субсидии является наличие перечня потенциальных участников конкурсного отбора, формируемого уполномоченным органом в соответствии с типовой формой, утвержденной Министерством финансов Российской Федерации. Указанный перечень участников направляется уполномоченным органом в Министерство сельского хозяйства Российской Федерации до 1 августа года, предшествующего году предоставления субсидии.
11. Субсидия предоставляется на основании соглашения о предоставлении субсидии, подготавливаемого (формируемого) с использованием государственной интегрированной информационной системы управления общественными финансами "Электронный бюджет" в соответствии с типовой формой, утвержденной Министерством финансов Российской Федерации.
12. Размер субсидии, предоставляемой бюджету i-го субъекта Российской Федерации (Wi), определяется по формуле:

где:
W - общий объем бюджетных ассигнований, предусмотренных в федеральном бюджете на предоставление субсидии на соответствующий финансовый год (тыс. рублей);
Ki - планируемое количество грантополучателей в i-м субъекте Российской Федерации, определяемое на основании данных уполномоченного органа;
Yi - предельный уровень софинансирования расходного обязательства i-го субъекта Российской Федерации из федерального бюджета на очередной финансовый год (в процентах), определяемый в соответствии с пунктом 13 Правил формирования субсидий;
n - количество субъектов Российской Федерации, участвующих в реализации мероприятий, указанных в пункте 5 настоящих Правил.
Минимальный размер субсидии, предоставляемой бюджету i-го субъекта Российской Федерации на предоставление грантов "Агромотиватор", должен соответствовать минимальному размеру гранта "Агромотиватор", указанному в подпункте "п" пункта 6 настоящих Правил.
13. В случае выделения дополнительных бюджетных ассигнований федерального бюджета в текущем финансовом году на предоставление субсидии на цели, указанные в пункте 1 настоящих Правил, их распределение осуществляется между бюджетами субъектов Российской Федерации, имеющих дополнительную потребность в субсидии, пропорционально удельному весу дополнительной потребности субъекта Российской Федерации в субсидии на указанные цели в общем объеме дополнительной потребности субъектов Российской Федерации в субсидиях на указанные цели в случаях и порядке, которые предусмотрены бюджетным законодательством Российской Федерации.
Информация о дополнительной потребности в субсидии формируется на основании письменных обращений уполномоченных органов в Министерство сельского хозяйства Российской Федерации.
Объем предоставляемой в соответствии с абзацем первым настоящего пункта бюджету субъекта Российской Федерации субсидии не может быть более заявленной субъектом Российской Федерации дополнительной потребности в такой субсидии.
14. В случае отсутствия у субъектов Российской Федерации в текущем финансовом году потребности в субсидии невостребованные бюджетные ассигнования на предоставление субсидии перераспределяются пропорционально между субъектами Российской Федерации, имеющими право на получение субсидий в соответствии с настоящими Правилами, на основании письменных обращений уполномоченных органов, представленных в Министерство сельского хозяйства Российской Федерации до 1 сентября текущего финансового года.
15. Перечисление субсидии осуществляется в установленном порядке на единые счета бюджетов, открытые финансовым органам субъектов Российской Федерации в территориальных органах Федерального казначейства, по форме и в срок, которые предусмотрены соглашением о предоставлении субсидии.
16. Уполномоченный орган представляет в Министерство сельского хозяйства Российской Федерации следующие документы:
а) выписка из закона субъекта Российской Федерации о бюджете субъекта Российской Федерации (сводной бюджетной росписи бюджета субъекта Российской Федерации), подтверждающая наличие в бюджете субъекта Российской Федерации утвержденных бюджетных ассигнований на финансовое обеспечение указанных в пункте 1 настоящих Правил расходных обязательств субъекта Российской Федерации, - в срок, устанавливаемый Министерством сельского хозяйства Российской Федерации;
б) документ, содержащий информацию об использовании средств бюджетов субъектов Российской Федерации, которым предоставляются субсидии, с приложением перечня получателей средств - по форме и в срок, которые устанавливаются Министерством сельского хозяйства Российской Федерации;
в) отчет о финансово-экономическом состоянии получателей средств - по форме и в срок, которые устанавливаются Министерством сельского хозяйства Российской Федерации.
17. Уполномоченные органы размещают в сроки, установленные соглашением о предоставлении субсидии, в государственной интегрированной информационной системе управления общественными финансами "Электронный бюджет" отчетность о расходах, в целях софинансирования которых предоставляется субсидия, и о достижении значения результата использования субсидии.
18. Для оценки эффективности использования субсидии применяется следующий результат использования субсидии - обеспечена реализация проектов участниками и ветеранами специальной военной операции, обеспечивающих увеличение производства и реализации сельскохозяйственной продукции (единиц).
19. Оценка эффективности использования субсидии по результату использования субсидии, предусмотренному пунктом 18 настоящих Правил, осуществляется на основании отчета об эффективности использования субсидии по форме и в срок, которые устанавливаются Министерством сельского хозяйства Российской Федерации.
20. В случае если при формировании проекта федерального закона о федеральном бюджете на очередной финансовый год и плановый период субъектом Российской Федерации до 10 августа текущего финансового года представлено в Министерство сельского хозяйства Российской Федерации обращение, содержащее информацию об отсутствии частичной или полной потребности в субсидии, невостребованная субсидия распределяется между бюджетами других субъектов Российской Федерации, имеющих право на получение субсидий в соответствии с настоящими Правилами, в случаях и порядке, которые предусмотрены бюджетным законодательством Российской Федерации.
21. В случае нарушения целей, установленных при предоставлении субсидии, применяются бюджетные меры принуждения в соответствии с бюджетным законодательством Российской Федерации.
Основания и порядок применения мер финансовой ответственности к субъекту Российской Федерации в случае невыполнения им условий, предусмотренных соглашением о предоставлении субсидии, в том числе обязательств, касающихся достижения значений результата использования субсидии, а также основания для освобождения субъектов Российской Федерации от применения мер ответственности за нарушение указанных обязательств установлены пунктами 16 - 18 и 20 Правил формирования субсидий.
22. Ответственность за достоверность представляемых в Министерство сельского хозяйства Российской Федерации сведений и соблюдение условий, предусмотренных настоящими Правилами и соглашением о предоставлении субсидии, возлагается на уполномоченный орган.
23. Контроль за соблюдением субъектами Российской Федерации условий предоставления субсидий осуществляется Министерством сельского хозяйства Российской Федерации и уполномоченными органами государственного финансового контроля.
Приложение N 22
к Государственной программе развития
сельского хозяйства и регулирования
рынков сельскохозяйственной продукции,
сырья и продовольствия
ПРАВИЛА
ПРЕДОСТАВЛЕНИЯ И РАСПРЕДЕЛЕНИЯ СУБСИДИЙ ИЗ ФЕДЕРАЛЬНОГО
БЮДЖЕТА БЮДЖЕТАМ СУБЪЕКТОВ РОССИЙСКОЙ ФЕДЕРАЦИИ
НА РЕАЛИЗАЦИЮ МЕРОПРИЯТИЙ ПО СОДЕЙСТВИЮ ПОВЫШЕНИЮ КАДРОВОЙ
ОБЕСПЕЧЕННОСТИ ПРЕДПРИЯТИЙ АГРОПРОМЫШЛЕННОГО КОМПЛЕКСА
1. Настоящие Правила устанавливают цели, порядок и условия предоставления и распределения субсидий из федерального бюджета бюджетам субъектов Российской Федерации в целях софинансирования расходных обязательств субъектов Российской Федерации, возникающих при реализации мероприятий по содействию повышению кадровой обеспеченности предприятий агропромышленного комплекса в рамках федерального проекта "Кадры в АПК" национального проекта по обеспечению технологического лидерства "Технологическое обеспечение продовольственной безопасности" (далее - субсидии).
2. Понятия, используемые в настоящих Правилах, означают следующее:
"агровуз" - образовательная организация, реализующая образовательные программы среднего профессионального образования, высшего образования, основные программы профессионального обучения, дополнительные профессиональные программы и находящаяся в ведении Министерства сельского хозяйства Российской Федерации, Федеральной службы по ветеринарному и фитосанитарному надзору и Федерального агентства по рыболовству;
"агропромышленный комплекс" - совокупность отраслей народного хозяйства, связанных между собой экономическими отношениями в сфере производства, переработки, хранения, распределения, реализации, обмена и потребления сельскохозяйственной продукции, а также в сфере производства средств производства для указанных отраслей и их обслуживания;
"агротехнологический класс" - форма организации образовательной деятельности при реализации образовательной программы основного общего или среднего общего образования, предусматривающая углубленное изучение профильных агротехнологических предметов в рамках урочной и внеурочной деятельности;
"выплата стимулирующего характера специалисту" - выплата стимулирующего характера, установленная специалисту, включенному в список специалистов - участников ключевого проекта;
"выплата стимулирующего характера учителю" - выплата стимулирующего характера, установленная педагогическому работнику (далее - учитель), осуществляющему обучение по профильному агротехнологическому предмету в школе с агротехнологическими классами;
"заказчик ключевого проекта" - хозяйствующий субъект, заключивший контракт (договор) с образовательной организацией (научной организацией) на реализацию проекта в сфере агропромышленного комплекса и (или) проекта по созданию агротехнологического класса;
"заявитель" - индивидуальный предприниматель или организация, осуществляющие деятельность на сельских территориях, являющиеся сельскохозяйственными товаропроизводителями (кроме граждан, ведущих личное подсобное хозяйство), независимо от организационно-правовой формы, либо осуществляющие производство, первичную и (или) последующую (промышленную) переработку сельскохозяйственной продукции, дикорастущих плодов, ягод, орехов, грибов, семян и подобных лесных ресурсов, относящихся к пищевой продукции и продукции их переработки, указанной в перечнях, утвержденных Правительством Российской Федерации в соответствии с частью 1 статьи 3 и (или) подпунктом "а" пункта 1 части 1 статьи 7 Федерального закона "О развитии сельского хозяйства";
"заявитель-инвестор" - хозяйствующий субъект, который понес прямые затраты на объекты среднего профессионального образования;
"иное научное учреждение" - научная организация, находящаяся в ведении федеральных органов исполнительной власти, за исключением Министерства сельского хозяйства Российской Федерации, Федеральной службы по ветеринарному и фитосанитарному надзору и Федерального агентства по рыболовству, и исполнительных органов субъектов Российской Федерации, осуществляющая деятельность, которая предусматривает проведение научно-исследовательских, опытно-конструкторских и технологических работ, направленных на обеспечение развития и совершенствования агропромышленного комплекса;
"иной вуз" - образовательная организация, находящаяся в ведении федеральных органов исполнительной власти, за исключением Министерства сельского хозяйства Российской Федерации, Федеральной службы по ветеринарному и фитосанитарному надзору и Федерального агентства по рыболовству, и исполнительных органов субъектов Российской Федерации, реализующая образовательные программы:
среднего профессионального или высшего образования по укрупненным группам профессий, специальностей и направлений подготовки области образования "Сельское хозяйство и сельскохозяйственные науки", соответствующих федеральным государственным образовательным стандартам;
основные программы профессионального обучения по следующим группам профессий:
сельское хозяйство;
рыбоводство и рыболовство;
пищевая промышленность, включая производство напитков и табака;
лесное хозяйство, охота;
легкая и текстильная промышленность;
профессиональной переподготовки по направлениям подготовки, которые равнозначны профессиям и специальностям, указанным в абзацах четырнадцатом - восемнадцатом настоящего пункта;
"ключевой проект" - проект по созданию агротехнологического класса либо проект в сфере агропромышленного комплекса, отобранный комиссией по отбору проектов в соответствии с порядком, установленным высшим исполнительным органом субъекта Российской Федерации;
"комиссия по отбору проектов" - комиссия, создаваемая образовательной организацией (научной организацией) в соответствии с порядком, установленным высшим исполнительным органом субъекта Российской Федерации, в целях проведения отбора проектов в сфере агропромышленного комплекса и формирования списка специалистов - участников проектов в сфере агропромышленного комплекса;
"научная организация" - профильное научное учреждение и (или) иное научное учреждение;
"образовательная организация" - агровуз и (или) иной вуз;
"объект среднего профессионального образования" - здание (строение, сооружение), которое используется в процессе обучения по образовательным программам среднего профессионального образования образовательными организациями, включая учебные корпуса, учебные мастерские, общежития, спортивные объекты закрытого типа и плоскостные спортивные объекты, точки общественного питания (столовые), актовые залы, библиотеки, на реконструкцию, капитальный ремонт, модернизацию и (или) оснащение оборудованием которых заявителем-инвестором осуществлены прямые затраты;
"получатели средств" - заявители, заказчики ключевых проектов, заявители-инвесторы;
"проект в сфере агропромышленного комплекса" - проект, предусматривающий проведение научно-исследовательских, опытно-конструкторских и (или) технологических работ, осуществляемый образовательными организациями (научными организациями) на контрактной (договорной) основе для нужд хозяйствующих субъектов в целях опережающей технологической модернизации и инновационного развития агропромышленного комплекса;
"проект по созданию агротехнологического класса" - комплекс мероприятий, осуществляемый общеобразовательной организацией, расположенной в сельском населенном пункте, поселке городского типа, рабочем поселке или городе с населением до 50 тыс. человек, совместно с образовательными организациями, реализующими образовательные программы среднего профессионального и (или) высшего образования, и хозяйствующими субъектами, по созданию агротехнологического класса в соответствии с методическими рекомендациями, разработанными Министерством сельского хозяйства Российской Федерации;
"профильное научное учреждение" - научная организация, находящаяся в ведении Министерства сельского хозяйства Российской Федерации, Федеральной службы по ветеринарному и фитосанитарному надзору и Федерального агентства по рыболовству;
"профильный агротехнологический предмет" - учебный предмет, соответствующий вступительным испытаниям при приеме на обучение по специальностям и направлениям подготовки по образовательным программам среднего профессионального или высшего образования по укрупненным группам профессий, специальностей и направлений подготовки области образования "Сельское хозяйство и сельскохозяйственные науки" (за исключением профессий, специальностей и направлений подготовки, относящихся к лесному хозяйству, охоте);
"прямые затраты на объект среднего профессионального образования" - выраженные в денежной форме и документально подтвержденные расходы на реконструкцию, капитальный ремонт, модернизацию объекта среднего профессионального образования и (или) оснащение его оборудованием согласно перечню оборудования, определенному высшим исполнительным органом субъекта Российской Федерации или исполнительным органом субъекта Российской Федерации, уполномоченным высшим исполнительным органом субъекта Российской Федерации (далее - уполномоченный орган);
"прямые затраты на агротехнологические классы" - выраженные в денежной форме и документально подтвержденные расходы на капитальный ремонт и (или) оснащение оборудованием агротехнологических классов для подготовки обучающихся по профильным агротехнологическим предметам в школах с агротехнологическими классами;
"сельские территории" - сельские населенные пункты, поселки городского типа и межселенные территории (за исключением сельских населенных пунктов и поселков городского типа, входящих в состав городских округов, на территориях которых находятся административные центры субъектов Российской Федерации, гг. Москвы и Санкт-Петербурга), сельские населенные пункты и поселки городского типа, входящие в состав внутригородских муниципальных образований г. Севастополя. Перечень таких населенных пунктов, расположенных на сельских территориях субъекта Российской Федерации, определяется высшим исполнительным органом субъекта Российской Федерации или уполномоченным органом;
"специалист" - научный и (или) научно-педагогический работник, участвующий в реализации проектов в сфере агропромышленного комплекса, отобранных комиссией по отбору проектов в соответствии с порядком, установленным высшим исполнительным органом субъекта Российской Федерации, с которым образовательной организацией (научной организацией) заключен трудовой договор, соответствующий одному из следующих требований:
имеет ученую степень кандидата наук;
имеет ученую степень доктора наук;
является научно-педагогическим и (или) научным работником без ученой степени и звания;
не имеет ученой степени и звания, но имеет государственные почетные звания, является лауреатом международных и всероссийских конкурсов, лауреатом государственных премий по профилю профессиональной деятельности.
При этом к научным и научно-педагогическим работникам не относятся работники, работающие по совместительству, основным местом работы которых является иная организация (внешние совместители), а также работники, выполняющие работу по договорам гражданско-правового характера;
"студент агровуза" - гражданин Российской Федерации, проходящий обучение в агровузе;
"студент иного вуза" - гражданин Российской Федерации, проходящий обучение в ином вузе по образовательным программам, предусмотренным абзацами двенадцатом - девятнадцатом настоящего пункта;
"хозяйствующий субъект" - индивидуальный предприниматель или юридическое лицо, независимо от организационно-правовой формы;
"школа с агротехнологическим классом" - общеобразовательная организация, расположенная в сельском населенном пункте, поселке городского типа, рабочем поселке или городе с населением до 50 тыс. человек, участвующая совместно с образовательными организациями в реализации проекта по созданию агротехнологического класса.
3. Субсидии предоставляются в целях софинансирования расходных обязательств субъектов Российской Федерации, возникающих при реализации мероприятий государственных программ субъектов Российской Федерации (подпрограмм государственных программ субъектов Российской Федерации), направленных на содействие повышению кадровой обеспеченности предприятий агропромышленного комплекса и предусматривающих:
а) возмещение заявителям до 90 процентов фактически понесенных в году предоставления субсидии и (или) в году, предшествующем году предоставления субсидии, затрат по заключенным ученическим договорам и договорам о целевом обучении со студентами агровузов, а также до 30 процентов фактически понесенных в году предоставления субсидии и (или) в году, предшествующем году предоставления субсидии, затрат по заключенным ученическим договорам и договорам о целевом обучении со студентами иных вузов. При этом общий срок предоставления государственной поддержки в отношении каждого студента агровуза или студента иного вуза по заключенным ученическому договору и договору о целевом обучении не должен превышать 72 месяцев;
б) возмещение заявителям до 90 процентов фактически понесенных в году предоставления субсидии и (или) в году, предшествующем году предоставления субсидии, затрат, связанных с оплатой труда и проживанием студентов агровуза, а также до 30 процентов фактически понесенных в году предоставления субсидии и (или) в году, предшествующем году предоставления субсидии, затрат, связанных с оплатой труда и проживанием студентов иных вузов, привлеченных для прохождения практики, в том числе производственной практики, и практической подготовки или осуществляющих трудовую деятельность не более 6 месяцев в году предоставления субсидии или в году, предшествующем году предоставления субсидии, в соответствии с квалификацией, получаемой в результате освоения образовательной программы;
в) возмещение в году предоставления субсидии, а также с 2026 года - в году, предшествующем году предоставления субсидии, заказчикам ключевых проектов:
до 90 процентов фактически понесенных затрат на выплаты стимулирующего характера специалистам по заключенным контрактам с агровузами и (или) профильными научными учреждениями, а также до 30 процентов фактически понесенных затрат на выплаты стимулирующего характера специалистам по заключенным контрактам с иными вузами и (или) иными научными учреждениями;
до 95 процентов фактически понесенных затрат на выплаты стимулирующего характера учителям;
г) возмещение до 90 процентов фактически понесенных затрат юридическим лицам (за исключением инвестиционных фондов, в том числе их управляющих компаний) и индивидуальным предпринимателям на строительство (приобретение) жилья, предоставляемого специалистам агровузов (профильных научных учреждений) по договору найма жилого помещения (далее - мероприятия по строительству (приобретению) жилья, предоставляемого по договору найма жилого помещения) в пределах муниципального образования местонахождения агровуза (профильного научного учреждения) (за исключением гг. Москвы и Санкт-Петербурга), в том числе:
на приобретение жилого помещения в многоквартирном доме, соответствующего условиям, указанным в абзаце пятом подпункта "в" пункта 16 настоящих Правил, у первого и единственного собственника такого жилого помещения, зарегистрировавшего право собственности на указанное жилое помещение после получения разрешения на ввод объекта недвижимости в эксплуатацию, - юридического лица (за исключением инвестиционного фонда, в том числе его управляющей компании) или индивидуального предпринимателя;
на приобретение индивидуального жилого дома или индивидуального жилого дома с земельным участком, соответствующих условиям, указанным в абзаце пятом подпункта "в" пункта 16 настоящих Правил, у первого и единственного собственника такого индивидуального жилого дома, зарегистрировавшего право собственности на указанный индивидуальный жилой дом после получения уведомления о соответствии построенного или реконструированного объекта индивидуального жилищного строительства или садового дома требованиям законодательства о градостроительной деятельности, - юридического лица (за исключением инвестиционного фонда, в том числе его управляющей компании) или индивидуального предпринимателя;
на приобретение дома блокированной застройки или дома блокированной застройки с земельным участком, соответствующих условиям, указанным в абзаце пятом подпункта "в" пункта 16 настоящих Правил, у первого и единственного собственника такого дома блокированной застройки зарегистрировавшего право собственности на указанный дом блокированной застройки после получения разрешения на ввод объекта недвижимости в эксплуатацию, - юридического лица (за исключением инвестиционного фонда, в том числе его управляющей компании) или индивидуального предпринимателя;
на приобретение жилого помещения или жилого помещения с земельным участком (включая индивидуальные жилые дома в границах территории малоэтажного жилого комплекса, жилые помещения в домах блокированной застройки, дома блокированной застройки), соответствующих условиям, указанным в абзаце пятом подпункта "в" пункта 16 настоящих Правил, находящихся на этапе строительства, по договорам участия в долевом строительстве или заключенным заемщиками с юридическими лицами договорам уступки права требования по договорам участия в долевом строительстве в соответствии с положениями Федерального закона "Об участии в долевом строительстве многоквартирных домов и иных объектов недвижимости и о внесении изменений в некоторые законодательные акты Российской Федерации";
на приобретение у юридических лиц (за исключением инвестиционных фондов, в том числе их управляющих компаний) или у индивидуальных предпринимателей индивидуальных жилых домов на земельных участках, расположенных на территории Российской Федерации, по договорам купли-продажи, в соответствии с которыми указанные юридические лица или индивидуальные предприниматели обязуются в будущем передать в собственность индивидуальные жилые дома, соответствующие условиям, указанным в абзаце пятом подпункта "в" пункта 16 настоящих Правил, на земельных участках, расположенных на территории Российской Федерации, которые будут созданы после заключения таких договоров, и указанные земельные участки;
на приобретение по договору купли-продажи земельного участка и строительства на нем индивидуального жилого дома, дома блокированной застройки, многоквартирного жилого дома, соответствующих условиям, указанным в абзаце пятом подпункта "в" пункта 16 настоящих Правил;
на строительство индивидуального жилого дома, дома блокированной застройки, многоквартирного жилого дома, соответствующих условиям, указанным в абзаце пятом подпункта "в" пункта 16 настоящих Правил;
на участие в строительстве жилого помещения, соответствующего условиям, указанным в абзаце пятом подпункта "в" пункта 16 настоящих Правил, на основании договора инвестирования;
на строительство малоэтажных жилых комплексов, под которыми понимается совокупность не менее 10 индивидуальных жилых домов и (или) домов блокированной застройки, а также объектов инженерной инфраструктуры, уличного освещения, улично-дорожной сети, в соответствии с утвержденной документацией по планировке территории в случае, если подготовка такой документации предусмотрена законодательством Российской Федерации и иными нормативными правовыми актами Российской Федерации;
д) возмещение в году предоставления субсидии, а также с 2026 года - в году, предшествующем году предоставления субсидии:
заявителям-инвесторам - до 90 процентов прямых затрат на реконструкцию, капитальный ремонт, модернизацию и (или) оснащение оборудованием объектов среднего профессионального образования;
заказчикам ключевых проектов - до 90 процентов прямых затрат на капитальный ремонт и (или) оснащение оборудованием школ с агротехнологическими классами.
4. Возмещение заявителю фактически понесенных в году, предшествующем году предоставления субсидии, затрат, указанных в подпунктах "а" и "б" пункта 3 настоящих Правил, осуществляется в случае представления заявителем заявки на их возмещение не позднее 30 июня года предоставления субсидии.
5. Средства получателям средств на цель, указанную в абзаце втором подпункта "в" пункта 3 настоящих Правил, предоставляются в целях осуществления выплат стимулирующего характера в размере до 40 тыс. рублей в месяц на одного специалиста.
Выплаты стимулирующего характера специалистам включают расходы на осуществление централизованно установленных выплат за работу в местностях с особыми климатическими условиями и связанные с ними дополнительные расходы по оплате отпуска специалиста, отчисления на страховые взносы в государственные внебюджетные фонды.
При этом размер выплаты стимулирующего характера специалисту определяется комиссией по отбору проектов совместно с хозяйствующими субъектами, в том числе с учетом занимаемой должности, научных достижений, оценки участия специалиста в научной и научно-исследовательской деятельности, а также его занятости в реализации ключевого проекта.
6. Средства получателям средств на цель, указанную в абзаце третьем подпункта "в" пункта 3 настоящих Правил, предоставляются в целях осуществления выплат стимулирующего характера в размере до 30 тыс. рублей в месяц на одного учителя. При этом размер стимулирующей выплаты может быть увеличен по решению заказчика ключевого проекта за счет внебюджетных источников.
Выплаты стимулирующего характера учителям включают расходы на осуществление централизованно установленных выплат за работу в местностях с особыми климатическими условиями и связанные с ними дополнительные расходы по оплате отпуска учителям, отчисления на страховые взносы в государственные внебюджетные фонды.
7. Для специалиста существенным условием договора найма жилого помещения, указанного в подпункте "г" пункта 3 настоящих Правил, является работа специалиста - нанимателя жилого помещения в агровузе (профильном научном учреждении) по трудовому договору в течение не менее 5 лет со дня оформления договора найма жилого помещения.
В указанном договоре предусматривается срок работы специалиста в агровузе (профильном научном учреждении) по трудовому договору от 5 до 10 лет (по решению работодателя), по истечении 5 лет работы по трудовому договору с работодателем такой специалист имеет право на приобретение указанного жилого помещения в собственность по цене, не превышающей 20 процентов расчетной стоимости строительства (приобретения) жилья (далее - выкупная цена жилья), а по истечении 10 лет - по цене, не превышающей одного процента выкупной цены жилья. Уплата средств в размере выкупной цены жилья может производиться по усмотрению специалиста - нанимателя жилого помещения ежемесячно (ежеквартально) равными долями в течение указанного срока от 5 до 10 лет без права досрочного внесения платежей. Размер платы за наем жилого помещения в расчете на 1 кв. метр общей площади жилого помещения не может превышать максимальный размер указанной платы, который устанавливается высшим исполнительным органом субъекта Российской Федерации или уполномоченным органом в соответствии с частью 3 статьи 156.1 Жилищного кодекса Российской Федерации.
В случае несоблюдения специалистом - нанимателем жилого помещения условия, предусмотренного абзацем первым настоящего пункта, с ним расторгается договор найма жилого помещения и специалист - наниматель жилого помещения лишается права приобретения жилого помещения в собственность по выкупной цене жилья.
8. Для получателей средств в целях возмещения прямых затрат на объекты среднего профессионального образования в отношении агровузов устанавливается преимущество при возмещении затрат.
Для получателей средств, отнесенных в соответствии с условиями, определенными Федеральным законом "О развитии малого и среднего предпринимательства в Российской Федерации", к малым предприятиям, в том числе к микропредприятиям, устанавливается преимущество при возмещении указанных затрат.
9. Для получателей средств, использующих право на освобождение от исполнения обязанностей налогоплательщика, связанных с исчислением и уплатой налога на добавленную стоимость, финансовое обеспечение (возмещение) части затрат осуществляется исходя из суммы расходов на приобретение товаров (работ, услуг), включая сумму налога на добавленную стоимость.
10. Субсидии предоставляются при соблюдении следующих условий:
а) наличие правовых актов субъекта Российской Федерации, утверждающих перечень мероприятий (результатов), при реализации которых возникают расходные обязательства субъекта Российской Федерации, в целях софинансирования которых предоставляется субсидия, в соответствии с требованиями нормативных правовых актов Российской Федерации;
б) наличие в бюджете субъекта Российской Федерации бюджетных ассигнований на исполнение расходного обязательства субъекта Российской Федерации, софинансирование которого осуществляется из федерального бюджета, в объеме, необходимом для его исполнения, включающем размер планируемой к предоставлению из федерального бюджета субсидии;
в) заключение между Министерством сельского хозяйства Российской Федерации и высшим исполнительным органом субъекта Российской Федерации соглашения о предоставлении субсидии в соответствии с пунктом 10 Правил формирования, предоставления и распределения субсидий из федерального бюджета бюджетам субъектов Российской Федерации, утвержденных постановлением Правительства Российской Федерации от 30 сентября 2014 г. N 999 "О формировании, предоставлении и распределении субсидий из федерального бюджета бюджетам субъектов Российской Федерации" (далее соответственно - Правила предоставления субсидий, соглашение).
11. Критериями отбора субъектов Российской Федерации для предоставления субсидий является наличие заявки на предоставление субсидии на очередной финансовый год и плановый период (далее - заявка), рекомендуемый образец которой размещается на официальном сайте Министерства сельского хозяйства Российской Федерации в информационно-телекоммуникационной сети "Интернет" (далее - официальный сайт), с приложением следующих документов:
а) для предоставления субсидии на цели, указанные в подпункте "а" пункта 3 настоящих Правил, - перечень заявителей, заключающих ученические договоры и договоры о целевом обучении со студентами агровуза и студентами иных вузов;
б) для предоставления субсидии на цели, указанные в подпункте "б" пункта 3 настоящих Правил, - перечень заявителей, несущих затраты на оплату труда и проживание студентов агровузов и студентов иных вузов, привлеченных для прохождения практики, в том числе производственной практики, и практической подготовки или осуществляющих трудовую деятельность не более 6 месяцев в году предоставления субсидии или в году, предшествующем году предоставления субсидии, в соответствии с квалификацией, получаемой в результате освоения образовательной программы;
в) для предоставления субсидии на цели, указанные в абзаце втором подпункта "в" пункта 3 настоящих Правил:
перечень заказчиков ключевых проектов, заключающих контракты (договоры) с образовательной организацией (научной организацией) на реализацию проекта в сфере агропромышленного комплекса;
списки специалистов (с указанием размера ежемесячной выплаты стимулирующего характера) на соответствующий финансовый период, подтвержденные образовательной организацией (научной организацией), а также хозяйствующими субъектами в соответствии с порядком, установленным высшим исполнительным органом субъекта Российской Федерации;
перечень проектов в сфере агропромышленного комплекса, отобранных комиссией по отбору проектов в соответствии с порядком, установленным высшим исполнительным органом субъекта Российской Федерации;
г) для предоставления субсидии на цели, указанные в абзаце третьем подпункта "в" пункта 3 настоящих Правил, - перечень заказчиков ключевых проектов, несущих затраты на выплаты стимулирующего характера учителям, с указанием перечня учителей;
д) для предоставления субсидии на цели, указанные в подпункте "г" пункта 3 настоящих Правил:
перечень заказчиков ключевых проектов;
перечень проектов в сфере агропромышленного комплекса, отобранных комиссией по отбору проектов в соответствии с порядком, установленным высшим исполнительным органом субъекта Российской Федерации;
списки специалистов - получателей жилья по договору найма жилых помещений на соответствующий финансовый период, подтвержденные агровузом (профильным научным учреждением), хозяйствующими субъектами в соответствии с порядком, установленным высшим исполнительным органом субъекта Российской Федерации;
реестр планируемых к строительству (приобретению) жилых помещений, предоставляемых специалистам агровузов (профильных научных учреждений) по договору найма жилого помещения, в целях возмещения затрат на строительство (приобретение) которых планируется предоставление субсидии, с указанием наименования мероприятия по строительству (приобретению) жилья, предоставляемого по договору найма жилого помещения, его местонахождения, мощности (площади в квадратных метрах), сроков строительства и ввода в эксплуатацию, сметной стоимости строительства объекта капитального строительства, объема бюджетных ассигнований бюджета субъекта Российской Федерации, в целях софинансирования которых предоставляется субсидия;
паспорт проекта малоэтажного жилого комплекса, указанного в абзаце десятом подпункта "г" пункта 3 настоящих Правил (в случае если в рамках реализации мероприятия по строительству (приобретению) жилья, предоставляемого по договору найма жилого помещения, предусматривается его строительство или приобретение), рекомендуемый образец которого размещается на официальном сайте;
письма юридических лиц и (или) индивидуальных предпринимателей, подтверждающие финансирование мероприятий по строительству (приобретению) жилья, предоставляемого по договору найма жилого помещения, предоставленные не ранее чем за 3 месяца до направления заявки в Министерство сельского хозяйства Российской Федерации;
документальное подтверждение отсутствия на 1 января года, предшествующего году предоставления субсидии, жилых помещений, на строительство (приобретение) которых соответствующему субъекту Российской Федерации были предоставлены субсидии, но жилые помещения построены (приобретены) не были;
копия утвержденной проектной документации и копии иных утвержденных документов, подготавливаемых в соответствии со статьей 48 Градостроительного кодекса Российской Федерации в отношении дома блокированной застройки, многоквартирного жилого дома (в случае если подготовка такой документации предусмотрена законодательством Российской Федерации);
копия заключения государственной экспертизы проектной документации и результатов инженерных изысканий, проводимой в соответствии с постановлением Правительства Российской Федерации от 5 марта 2007 г. N 145 "О порядке организации и проведения государственной экспертизы проектной документации и результатов инженерных изысканий" (далее - государственная экспертиза), включающего проверку достоверности определения сметной стоимости строительства, реконструкции, капитального ремонта в отношении дома блокированной застройки, многоквартирного жилого дома (в случае если такое заключение предусмотрено законодательством Российской Федерации).
В случае отсутствия документов, указанных в абзацах пятом и шестом настоящего подпункта, на день подачи заявки в рамках мероприятия по строительству (приобретению) жилья, предоставляемого по договору найма жилого помещения, субъект Российской Федерации представляет указанные документы в Министерство сельского хозяйства Российской Федерации до 1 октября года подачи заявки в рамках мероприятия по строительству (приобретению) жилья, предоставляемого по договору найма жилого помещения;
е) для предоставления субсидии на цели, указанные в абзаце втором подпункта "д" пункта 3 настоящих Правил:
перечень заявителей-инвесторов, несущих прямые затраты на реконструкцию, капитальный ремонт, модернизацию и (или) оснащение оборудованием объектов среднего профессионального образования, с приложением писем указанных заявителей-инвесторов, подтверждающих планируемое участие в софинансировании, выданных не ранее чем за 3 месяца до направления заявки;
документальное подтверждение потребности образовательной организации в проведении заявленных работ по реконструкции, капитальному ремонту, модернизации и (или) оснащению оборудованием объектов среднего профессионального образования, используемых в образовательном процессе;
подписанное руководителем заявителя-инвестора или уполномоченным им лицом письмо о суммах понесенных и (или) планируемых в соответствующем финансовом году прямых затрат на реконструкцию, капитальный ремонт, модернизацию и (или) оснащение оборудованием объектов среднего профессионального образования;
ж) для предоставления субсидии на цели, указанные в абзаце третьем подпункта "д" пункта 3 настоящих Правил:
перечень заказчиков ключевых проектов, несущих прямые затраты на капитальный ремонт и (или) оснащение оборудованием школ с агротехнологическими классами;
документальное подтверждение потребности общеобразовательной организации, согласованной с заказчиком ключевого проекта, в проведении заявленных работ по капитальному ремонту и (или) оснащению оборудованием школ с агротехнологическими классами, используемым в образовательном процессе;
подписанное руководителем заказчика ключевого проекта или уполномоченным им лицом письмо о суммах понесенных и (или) планируемых в соответствующем финансовом году прямых затрат на капитальный ремонт и (или) оснащение оборудованием школ с агротехнологическими классами.
12. Рекомендуемые образцы перечней и списков, предусмотренных подпунктами "а" и "б", абзацами вторым - четвертым подпункта "в", подпунктом "г", абзацем вторым - четвертым подпункта "д", абзацем вторым подпункта "е", абзацем вторым подпункта "ж" пункта 11 настоящих Правил, размещаются на официальном сайте.
При распределении субсидий на 2025 год документы, указанные в подпунктах "в" - "ж" пункта 11 настоящих Правил, представляются субъектами Российской Федерации в Министерство сельского хозяйства Российской Федерации до 15 февраля 2025 г.
13. В целях эффективного использования субсидии, а также подтверждения запрашиваемых объемов субсидии вместе с заявкой субъектом Российской Федерации направляются в Министерство сельского хозяйства Российской Федерации следующие документы:
а) подтверждающие стоимостные и объемные характеристики мероприятий по реконструкции, капитальному ремонту, модернизации объектов среднего профессионального образования, а также по капитальному ремонту школ с агротехнологическими классами, включенных в заявку:
копия утвержденной проектной документации и копии иных утвержденных документов, подготавливаемых в соответствии со статьей 48 Градостроительного кодекса Российской Федерации (в случае если подготовка такой документации предусмотрена законодательством Российской Федерации);
копия заключения государственной экспертизы (в случае если такое заключение предусмотрено законодательством Российской Федерации);
б) подтверждающие стоимостные и объемные характеристики мероприятий по оснащению оборудованием объектов среднего профессионального образования и (или) школ с агротехнологическими классами, включенных в заявку:
результаты проведенного анализа обоснованности закупочных цен (с приложением подтверждающих документов), включающего сведения о соответствии закупаемых товаров и (или) оборудования требованиям законодательства Российской Федерации;
технико-экономическое обоснование приобретения оборудования, содержащее обоснование целесообразности его приобретения (в том числе планируемый режим его использования), включающее анализ затрат на приобретение и эксплуатацию промышленной продукции, а также заключение о подтверждении производства промышленной продукции на территории Российской Федерации, выданное до даты вступления в силу постановления Правительства Российской Федерации от 29 июня 2024 г. N 894 "О внесении изменений в некоторые акты Правительства Российской Федерации" и действительное до окончания срока действия такого заключения, либо заключение об отнесении продукции к промышленной продукции, не имеющей произведенных в Российской Федерации аналогов, выданное в соответствии с Правилами отнесения продукции к промышленной продукции, не имеющей произведенных в Российской Федерации аналогов, утвержденными постановлением Правительства Российской Федерации от 20 сентября 2017 г. N 1135 "Об отнесении продукции к промышленной продукции, не имеющей произведенных в Российской Федерации аналогов, и внесении изменений в некоторые акты Правительства Российской Федерации";
в) план-график реализации мероприятий по содействию повышению кадровой обеспеченности предприятий агропромышленного комплекса, рекомендуемый образец которого размещается на официальном сайте.
14. В случае отсутствия документов, указанных в подпунктах "а" - "в" пункта 13 настоящих Правил, на день подачи заявки, уполномоченный орган представляет указанные документы в Министерство сельского хозяйства Российской Федерации до 1 октября года подачи заявки.
Если представляемые в соответствии с подпунктами "а" и "б" пункта 13 настоящих Правил документы влекут изменение стоимости мероприятий, указанных в подпунктах "а" и "б" пункта 13 настоящих Правил, уполномоченным органом одновременно с копиями данных документов представляется заявка, скорректированная с учетом изменения стоимости таких мероприятий.
При распределении субсидий на 2025 год документы, указанные в подпунктах "а" - "в" пункта 13 настоящих Правил, представляются субъектами Российской Федерации в Министерство сельского хозяйства Российской Федерации до 15 февраля 2025 г.
15. Документы, подтверждающие соответствие субъекта Российской Федерации критериям отбора, указанным в пункте 11 настоящих Правил, представляются уполномоченным органом в установленном Министерством сельского хозяйства Российской Федерации порядке, в том числе в электронном виде.
В случае направления неполного комплекта документов, предусмотренных подпунктами "а" и "б" пункта 13 и абзацем первым настоящего пункта, либо содержания в представленных документах недостоверных сведений Министерство сельского хозяйства Российской Федерации в установленном порядке направляет уведомление об отказе в рассмотрении документов.
16. Средства предоставляются получателям средств с учетом следующих условий:
а) на цели, указанные в подпункте "а" пункта 3 настоящих Правил, - студенты агровуза или студенты иного вуза, в отношении которых заключены ученические договоры и (или) договоры о целевом обучении, по которым предоставляется субсидия, отчисленные за неуспеваемость или нерегулярное посещение занятий без уважительной причины, отчисленные по собственному желанию, не исполнившие или исполнившие не в полном объеме обязательства по осуществлению трудовой деятельности после окончания обучения, обязаны возместить в полном объеме расходы, связанные с предоставлением им в период обучения мер поддержки, а также лишаются права участия в мероприятиях, указанных в пункте 3 настоящих Правил;
б) на цели, указанные в подпункте "в" пункта 3 настоящих Правил, - установление специалистам и учителям выплат стимулирующего характера не может являться основанием для снижения размера или отмены ранее установленных окладов, иных выплат компенсационного и стимулирующего характера;
в) на цели, указанные в подпункте "г" пункта 3 настоящих Правил:
специалистам, ранее реализовавшим право на строительство (приобретение) жилья с использованием средств государственной поддержки за счет средств федерального бюджета, бюджета субъекта Российской Федерации и (или) местных бюджетов, государственная поддержка не оказывается;
специалист должен быть признан нуждающимся в получении жилого помещения, предоставляемого по договору найма жилого помещения, по тем же основаниям, которые установлены статьей 51 Жилищного кодекса Российской Федерации для признания граждан нуждающимися в жилых помещениях, предоставляемых по договорам социального найма, либо не иметь жилья на территории субъекта Российской Федерации, где находится образовательная организация (научная организация);
максимальный объем затрат, который может быть учтен при расчете размера субсидии, не может превышать расчетную стоимость строительства (приобретения) жилого помещения, которая определяется исходя из размера общей площади жилого помещения, установленного для семей разной численности (33 кв. метра - для одиноко проживающего гражданина, 42 кв. метра - на семью из 2 человек, по 18 кв. метров - на каждого члена семьи при численности семьи, состоящей из 3 и более человек), за исключением расчетной стоимости строительства (приобретения) индивидуального жилого дома, дома блокированной застройки, для которых она устанавливается исходя из размера общей площади жилого помещения, установленного для семей разной численности (72 кв. метра - для одиноко проживающего гражданина или на семью из 2, 3 или 4 человек либо по 18 кв. метров на каждого члена семьи при численности семьи, состоящей из 5 и более человек), и средней рыночной стоимости 1 кв. метра общей площади жилого помещения в субъекте Российской Федерации, определяемой Министерством строительства и жилищно-коммунального хозяйства Российской Федерации в установленном порядке, на квартал предоставления в Министерство сельского хозяйства Российской Федерации заявки;
жилое помещение, строящееся (приобретаемое) для предоставления по договору найма жилого помещения специалисту, должно быть пригодным для постоянного проживания, обеспечено централизованными или автономными инженерными системами (электроосвещение, водоснабжение, водоотведение, отопление, а в газифицированных районах - газоснабжение), не меньше размера, равного учетной норме площади жилого помещения в расчете на одного члена семьи, установленной органом местного самоуправления или уполномоченным органом города федерального значения;
г) на цели, указанные в абзаце втором подпункта "д" пункта 3 настоящих Правил:
максимальный объем прямых затрат на объект среднего профессионального образования, который может быть учтен при расчете размера субсидии, не может превышать 250 тыс. рублей на 1 кв. метр;
прямые затраты на объект среднего профессионального образования осуществлены в рублях не ранее 1 января 2025 г.;
документально подтвержден фактический объем прямых затрат на объект среднего профессионального образования, включенный в соглашение, при этом прямые затраты на реконструкцию, капитальный ремонт, модернизацию объектов среднего профессионального образования возмещаются по завершении указанных работ в полном объеме либо по мере предоставления актов о приемке выполненных работ;
должно быть обеспечено не менее 10 процентов объема прямых затрат на объект среднего профессионального образования за счет средств внебюджетных источников, при наличии затрат заявителя-инвестора, понесенных на разработку проектно-сметной документации и (или) прохождение государственной экспертизы, указанный объем засчитывается в счет средств внебюджетных источников;
д) на цели, указанные в абзаце третьем подпункта "д" пункта 3 настоящих Правил:
максимальный объем прямых затрат на агротехнологические классы, который может быть учтен при расчете размера субсидии, не может превышать 100 тыс. рублей на 1 кв. метр по капитальному ремонту и (или) 5 млн. рублей на оснащение;
прямые затраты на агротехнологические классы осуществлены в рублях не ранее 1 января 2025 г.;
документально подтвержден фактический объем прямых затрат на агротехнологические классы, включенный в соглашение, а также завершена в полном объеме реализация мероприятия, предусмотренного абзацем третьем подпункта "д" пункта 3 настоящих Правил.
17. При распределении субсидий между субъектами Российской Федерации размер субсидии в очередном финансовом году не может превышать размер средств на исполнение в очередном финансовом году расходного обязательства субъекта Российской Федерации, в целях софинансирования которого предоставляется субсидия, с учетом предельного уровня софинансирования расходного обязательства субъекта Российской Федерации из федерального бюджета.
18. Субсидии предоставляются в пределах лимитов бюджетных обязательств, доведенных до Министерства сельского хозяйства Российской Федерации как получателя средств федерального бюджета на предоставление субсидии на цели, указанные в пункте 3 настоящих Правил.
19. Размер субсидии, предоставляемой бюджету i-го субъекта Российской Федерации (Sсумi), определяется по формуле:
Sсумi = Sцоi + Sпрi + Sстимi + Sнпi + Sспоi,
где:
Sцоi - размер субсидии, предоставляемой бюджету i-го субъекта Российской Федерации в целях софинансирования реализации мероприятия, указанного в подпункте "а" пункта 3 настоящих Правил;
Sпрi - размер субсидии, предоставляемой бюджету i-го субъекта Российской Федерации в целях софинансирования реализации мероприятия, указанного в подпункте "б" пункта 3 настоящих Правил;
Sстимi - размер субсидии, предоставляемой бюджету i-го субъекта Российской Федерации в целях софинансирования реализации мероприятий, указанных в подпункте "в" пункта 3 настоящих Правил;
Sнпi - размер субсидии, предоставляемой бюджету i-го субъекта Российской Федерации в целях софинансирования реализации мероприятия, указанного в подпункте "г" пункта 3 настоящих Правил;
Sспоi - размер субсидии, предоставляемой бюджету i-го субъекта Российской Федерации в целях софинансирования реализации мероприятий, указанных в подпункте "д" пункта 3 настоящих Правил.
20. Размер субсидии, предоставляемой бюджету i-го субъекта Российской Федерации в целях софинансирования реализации мероприятия, указанного в подпункте "а" пункта 3 настоящих Правил (Sцоi), определяется по формуле:

где:
S - общий объем бюджетных ассигнований на предоставление субсидий в целях софинансирования расходных обязательств субъектов Российской Федерации на реализацию мероприятия, указанного в подпункте "а" пункта 3 настоящих Правил, предусмотренных в федеральном законе о федеральном бюджете на соответствующий финансовый год Министерству сельского хозяйства Российской Федерации (тыс. рублей);
Ziцо/сх - понесенные в году, предшествующем году предоставления субсидии, и (или) планируемые в соответствующем финансовом году затраты заявителей по заключенным ученическим договорам и договорам о целевом обучении со студентами агровузов, по данным уполномоченного органа i-го субъекта Российской Федерации (тыс. рублей);
Ziцо/ио - понесенные в году, предшествующем году предоставления субсидии, и (или) планируемые в соответствующем финансовом году затраты заявителей по заключенным ученическим договорам и договорам о целевом обучении со студентами иных вузов, по данным уполномоченного органа i-го субъекта Российской Федерации (тыс. рублей);
Yi - предельный уровень софинансирования расходного обязательства i-го субъекта Российской Федерации из федерального бюджета на очередной финансовый год (процентов), определяемый в соответствии с пунктом 13 Правил предоставления субсидий;
nцо - количество субъектов Российской Федерации, представивших заявки на реализацию мероприятия, указанного в подпункте "а" пункта 3 настоящих Правил.
21. Размер субсидии, предоставляемой бюджету i-го субъекта Российской Федерации в целях софинансирования реализации мероприятия, указанного в подпункте "б" пункта 3 настоящих Правил (Sпрi), определяется по формуле:

где:
Sпп - общий объем бюджетных ассигнований на предоставление субсидий в целях софинансирования расходных обязательств субъектов Российской Федерации на реализацию мероприятия, указанного в подпункте "б" пункта 3 настоящих Правил, предусмотренных в федеральном законе о федеральном бюджете на соответствующий финансовый год Министерству сельского хозяйства Российской Федерации (тыс. рублей);
Ziпр/сх - понесенные в году, предшествующем году предоставления субсидии, и (или) планируемые в соответствующем финансовом году затраты заявителей на оплату труда и проживание студентов агровузов, привлеченных для прохождения практики, в том числе производственной практики, и практической подготовки или осуществляющих трудовую деятельность не более 6 месяцев в году предоставления субсидии или в году, предшествующем году предоставления субсидии, в соответствии с квалификацией, получаемой в результате освоения образовательной программы, по данным уполномоченного органа i-го субъекта Российской Федерации (тыс. рублей);
Ziпр/ио - понесенные в году, предшествующем году предоставления субсидии, и (или) планируемые в соответствующем финансовом году затраты заявителей на оплату труда и проживание студентов иных вузов, привлеченных для прохождения практики, в том числе производственной практики, и практической подготовки или осуществляющих трудовую деятельность не более 6 месяцев в году предоставления субсидии или в году, предшествующем году предоставления субсидии, в соответствии с квалификацией, получаемой в результате освоения образовательной программы, по данным уполномоченного органа i-го субъекта Российской Федерации (тыс. рублей);
nпр - количество субъектов Российской Федерации, представивших заявки на реализацию мероприятия, указанного в подпункте "б" пункта 3 настоящих Правил.
22. Размер субсидии, предоставляемой бюджету i-го субъекта Российской Федерации в целях софинансирования реализации мероприятий, указанных в подпункте "в" пункта 3 настоящих Правил (Sстимi), определяется по формуле:

где:
Sв - общий объем бюджетных ассигнований на предоставление субсидий в целях софинансирования расходных обязательств субъектов Российской Федерации на реализацию мероприятий, указанных в подпункте "в" пункта 3 настоящих Правил, предусмотренных в федеральном законе о федеральном бюджете на соответствующий финансовый год Министерству сельского хозяйства Российской Федерации (тыс. рублей);
Bi1 - понесенные в году, предшествующем году предоставления субсидии, и (или) планируемые в соответствующем финансовом году затраты заявителей-инвесторов на выплаты стимулирующего характера специалистам по заключенным с агровузами (профильными научными учреждениями) контрактам (договорам) на реализацию проектов в сфере агропромышленного комплекса, по данным уполномоченного органа i-го субъекта Российской Федерации (тыс. рублей);
Bi2 - понесенные в году, предшествующем году предоставления субсидии, и (или) планируемые в соответствующем финансовом году затраты заявителей-инвесторов на выплаты стимулирующего характера специалистам по заключенным с иными вузами (иными научными учреждениями) контрактам (договорам) на реализацию проектов в сфере агропромышленного комплекса, по данным уполномоченного органа i-го субъекта Российской Федерации (тыс. рублей);
Bi3 - понесенные в году, предшествующем году предоставления субсидии, и (или) планируемые в соответствующем финансовом году затраты заказчиков ключевых проектов на выплаты стимулирующего характера учителям, по данным уполномоченного органа i-го субъекта Российской Федерации (тыс. рублей);
nстим - количество субъектов Российской Федерации, представивших заявки на реализацию мероприятий, указанных в подпункте "в" пункта 3 настоящих Правил.
23. Размер субсидии, предоставляемой бюджету i-го субъекта Российской Федерации в целях софинансирования реализации мероприятия, указанного в подпункте "г" пункта 3 настоящих Правил (Sнпi), определяется по формуле:

где:
Sн - общий объем бюджетных ассигнований на предоставление субсидий в целях софинансирования расходных обязательств субъектов Российской Федерации на реализацию мероприятия, указанного в подпункте "г" пункта 3 настоящих Правил, предусмотренных в федеральном законе о федеральном бюджете на соответствующий финансовый год Министерству сельского хозяйства Российской Федерации (тыс. рублей);
Vmin - минимальный размер субсидии на строительство (приобретение) жилья, предоставляемого по договору найма жилого помещения, составляющий 1 млн. рублей. В случае если размер потребности в субсидии, предусмотренный заявкой в рамках мероприятия, указанного в подпункте "г" пункта 3 настоящих Правил, меньше минимального размера субсидии на строительство (приобретение) жилья, предоставляемого по договору найма жилого помещения, то субсидия на строительство (приобретение) жилья, предоставляемого по договору найма жилого помещения, предоставляется в размере, указанном в заявке в рамках мероприятия по строительству (приобретению) жилья, предоставляемого по договору найма жилого помещения;
ДНУ - доля участников мероприятия по строительству (приобретению) жилья, предоставляемого по договору найма жилого помещения, включенных в заявку в рамках мероприятия по строительству (приобретению) жилья, предоставляемого по договору найма жилого помещения, в i-м субъекте Российской Федерации в общем числе участников мероприятий по строительству (приобретению) жилья, предоставляемого по договору найма жилого помещения, определяемая по данным уполномоченного органа i-го субъекта Российской Федерации на очередной финансовый год и плановый период, планирующих улучшить жилищные условия;
m - количество субъектов Российской Федерации, представивших заявки на реализацию мероприятия, указанного в подпункте "г" пункта 3 настоящих Правил.
24. Размер субсидии, предоставляемой бюджету i-го субъекта Российской Федерации в целях софинансирования реализации мероприятий, указанных в подпункте "д" пункта 3 настоящих Правил (Sспоi), определяется по формуле:

где:
Sсв - общий объем бюджетных ассигнований на предоставление субсидий в целях софинансирования расходных обязательств субъектов Российской Федерации на реализацию мероприятия, указанного в абзаце втором подпункта "д" пункта 3 настоящих Правил, предусмотренных в федеральном законе о федеральном бюджете на соответствующий финансовый год Министерству сельского хозяйства Российской Федерации (тыс. рублей);
Sш - общий объем бюджетных ассигнований на предоставление субсидий в целях софинансирования расходных обязательств субъектов Российской Федерации на реализацию мероприятия, указанного в абзаце третьем подпункта "д" пункта 3 настоящих Правил, предусмотренных в федеральном законе о федеральном бюджете на соответствующий финансовый год Министерству сельского хозяйства Российской Федерации (тыс. рублей);
СПОi - понесенные в году, предшествующем году предоставления субсидии, прямые затраты заявителей-инвесторов на реконструкцию, капитальный ремонт, модернизацию и (или) оснащение оборудованием объектов среднего профессионального образования, по данным уполномоченного органа i-го субъекта Российской Федерации (тыс. рублей);
p - количество субъектов Российской Федерации, представивших заявки на реализацию мероприятия, указанного в абзаце втором подпункта "д" пункта 3 настоящих Правил, в части прямых затрат на объекты среднего профессионального образования;
Шi - понесенные в году, предшествующем году предоставления субсидии, прямые затраты заказчиков ключевых проектов на капитальный ремонт и (или) оснащение оборудованием школ с агротехнологическими классами, по данным уполномоченного органа i-го субъекта Российской Федерации (тыс. рублей);
k - количество субъектов Российской Федерации, представивших заявки на реализацию мероприятия, указанного в абзаце третьем подпункта "д" пункта 3 настоящих Правил, в части прямых затрат на школы с агротехнологическими классами.
25. При распределении субсидий в целях софинансирования реализации мероприятия, указанного в абзаце втором подпункта "д" пункта 3 настоящих Правил, на соответствующий финансовый год приоритет имеют субъекты Российской Федерации, представившие заявки на возмещение прямых затрат на объекты среднего профессионального образования, относящихся к агровузам.
26. Размер субсидии, определяемый в соответствии с пунктами 19 - 24 настоящих Правил, уточняется в соответствии с заявкой.
В случае если размер субсидии, определяемый в соответствии с пунктами 19 - 24 настоящих Правил, больше запрашиваемого в заявке размера, размер субсидии подлежит сокращению до размера, указанного в заявке.
Высвобождающиеся средства перераспределяются между бюджетами субъектов Российской Федерации, имеющих право на получение субсидий в соответствии с настоящими Правилами, пропорционально размеру субсидий, определяемому в соответствии с пунктами 19 - 24 настоящих Правил.
В случае если при формировании проекта федерального закона о федеральном бюджете на очередной финансовый год и плановый период субъектом Российской Федерации до 1 августа текущего финансового года представлено в Министерство сельского хозяйства Российской Федерации обращение, содержащее информацию об отсутствии частичной или полной потребности в субсидии, невостребованная субсидия распределяется между бюджетами других субъектов Российской Федерации, имеющих право на получение субсидии в соответствии с настоящими Правилами, в случаях и порядке, предусмотренных бюджетным законодательством Российской Федерации.
27. В случае возникновения экономии в результате заключения государственных (муниципальных) контрактов на закупку товаров, работ, услуг для обеспечения государственных нужд субъекта Российской Федерации (муниципальных нужд) субъектом Российской Федерации не могут быть направлены предложения о внесении изменений в соглашение в части сокращения расходов, источником которых являются внебюджетные средства.
28. В целях повышения эффективности использования субсидии, предоставленной на мероприятие, предусмотренное подпунктом "г" пункта 3 настоящих Правил, в соглашение включается обязательство субъекта Российской Федерации по обеспечению заключения договоров найма жилого помещения не позднее 4 месяцев после ввода объекта в эксплуатацию.
29. Субсидия предоставляется на основании соглашения, подготовленного (сформированного) с использованием государственной интегрированной информационной системы управления общественными финансами "Электронный бюджет" в соответствии с типовой формой, утвержденной Министерством финансов Российской Федерации.
30. Субъект Российской Федерации может увеличить объем бюджетных ассигнований на финансовое обеспечение своих расходных обязательств, в целях софинансирования которых бюджету субъекта Российской Федерации предоставляется субсидия, в том числе в целях достижения значений результатов использования субсидий, установленных соглашением, что не повлечет за собой возникновения обязательств по увеличению размера субсидии.
31. Перераспределение бюджетных ассигнований бюджета субъекта Российской Федерации на исполнение расходных обязательств, в целях софинансирования которых предоставляется субсидия, между мероприятиями, предусмотренными пунктом 3 настоящих Правил, допускается при условии достижения результатов использования субсидии, предусмотренных пунктом 32 настоящих Правил, и согласования такого распределения Министерством сельского хозяйства Российской Федерации.
32. Эффективность использования субсидий оценивается ежегодно Министерством сельского хозяйства Российской Федерации на основе достижения значений следующих результатов использования субсидии:
а) направлены на обучение граждане Российской Федерации для сельскохозяйственных товаропроизводителей и организаций, осуществляющих переработку сельскохозяйственной продукции, на сельских территориях, человек;
б) привлечены обучающиеся для прохождения практики и осуществления трудовой деятельности к сельскохозяйственным товаропроизводителям и организациям, осуществляющим переработку сельскохозяйственной продукции, на сельских территориях, человек;
в) привлечены специалисты в реализацию ключевых проектов в сфере агропромышленного комплекса за счет предоставления выплат стимулирующего характера, человек;
г) осуществлено строительство (приобретение) жилья, предоставляемого специалистам, вовлеченным в реализацию ключевых проектов агропромышленного комплекса, по договору найма жилого помещения, кв. метров;
д) модернизированы объекты в целях привлечения квалифицированных рабочих и специалистов среднего звена на предприятия агропромышленного комплекса, кв. метров.
33. Оценка эффективности использования субсидий по результатам использования субсидии производится путем сравнения фактически достигнутых значений результатов использования субсидии за соответствующий год со значениями результатов использования субсидии, предусмотренными соглашениями.
34. Оценка эффективности использования субсидии по результатам использования субсидии, предусмотренным пунктом 32 настоящих Правил, осуществляется на основании отчета об эффективности использования средств по форме и в срок, которые устанавливаются Министерством сельского хозяйства Российской Федерации.
Уполномоченные органы размещают в сроки, установленные соглашением, в государственной интегрированной информационной системе управления общественными финансами "Электронный бюджет" отчетность о расходах, в целях софинансирования которых предоставляется субсидия, а также отчетность о достижении значений результатов использования субсидии.
35. В случае если субъектом Российской Федерации по состоянию на 31 декабря года предоставления субсидии не выполнены условия соглашения, в том числе допущены нарушения обязательств, предусмотренных соглашением в соответствии с подпунктом "б(1)" пункта 10 Правил предоставления субсидий, и до дня представления отчета о достижении значений результатов использования субсидии, указанных в пункте 32 настоящих Правил, в соответствии с соглашением в году, следующем за годом предоставления субсидии, указанные нарушения не устранены, размер средств, подлежащих возврату из бюджета субъекта Российской Федерации в федеральный бюджет до 1 июня года, следующего за годом предоставления субсидии, рассчитывается в соответствии с пунктами 16 - 19(1) Правил предоставления субсидий.
36. Перечисление субсидий осуществляется в установленном порядке на единые счета бюджетов, открытые финансовым органам субъектов Российской Федерации в территориальных органах Федерального казначейства.
37. Освобождение субъектов Российской Федерации от применения мер ответственности, предусмотренных пунктом 35 настоящих Правил, а также возврат средств из бюджета субъекта Российской Федерации в федеральный бюджет осуществляются в соответствии с пунктом 20 Правил предоставления субсидий.
38. В случае нарушения целей, установленных при предоставлении субсидии, применяются бюджетные меры принуждения, предусмотренные бюджетным законодательством Российской Федерации.
39. Ответственность за достоверность представляемых в Министерство сельского хозяйства Российской Федерации сведений и соблюдение условий предоставления субсидий возлагается на высший исполнительный орган субъекта Российской Федерации или уполномоченный орган.
40. Контроль за соблюдением субъектами Российской Федерации условий предоставления субсидий осуществляется Министерством сельского хозяйства Российской Федерации и уполномоченными органами государственного финансового контроля.
Приложение N 22(1)
к Государственной программе развития
сельского хозяйства и регулирования
рынков сельскохозяйственной продукции,
сырья и продовольствия
ПРАВИЛА
ПРЕДОСТАВЛЕНИЯ И РАСПРЕДЕЛЕНИЯ СУБСИДИЙ ИЗ ФЕДЕРАЛЬНОГО
БЮДЖЕТА БЮДЖЕТАМ СУБЪЕКТОВ РОССИЙСКОЙ ФЕДЕРАЦИИ В ЦЕЛЯХ
СОФИНАНСИРОВАНИЯ РАСХОДНЫХ ОБЯЗАТЕЛЬСТВ СУБЪЕКТОВ РОССИЙСКОЙ
ФЕДЕРАЦИИ ПО ВОЗМЕЩЕНИЮ ЧАСТИ ЗАТРАТ, ВОЗНИКАЮЩИХ
ПРИ РЕАЛИЗАЦИИ МЕРОПРИЯТИЙ ПО РАЗВИТИЮ ГЕНОМНОЙ
СЕЛЕКЦИИ В ОБЛАСТИ ПЛЕМЕННОГО ЖИВОТНОВОДСТВА
1. Настоящие Правила устанавливают условия и порядок предоставления и распределения субсидий из федерального бюджета бюджетам субъектов Российской Федерации в целях софинансирования расходных обязательств субъектов Российской Федерации по возмещению части затрат, возникающих при реализации мероприятий государственных программ субъектов Российской Федерации (подпрограмм государственных программ субъектов Российской Федерации), направленных на развитие геномной селекции в области племенного животноводства, обеспечивающих достижение целей, показателей и мероприятий (результатов) федерального проекта "Создание условий для развития научных разработок в селекции и генетике", входящего в состав национального проекта по обеспечению технологического лидерства "Технологическое обеспечение продовольственной безопасности" (далее - субсидии).
2. Понятия, используемые в настоящих Правилах, означают следующее:
"затраты" - расходы на проведение молекулярной генетической экспертизы;
"молекулярная генетическая экспертиза" - исследование биологического материала животного с использованием молекулярно-генетических методов исследования геномной дезоксирибонуклеиновой кислоты, направленное на получение информации о статусе носительства аллельных вариантов локусов генома, которые могут быть использованы для оценки достоверности происхождения племенного молодняка крупного рогатого скота, выявления у животных генетических аномалий, генетически детерминированных заболеваний, а также анализа локусов генома, ассоциированных с продуктивными признаками (геномная оценка племенной ценности). Минимальный перечень показателей результатов молекулярной генетической экспертизы, которая проводится в отношении одной головы племенного молодняка крупного рогатого скота, утверждается Министерством сельского хозяйства Российской Федерации;
"племенной молодняк крупного рогатого скота" - животные (телки в возрасте до 16 месяцев включительно и бычки в возрасте до 10 месяцев включительно), отобранные для воспроизводства стада, имеющие документально подтвержденное происхождение, рожденные в племенных хозяйствах, за исключением организаций по трансплантации эмбрионов и организаций, оказывающих услуги в области племенного животноводства (далее - племенные хозяйства).
3. Субсидии предоставляются в целях софинансирования расходных обязательств субъектов Российской Федерации по возмещению части затрат, возникающих при реализации мероприятий государственных программ субъектов Российской Федерации (подпрограмм государственных программ субъектов Российской Федерации), направленных на развитие геномной селекции в области племенного животноводства и предусматривающих предоставление средств из бюджетов субъектов Российской Федерации на возмещение части затрат племенным хозяйствам на проведение молекулярной генетической экспертизы (без учета налога на добавленную стоимость) (далее - средства бюджетов субъектов Российской Федерации) в текущем финансовом году, по ставке на одну голову племенного молодняка крупного рогатого скота.
Для племенных хозяйств, использующих право на освобождение от исполнения обязанностей налогоплательщика, связанных с исчислением и уплатой налога на добавленную стоимость, возмещение части затрат осуществляется исходя из суммы расходов на приобретение товаров (работ, услуг), включая сумму налога на добавленную стоимость.
Субсидии предоставляются в пределах лимитов бюджетных обязательств, доведенных в установленном порядке до Министерства сельского хозяйства Российской Федерации как получателя средств федерального бюджета на предоставление субсидий.
4. Предоставление субсидии осуществляется на основании соглашения, заключаемого между Министерством сельского хозяйства Российской Федерации и высшим исполнительным органом субъекта Российской Федерации или исполнительным органом субъекта Российской Федерации, уполномоченным высшим исполнительным органом субъекта Российской Федерации, подготавливаемого (формируемого) с применением государственной интегрированной информационной системы управления общественными финансами "Электронный бюджет" в соответствии с типовой формой соглашения, утвержденной Министерством финансов Российской Федерации (далее - соглашение).
5. Субсидия предоставляется при соблюдении субъектом Российской Федерации условий, предусмотренных абзацами первым - четвертым пункта 8 Правил формирования, предоставления и распределения субсидий из федерального бюджета бюджетам субъектов Российской Федерации, утвержденных постановлением Правительства Российской Федерации от 30 сентября 2014 г. N 999 "О формировании, предоставлении и распределении субсидий из федерального бюджета бюджетам субъектов Российской Федерации" (далее - Правила формирования субсидий).
6. Критериями отбора субъекта Российской Федерации для предоставления субсидии являются:
а) наличие в субъекте Российской Федерации племенных хозяйств;
б) наличие нормативного правового акта субъекта Российской Федерации, предусматривающего порядок и условия предоставления средств бюджета субъекта Российской Федерации, в целях софинансирования предоставления которых бюджету субъекта Российской Федерации предоставляется субсидия, в соответствии с требованиями нормативных правовых актов Российской Федерации.
7. В состав перечня представляемых племенным хозяйством документов, необходимых для получения средств бюджета субъекта Российской Федерации, должны быть включены следующие документы:
а) заявление о предоставлении средств бюджета субъекта Российской Федерации;
б) расчет размера средств бюджета субъекта Российской Федерации;
в) отчет о результатах проведения молекулярной генетической экспертизы по форме, утвержденной Министерством сельского хозяйства Российской Федерации.
8. Общий размер субсидии, предоставляемой бюджету i-го субъекта Российской Федерации в соответствующем финансовом году (Wi), определяется по формуле:
![]()
где:
W - размер бюджетных ассигнований, предусмотренных в федеральном бюджете на предоставление субсидии на соответствующий финансовый год;
Dpi - доля i-го субъекта Российской Федерации в плановых показателях проведения молекулярной генетической экспертизы, рассчитываемая по формуле:

где:
Ppi - плановое поголовье племенного молодняка крупного рогатого скота, в отношении которого планируется проведение молекулярной генетической экспертизы, на основании данных, представленных исполнительным органом субъекта Российской Федерации, уполномоченным высшим исполнительным органом субъекта Российской Федерации, в Министерство сельского хозяйства Российской Федерации по форме и в срок, которые устанавливаются Министерством сельского хозяйства Российской Федерации;
Yi - предельный уровень софинансирования расходного обязательства i-го субъекта Российской Федерации из федерального бюджета, определяемый в соответствии с пунктом 13 Правил формирования субсидий;
n - количество субъектов Российской Федерации, удовлетворяющих критериям, установленным в пункте 6 настоящих Правил.
9. Размер субсидий не может превышать 70 процентов объема фактически понесенных племенными хозяйствами затрат.
10. Перечисление субсидий осуществляется в установленном порядке на единые счета бюджетов, открытые финансовым органам субъектов Российской Федерации в территориальных органах Федерального казначейства.
11. Высший исполнительный орган субъекта Российской Федерации представляет в Министерство сельского хозяйства Российской Федерации следующие документы:
а) документ, содержащий информацию об использовании средств бюджета субъекта Российской Федерации, в целях софинансирования предоставления которых бюджету субъекта Российской Федерации предоставляется субсидия, с приложением перечня племенных хозяйств по форме и в срок, которые устанавливаются Министерством сельского хозяйства Российской Федерации;
б) отчет о достижении значения результата использования субсидии и об обязательствах, принятых в целях его достижения, подготавливаемый (формируемый) с использованием государственной интегрированной информационной системы управления общественными финансами "Электронный бюджет", в порядке и срок, которые установлены соглашением;
в) отчет об осуществлении расходов бюджета субъекта Российской Федерации, в целях софинансирования которых предоставляется субсидия, подготавливаемый (формируемый) с использованием государственной интегрированной информационной системы управления общественными финансами "Электронный бюджет", в порядке и срок, которые установлены соглашением;
г) отчет о финансово-экономическом состоянии племенных хозяйств по форме и в срок, которые устанавливаются Министерством сельского хозяйства Российской Федерации.
12. Эффективность использования субсидии оценивается ежегодно Министерством сельского хозяйства Российской Федерации на основании достижения значения результата использования субсидии "Проведены молекулярно-генетические исследования племенного молодняка крупного рогатого скота, единиц".
13. Оценка эффективности использования субсидии осуществляется на основании отчета об эффективности использования субсидии по форме и в срок, которые устанавливаются Министерством сельского хозяйства Российской Федерации, путем сравнения установленного соглашением планового значения результата использования субсидии и фактически достигнутого значения результата использования субсидии.
14. Ответственность за достоверность представляемых в Министерство сельского хозяйства Российской Федерации сведений и соблюдение условий, предусмотренных настоящими Правилами и соглашением, возлагается на высший исполнительный орган субъекта Российской Федерации.
Контроль за соблюдением субъектами Российской Федерации условий предоставления субсидий осуществляется Министерством сельского хозяйства Российской Федерации и уполномоченными органами государственного финансового контроля.
15. В случае нарушения целей, установленных при предоставлении субсидии, применяются бюджетные меры принуждения, предусмотренные бюджетным законодательством Российской Федерации.
Основания и порядок применения мер финансовой ответственности к субъекту Российской Федерации в случае невыполнения им условий, предусмотренных соглашением, в том числе обязательств, касающихся достижения значения результата использования субсидии, а также основания для освобождения субъекта Российской Федерации от применения мер финансовой ответственности установлены пунктами 16 - 18 и 20 Правил формирования субсидий.